Charge Carriers Relaxation Behavior of Cellulose Polymer Insulation Used in Oil Immersed Bushing
Abstract
:1. Introduction
2. Experiment and Theoretical Analysis
2.1. Experiment
2.2. Polarization/Depolarization Principle and Charge Analysis for Composite Polymer Medium
2.3. Electrical Conductivity Calculation for Cellulose Polymer Insulation
2.4. Modeling of Molecular Dynamics Simulation
3. Results
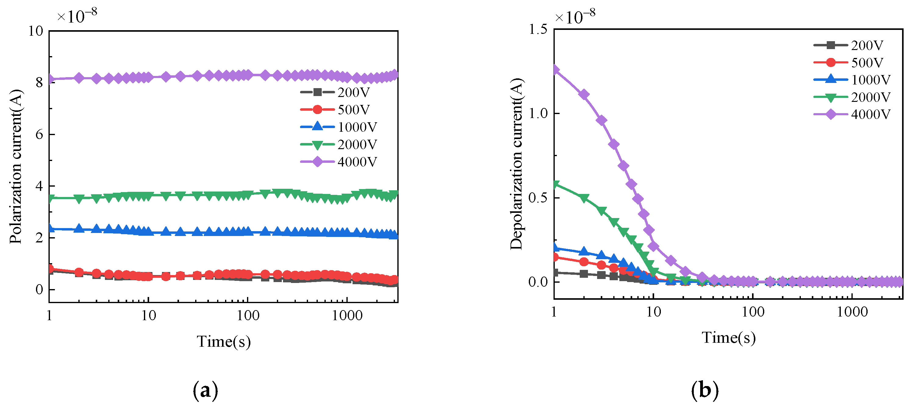
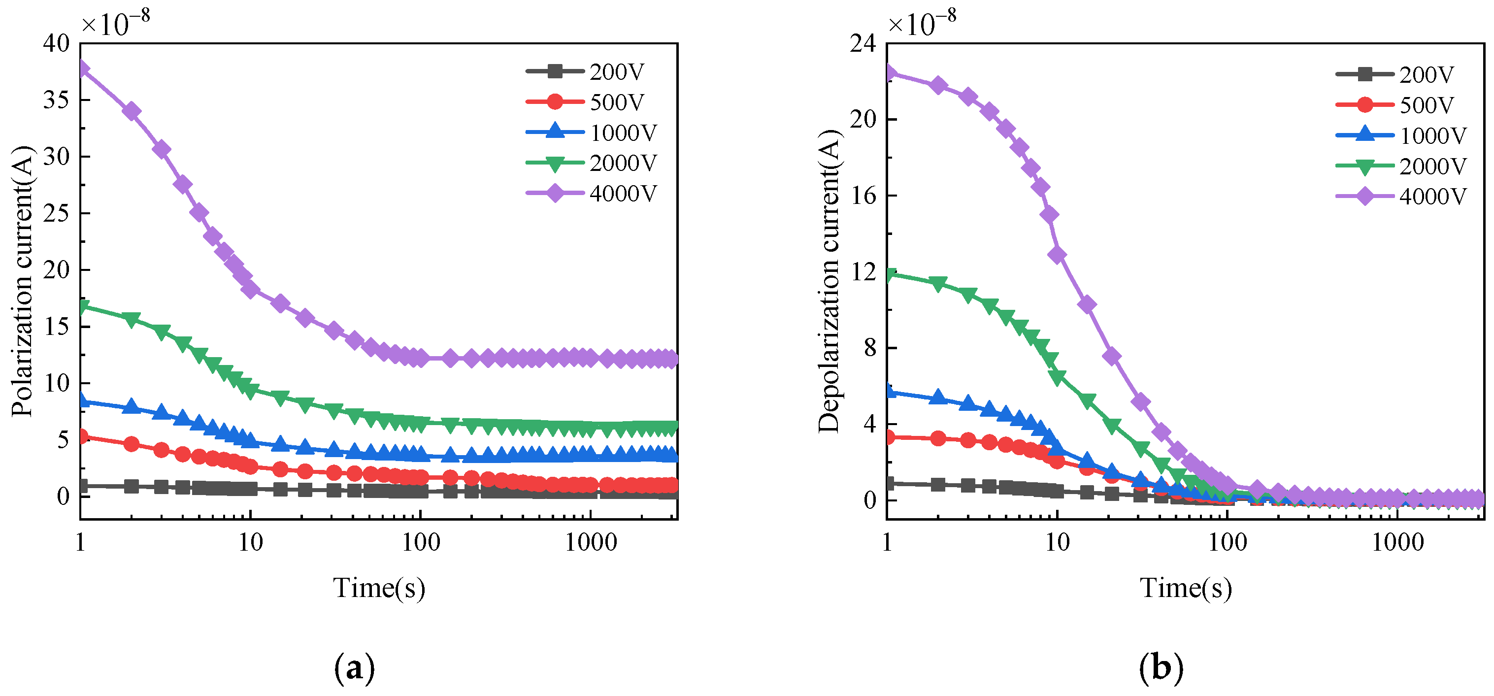
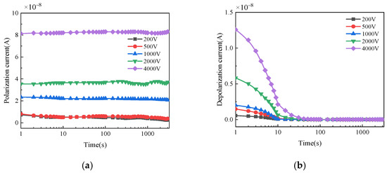
3.1. Polarization and Depolarization Current Characteristics for Cellulose Polymer Insulation
3.2. Interface Polarization Characteristics of Cellulose Polymer Insulation
3.3. Charge Carriers and Electrical Conductivity Analysis of Cellulose Polymer Insulation
3.4. Molecular Dynamics Analysis Based on Band Structure and Electrostatic Potential
4. Conclusions
- The polarization/depolarization current of bushings increases when the applied voltage becomes higher. High applied voltage can decrease the influence of noise. Moisture can aggravate the polarization/depolarization process, leading to higher polarization/depolarization current.
- When applied voltage is higher, the speed of charge carriers increases, leading to the increase of interface polarization current. Water molecules are ionized under the effect of electric field, producing more charge carriers, thus increasing the interface polarization current as well. With the increase of interface current, the relaxation behavior will be further intensified.
- The charge amount difference of polarization and depolarization current is linearly aligned with the time, and the slope becomes larger with the increase in moisture, which is more obvious under high applied voltage. Water molecules produce more charge carriers after being ionized and provide more paths for charge movement.
- With the invasion of moisture, the band width of cellulose polymer insulation becomes narrower, and its electrostatic potential increases, which improves the electrical conductivity of cellulose polymer insulation, and the polarization characteristics under DC electric field are more significant.
Author Contributions
Funding
Conflicts of Interest
References
- Mikulecky, A.; Stih, Z. Influence of Temperature, Moisture Content and Ageing on Oil Impregnated Paper Bushings Insulation. IEEE Trans. Dielectr. Electr. Insul. 2013, 20, 1421–1427. [Google Scholar] [CrossRef]
- Zukowski, P.; Koltunowicz, T.N.; Kierczynski, K.; Subocz, J.; Szrot, M.; Gutten, M. Assessment of Water Content in an Impregnated Pressboard Based on DC Conductivity Measurements Theoretical Assumptions. IEEE Trans. Dielectr. Electr. Insul. 2014, 21, 1268–1275. [Google Scholar] [CrossRef]
- Zhang, D.; Long, G.; Li, Y.; Mu, H.; Zhang, G. Effect of Radial Moisture Distribution on Frequency Domain Dielectric Response of Oil-Polymer Insulation Bushing. Polymers 2020, 12, 1219. [Google Scholar] [CrossRef] [PubMed]
- Ye, W.; Hao, J.; Gao, C.; Xu, Q.; Zhu, M.; Liao, R. Molecular Insights into the Liquid-Solid Behaviour of Hydrocarbon and Ester Insulating Liquids with Cellulose Polymer Insulation. J. Mol. Liq. 2021, 344, 117986. [Google Scholar] [CrossRef]
- Long, G.; Mu, H.; Zhang, D.; Li, Y.; Zhang, G. Moisture Location of Oil-Paper Insulated Bushing Based on Polarization and Depolarization Current Analysis. In Proceedings of the 2020 IEEE 3rd International Conference on Dielectrics (ICD), Valencia, Spain, 5–31 July 2020. [Google Scholar]
- Zhao, H.; Mu, H.; Zhang, D.; Ding, N.; Wu, Y.; Zhang, G. Analysis of FDS Characteristics of Oil-Impregnated Paper Insulation under High Electric Field Strength Based on the Motion of Charge Carriers. IEEE Trans. Dielectr. Electr. Insul. 2021, 28, 1153–1160. [Google Scholar] [CrossRef]
- Przybylek, P.; Moranda, H.; Walczak, K.; Moscicka-Grzesiak, H. Can the Bubble Effect Occur in an Oil Impregnated Paper Bushing. IEEE Trans. Dielectr. Electr. Insul. 2012, 19, 1879–1883. [Google Scholar] [CrossRef]
- Cai, J.; Lin, X. Transformer oil-paper insulation diagnosis based on time domain dielectric spectral average relaxation factor. Electr. Mach. Control. 2019, 23, 108–115. [Google Scholar]
- Hao, J.; Dai, X.; Gao, J.; Yang, L.; Jian, Z.; Du, Y.; Liao, R. Synergistic Enhancement Effect of Moisture and Aging on Frequency Dielectric Response of Oil-Imersed Cellulose Insulation and Its Degree of Polymerization Evaluation Using Dielectric Modulus. Cellulose 2021, 28, 1–17. [Google Scholar] [CrossRef]
- Dai, Q.; Qi, B.; Zhou, R.; Pan, Q.; Zhu, K.; Li, C.; Fu, M. The influence of mass moisture invading on electrical features for oil-impregnated paper bushing. In Proceedings of the 2016 IEEE Conference on Electrical Insulation and Dielectric Phenomena (CEIDP), Toronto, ON, Canada, 16–19 October 2016. [Google Scholar]
- Yang, F. Moisture State Analysis Based on the Equivalent Model of Dielectric Responses and Electrical-Thermal Coupling Simulation of Bushings; Chongqing University: Chongqing, China, 2019. [Google Scholar]
- Saha, T.K.; Purkait, P. Investigation of Polarization and Depolarization Current Measurements for the Assessment of Oil-Paper Insulation of Aged Transformers. IEEE Trans. Dielectr. Electr. Insul. 2004, 11, 144–154. [Google Scholar] [CrossRef] [Green Version]
- Kachler, A.J.; Hohlein, I. Aging of Cellulose at Transformer Service Temperatures-Part 1: Influence of Type of Oil and Air on the Degree of Polymerization of Pressboard, Dissolved Gases, and Furanic Compounds in Oil. IEEE Electr. Insul. Mag. 2005, 21, 15–21. [Google Scholar] [CrossRef]
- Hohlein, I.; Kachler, A.J. Aging of Cellulose at Transformer Service Temperatures-Part 2: Influence of Moisture and Temperature on Degree of Polymerization and Formation of Furanic Compounds in Free-Breathing Systems. IEEE Electr. Insul. Mag. 2005, 21, 20–24. [Google Scholar] [CrossRef]
- Wei, J.; Zhang, G.; Xu, H.; Peng, H.; Wang, S.; Dong, M. Novel Characteristic Parameters for Oil-Paper Insulation Assessment from Differential Time-Domain Spectroscopy Based on Polarization and Depolarization Current Measurement. IEEE Trans. Dielectr. Electr. Insul. 2011, 18, 1918–1928. [Google Scholar] [CrossRef]
- Hao, J.; Liao, R.; Chen, G.; Ma, Z.; Yang, L. Quantitative Analysis Ageing Status of Natural Ester-Paper Insulation and Mineral Oil-Paper Insulation by Polarization/Depolarization Current. IEEE Trans. Dielectr. Electr. Insul. 2012, 19, 188–199. [Google Scholar]
- Maur, S.; Dalai, S.; Chatterjee, B. Sensing the Polarization and Depolarization Current of Solid Dielectrics Used in High-Voltage Applications. IEEE Sens. Lett. 2019, 3, 1–4. [Google Scholar] [CrossRef]
- Wang, S.; Zhang, G.; Wei, J.; Yang, S.; Dong, M.; Huang, X. Investigation on Dielectric Response Characteristics of Thermally Aged Insulating Pressboard in Vacuum and Oil-Impregnated Ambient. IEEE Trans. Dielectr. Electr. Insul. 2010, 17, 1853–1862. [Google Scholar] [CrossRef]
- Saha, T.K.; Pradhan, M.K.; Yew, J.H. Optimal Time Selection for the Polarisation and Depolarisation Current Measurement for Power Transformer Insulation Diagnosis. In Proceedings of the 2007 IEEE Power Engineering Society General Meeting, Tampa, FL, USA, 24–28 June 2007; pp. 1–7. [Google Scholar]
- Leibfried, T.; Kachler, A.J. Insulation Diagnostics on Power Transformers Using the Polarisation and Depolarisation Current (PDC) Analysis. In Proceedings of the Conference Record of the the 2002 IEEE International Symposium on Electrical Insulation, Boston, MA, USA, 7–10 April 2002; pp. 170–173. [Google Scholar]
- Ye, W.; Hao, J.; Chen, Y.; Zhu, M.; Pan, Z.; Hou, F. Difference Analysis of Gas Molecules Diffusion Behavior in Natural Ester and Mineral Oil Based on Molecular Dynamic Simulation. Molecules 2019, 24, 4463. [Google Scholar] [CrossRef] [PubMed] [Green Version]
- Fofana, I.; Hemmatjou, H.; Meghnefi, F. Effect of Thermal Transient on the Polarization and Depolarization Current Measurements. IEEE Trans. Dielectr. Electr. Insul. 2011, 18, 513–520. [Google Scholar] [CrossRef]
- Zaengl, W.S. Applications of Dielectric Spectroscopy in Time and Frequency Domain for HV Measurement. IEEE Electr. Insul. Mag. 2003, 19, 9–22. [Google Scholar] [CrossRef]
- Vlascici, D.; Plesu, N.; Fagadar-Cosma, G.; Lascu, A.; Petric, M.; Crisan, M.; Belean, A.; Fagadar-Cosma, E. Potentiometric Sensors for Iodide and Bromide Based on Pt (II)-Porphyrin. Sensors 2018, 18, 2297. [Google Scholar] [CrossRef] [PubMed] [Green Version]
- Anta, J.; Marcelli, G.; Meunier, M.; Quirke, N. Models of electron trapping and transport in polyethylene: Current–voltage characteristics. J. Appl. Phys. 2002, 92, 1002–1008. [Google Scholar] [CrossRef]



















Publisher’s Note: MDPI stays neutral with regard to jurisdictional claims in published maps and institutional affiliations. |
© 2022 by the authors. Licensee MDPI, Basel, Switzerland. This article is an open access article distributed under the terms and conditions of the Creative Commons Attribution (CC BY) license (https://creativecommons.org/licenses/by/4.0/).
Share and Cite
Shang, Y.; Liu, Q.; Mao, C.; Wang, S.; Wang, F.; Jian, Z.; Shi, S.; Hao, J. Charge Carriers Relaxation Behavior of Cellulose Polymer Insulation Used in Oil Immersed Bushing. Polymers 2022, 14, 336. https://doi.org/10.3390/polym14020336
Shang Y, Liu Q, Mao C, Wang S, Wang F, Jian Z, Shi S, Hao J. Charge Carriers Relaxation Behavior of Cellulose Polymer Insulation Used in Oil Immersed Bushing. Polymers. 2022; 14(2):336. https://doi.org/10.3390/polym14020336
Chicago/Turabian StyleShang, Yu, Qiang Liu, Chen Mao, Sen Wang, Fan Wang, Zheng Jian, Shilin Shi, and Jian Hao. 2022. "Charge Carriers Relaxation Behavior of Cellulose Polymer Insulation Used in Oil Immersed Bushing" Polymers 14, no. 2: 336. https://doi.org/10.3390/polym14020336
APA StyleShang, Y., Liu, Q., Mao, C., Wang, S., Wang, F., Jian, Z., Shi, S., & Hao, J. (2022). Charge Carriers Relaxation Behavior of Cellulose Polymer Insulation Used in Oil Immersed Bushing. Polymers, 14(2), 336. https://doi.org/10.3390/polym14020336

