Polyols and Polyurethane Foams Obtained from Mixture of Metasilicic Acid and Cellulose
Abstract
:1. Introduction
2. Materials and Methods
2.1. Materials
2.2. Synthesis of Metasilicic Acid
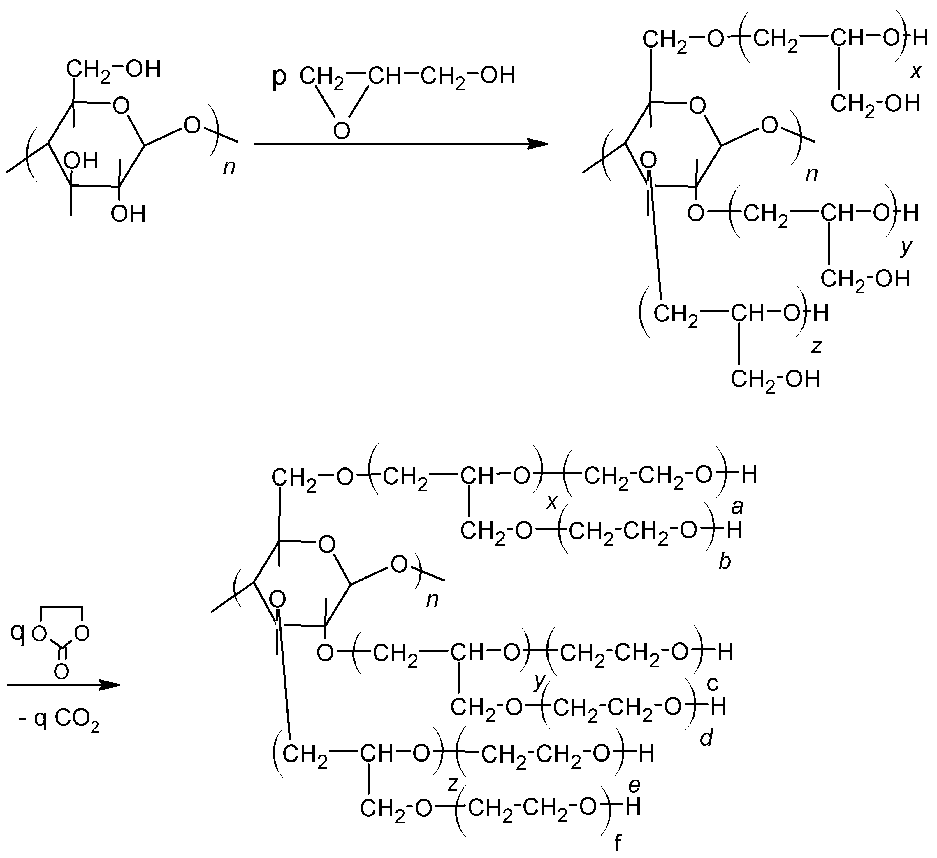
2.3. Synthesis of Polyols
2.4. Analytical Methods
2.5. Physical Properties of Polyol
2.6. Polyurethane Foams
2.7. Properties of Foams
2.8. Flammability of Foams
2.9. Biodegradation of Polyol and Foam
3. Results and Discussion
3.1. Preparation of Polyols
3.2. Composition and Structure of Polyols
3.3. Preparation and Properties of Polyurethane Foams
4. Summary and Conclusions
- The synthesis of a polyol based on cellulose and metasilicic acid was elaborated in a one pot reaction.
- The polyol with incorporated silicon and oxyalkylated cellulose was obtained as substrate to obtain new polyurethane foams.
- Obtained polyurethane foams showed low water uptake, high dimensional stability at elevated temperatures, regular structure of pores, and low heat conductance coefficient, which renders the polymer a good candidate for use as a heat insulating material.
- Obtained polyurethane foams show enhanced thermal resistance. They can stand long term heating at 175 °C. The rigid foam has good mechanical properties; its compression strength grew after one-month thermal exposure at 150 and 175 °C by 60% and ca 300% of initial value, respectively.
- The polyurethane foams were obtained based on environmentally friendly substrates, namely, widespread plant material—cellulose, biologically neutral metasilicic acid, alkylene carbonates (which are considered as green chemicals), and non-toxic, non-volatile diphenylmethane diisocyanate.
- The polyurethane foams from polyols based on metasilicic acid and cellulose are biodegradable up to 46% within one month, while polyol substrates are 100% biodegradable according to standard soil test.
Author Contributions
Funding
Institutional Review Board Statement
Informed Consent Statement
Data Availability Statement
Acknowledgments
Conflicts of Interest
References
- Chmiel, E.; Lubczak, J. Oligoetherols and polyurethane foams obtained from metasilicic acid. Polym. Bull. 2018, 75, 1579–1596. [Google Scholar] [CrossRef]
- Yang, C.H.; Liu, F.J.; Liu, Y.P.; Liao, W.T. Hybrids of colloidal silica and waterborne polyurethane. J. Colloid. Int. Sci. 2006, 302, 123–132. [Google Scholar] [CrossRef] [PubMed]
- Kim, B.S.; Park, S.H.; Kim, B.K. Nanosilica-reinforced UV-cured polyurethane dis-persion. Colloid. Polym. Sci. 2006, 284, 1067–1072. [Google Scholar] [CrossRef]
- Feng, X.Y.; Li, S.K.; Wang, Y.; Wang, Y.C.; Liu, J.X. The Effects of SiO2/PEG Suspension on Mechanical Properties of Rigid Polyurethane Foams. Adv. Mater. Res. 2013, 815, 246–250. [Google Scholar] [CrossRef]
- Nikje, M.M.A.; Tehrani, Z.M. The Effects of Functionality of the Organifier on the Physical Properties of Polyurethane Rigid Foam/Organified Nanosilica. Des. Monomers Polym. 2011, 14, 263–272. [Google Scholar] [CrossRef]
- Levchik, S.V.; Weil, E.D. Thermal decomposition, combustion and flame-retardancy of epoxy resins—A review of the recent literature. Polym. Int. 2004, 53, 1901–1929. [Google Scholar] [CrossRef]
- Zhang, S.; Horrocks, A.R. A review of flame retardant polypropylene fibres. Prog. Polym. Sci. 2003, 28, 1517–1538. [Google Scholar] [CrossRef]
- Mercado, L.A.; Galia, M.; Reina, J.A. Silicon-containing flame retardant epoxy resins: Synthesis, characterization and properties. Polym. Degrad. Stabil. 2006, 91, 2588–2594. [Google Scholar] [CrossRef]
- Terraza, C.A.; Tagle, L.H.; Leiva, A.; Poblete, L.; Concha, F. Poly(urethanes) containing silarylene and/or germarylene units. J. Appl. Polym. Sci. 2008, 109, 303–308. [Google Scholar] [CrossRef]
- Verdolotti, L.; Lavorgna, M.; Lamanna, R.; Di Maio, E.; Iannace, S. Polyurethane-silica hybrid foam by sol-gel approach: Chemical and functional properties. Polymer 2015, 56, 20–28. [Google Scholar] [CrossRef]
- Rabek, J.F. Polymers. Obtaining, Research Methods, Application; PWN: Warsaw, Poland, 2013. [Google Scholar]
- Florjańczyk, Z.; Penczek, S. Polymer Chemistry, Natural Polymers and Polymers with Special Properties; Warsaw University of Technology Publishing House: Warsaw, Poland, 1998; Volume III. [Google Scholar]
- Macedo, V.; Zimmermann, M.; Koester, L.; Scienza, L.; Zattera, A. Flexible polyurethane foams filled with Pinnuselliotti cellulose. Polímeros 2017, 27, 27–34. [Google Scholar] [CrossRef]
- Prociak, A.; Malewska, E.; Bąk, S. Influence of Isocyanate Index on Selected Properties of Flexible Polyurethane Foams Modified with Various Bio-Components. J. Renew. Mater. 2016, 4, 78–85. [Google Scholar] [CrossRef]
- Pan, X.; Saddler, J. Effect or replacing polyol by organosolv and kraft lignin on the pro-perty and structure of rigid polyurethane foam. Biotechnol. Biofuels. 2013, 6, 1–10. [Google Scholar] [CrossRef] [PubMed]
- Kosmela, P.; Hejna, A.; Formela, K.; Haponiuk, J.; Piszczyk, Ł. The Study on Application of Biopolyols Obtained by Cellulose Biomass Liquefaction Performed with Crude Glycerol for the Synthesis of Rigid Polyurethane Foams. J. Polym. Environ. 2018, 26, 2546–2554. [Google Scholar] [CrossRef]
- Li, Y.; Ren, H.; Ragauskas, A. Rigid polyurethane foam reinforced with cellulose whiskers. Synthesis and characterization. Nano-Micro Lett. 2010, 2, 89–94. [Google Scholar] [CrossRef]
- Luo, F.; Wu, K.; Guo, H.; Zhao, O.; Liang, L.; Lu, M. Effect of cellulose whisker and ammonium polyphosphate on thermal properties and flammability performance of rigid polyurethane foam. J. Therm. Anal. Calorim. 2015, 122, 717–723. [Google Scholar] [CrossRef]
- Septevani, A.; Evans, D.; Annamalai, P.; Martin, D. The use of cellulose nanocrystals to enhance the thermal insulation properties and sustainability of rigid polyurethane foam. Ind. Crop. Prod. 2017, 107, 114–121. [Google Scholar] [CrossRef]
- Leng, W.; Pan, B. Thermal Insulating and Mechanical Properties of Cellulose Nano-fibrils Modified Polyurethane Foam Composite as Structural Insulated Material. Forests 2019, 10, 200. [Google Scholar] [CrossRef]
- Inverarity, G.; Twiss, G. Cellulose Fiber filled Aminoplast Resin Composition for Flame Retarding Polyurethane Foams. U.S. Patent No. 5,100,936, 31 March 1992. [Google Scholar]
- Kunaver, M.; Krzan, A.; Tisler, V. Procedure of Synthesis of Polyester Resin based on liquefied Wood for Production of Polyurethane Foams. SI Patent 21882, 30 April 2006. [Google Scholar]
- Rivera-Armenta, J.; Heinze, T.; Mendoza-Martinez, A. New polyurethane foams modified with cellulose derivatives. Eur. Polym. J. 2004, 40, 2803–2812. [Google Scholar] [CrossRef]
- Szpiłyk, M.; Lubczak, R.; Lubczak, J. The biodegradable cellulose-derived polyol and polyurethane foam products. Polymer Test. 2021, 100, 107250. [Google Scholar] [CrossRef]
- Prociak, A.; Rokicki, G.; Ryszkowska, J. Polyurethane Materials; PWN: Warsaw, Poland, 2014. [Google Scholar]
- Noreen, A.; Zia, K.M.; Zuber, M.; Tabasum, S.; Zahoor, A.F. Bio-based polyurethane: An efficient and environment friendly coating systems: A review. Prog. Org. Coat. 2016, 91, 25–32. [Google Scholar] [CrossRef]
- Brojer, Z.; Hertz, Z.; Penczek, P. Epoxy Resins; WNT: Warsaw, Poland, 1972. [Google Scholar]
- Kijowska, D.; Wołowiec, S.; Lubczak, J. Kinetics and mechanism of initial steps of synthesis of polyetherols from melamine and ethylene carbonate. J. Appl. Polym. Sci. 2004, 93, 294–300. [Google Scholar] [CrossRef]
- Standards PN-93/C-89052.03; Polyethers for Polyurethanes. Test Methods. Determination of the Hydroxyl Number. Polish Committee for Standardization: Warsaw, Poland, 2021.
- Nizioł, J.; Zieliński, Z.; Rode, W.; Ruman, T. Matrix-free laser desorption-ionization with silver nanoparticle enhanced steel targets. Int. J. Mass Spectrom. 2013, 335, 22–32. [Google Scholar] [CrossRef]
- Polish (European) Standards PN-EN ISO 845-2000; Cellular Plastics and Rubbers. Determination of Apparent (Bulk) Density. Polish Committee for Standardization: Warsaw, Poland, 2000.
- Polish (European) Standards PN-EN ISO 2896-1986; Cellular Plastics, Rigid. Determination of Water Absorption. Polish Committee for Standardization: Warsaw, Poland, 1986.
- Polish (European) Standards PN-EN ISO 2796-1986; Cellular Plastics, Rigid. Test of dimensional Stability. Polish Committee for Standardization: Warsaw, Poland, 1986.
- Polish (European) Standards PN-EN ISO 844-1978; Cellular Plastics, Compression Test for Rigid Materials. Polish Committee for Standardization: Warsaw, Poland, 1978.
- Polish (European) Standards PN-EN ISO 4589-2; Plastics—Determination of Burning Behavior by Oxygen Index—Part 2. Ambient-Tempe-Rature Test. Polish Committee for Standardization: Warsaw, Poland, 2006.
- Polish (European) Standards PN-EN ISO 3582-2002; Flexible Cellular Polymeric Materials—Laboratory Characteristics of Small Specimens Subject to a Small Flame. Polish Committee for Standardization: Warsaw, Poland, 2002.
- Polish (European) Standards PN-EN 60695-11-10:2014-02; Fire Hazard Testing. Part 11–10: Test Flames. 50W Horizontal and Vertical Flame Test Method. Polish Committee for Standardization: Warsaw, Poland, 2014.
- Standard ISO17556-2019; Plastics—Determination of the Ultimate Aerobic Biodegradability of Plastic Materials in Soil by Measuring the Oxygen Demand in a Respirometer or the Amount of Carbon Dioxide Evolved. Technical Committee ISO/TC 61 Plastics, Subcommittee SC14 Enviromental Aspect. ISO: Geneva, Switzerland, 2019.
- Standard ISO ISO 11274:2019; Soil Quality—Determination of the Water-Retention Characteristic—Laboratory Methods. Technical Committee ISO/TC 190/SC 3. Chemical and Physical Characterization. Hydrological Properties of Soils. ISO: Geneva, Switzerland, 2019.
- Standard ISO 10390-2005; Soil Quality—Determination of pH. Technical Committee ISO/TC 190/SC 3Chemical Characteristics of Soils. ISO: Geneva, Switzerland, 2005.
- Spectral Database for Organic Compounds, SDBS. Available online: https://sdbs.db.aist.go.jp/sdbs/cgibin/direct_frame_top.cgi (accessed on 15 February 2022).
- Czupryński, B. Questions of Chemistry and Technology of Polyurethanes; The Publishing House of the Academy of Bydgoszcz: Bydgoszcz, Poland, 2004. [Google Scholar]
- Lubczak, J.; Chmiel-Szukiewicz, E.; Duliban, J.; Głowacz-Czerwonka, D.; Lubczak, R.; Łuksiewicz, B.; Zarzyka, I.; Łodyga, A.; Tyński, P.; Minda-Data, D.; et al. Polyurethane foams with 1,3,5-triazine ring of improved thermal stability. Przemysl. Chem. 2014, 10, 1690–1697. [Google Scholar]
- Lubczak, J.; Lubczak, R. Increased Thermal Stability and Reduced Flammability of Polyurethane Foams with an Application of Polyetherols. In Thermal Insulation and Radiation Control Technologies for Buildings; Kosny, J., Yarbrough, D.W., Eds.; Springer Nature: Cham, Switzerland, 2022. [Google Scholar]
- Wirpsza, Z. Polyurethanes: Chemistry, Technology, Application; WNT: Warsaw, Poland, 1991. [Google Scholar]
- Cogen, J.M.; Lin, T.S.; Lyon, R.E. Correlations between pyrolysis combustion flow calorimetry and conventional flammability tests with halogen-free flame retardant polyolefin compounds. Fire Mater. 2009, 33, 33–50. [Google Scholar] [CrossRef]















| No | Synthesis | CEL [g] | MSA [g] | Water [g] | GL [g] | EC [g] | K2CO3 [g] | Temp. [°C] | Time [h] | Comments on the Course of the Reaction and the Product |
|---|---|---|---|---|---|---|---|---|---|---|
| 1 | 1 | 1.60 | 1.60 | - | 20 | - | - | 180 | 20 | Exothermic effect at 140 °C causes increase of temperature up to 240 °C |
| 2 | - | - | - | 20 | 0.2 | 145 | 14 | Resin, not miscible with liquid pMDI | ||
| 2 | 1 | 1.60 | 3.20 | 30 | - | - | 180 | 20 | Exothermic effect at 140 °C causes increase of temperature up to 240 °C | |
| 2 | 16 | 0.5 | 145 | 18 | Viscous product | |||||
| 3 | 1 | 1.60 | 3.20 | - | 26 | - | - | 180 | 20 | Exothermic effect at 140 °C causes increase of temperature up to 240 °C |
| 2 | 18 | 0.5 | 145 | 20 | Not miscible with liquid pMDI | |||||
| 4 | 1 | 1.60 | 3.20 | - | 26 | - | - | 180 | 20 | Exothermic effect causes increase of temperature up to 240 °C |
| 2 | 24 | 0.5 | 145 | 28 | Not miscible with liquid pMDI | |||||
| 5 | 1 | 1.60 | 3.20 | 3.0 | 38 | - | - | 180 | 22 | Exothermic effect at 120 °C causes increase of temperature up to 160 °C |
| 2 | 20 | 0.2 | 145 | 7 | Semi-solid product | |||||
| 6 | 1 | 1.60 | 3.20 | 3.0 | 38 | - | - | 180 | 22 | Exothermic effect at 120 °C causes increase of temperature up to 160 °C |
| 2 | 20 | 0.1 | 145 | 7 | Miscible with liquid pMDI | |||||
| 7 | 1 | 1.60 | 1.60 | 3.0 | 32 | - | - | 180 | 22 | Exothermic effect causes increase of temperature up to 160 °C |
| 2 | 20 | 0.1 | 145 | 18 | Miscible with liquid pMDI | |||||
| 8 | 1 | 3.20 | 3.20 | 6.0 | 64 | - | - | 180 | 22 | Exothermic effect at 120 °C causes increase of temperature up to 160 °C |
| 2 | 40 | 0.2 | 160 | 7 | Miscible with liquid pMDI | |||||
| 9 | 1 | 3.20 | 3.20 | 6.0 | 64 | - | - | 180 | 22 | Exothermic effect at 130 °C causes increase of temperature up to 155 °C |
| 2 | 40 | 0.4 | 180 | 6 | Miscible with liquid pMDI | |||||
| 10 | 1 | 6.40 | 6.40 | 12 | 128 | - | - | 180 | 22 | Exothermic effect at 130 °C causes increase of temperature up to 155 °C |
| 2 | 80 | 0.8 | 180 | 6 | Miscible with liquid pMDI |
| Substance | Coefficients from Equation (1) | Correlation Coefficient | Retention Time [min] | Glycol Content of the Polyol [% Mas.] | |
|---|---|---|---|---|---|
| a | b | ||||
| Ethylene glycol | 45,115.1 | −5.807 | 0.9956 | 8.5 | 1.00 |
| Diethylene glycol | 36,473.6 | 4.082 | 0.9986 | 10.5 | 0.70 |
| Triethylene glycol | 17,1821.3 | 18.466 | 0.9878 | 12.5 | 0.24 |
| Foam Obtained from Polyol According to No. from Table 1 | Percentage of Water in the Polyol | Density [kg/m3] | Mass Loss [%] |
|---|---|---|---|
| 6 | 2 | 66 | 5.93 |
| 3 | 54 | 4.66 | |
| 7 | 2 | 62 | 2.96 |
| 3 | 49 | 3.09 |
| Entry | Signal Position m/z | Relative Intensity of Signal [%] | Molecular Ion Structure | Calc. Molecular Weight [g/mol] |
|---|---|---|---|---|
| 1 | 86.095 | 15.8 | EC – H+ | 87.008 |
| 2 | 96.079 | 13.3 | MSA + H2O | 95.988 |
| 3 | 108.876 | 39.8 | H2O + OE + H+ | 107.071 |
| 4 | 117.062 | 8.8 | GL + OE | 118.063 |
| 5 | 133.1 | 12.1 | MSA + GL – H2O | 134.004 |
| 6 | 153.108 | 12.7 | MSA + GL+ H+ | 153.022 |
| 7 | 166.603 | 10.8 | H2O + 2GL | 166.084 |
| 8 | 186.204 | 21.3 | 2GL + K+ | 187.037 |
| 9 | 196.965 | 76.5 | (3MSA – 2H2O) | 197.911 |
| 10 | 214.228 | 18.5 | MSA +GL + OE + H2O | 214.051 |
| 11 | 218.226 | 9.1 | H2O + GL + 2OE + K+ | 219.064 |
| 12 | 230.255 | 17.5 | MSA + GL + OE + CH3OH+ H+ | 229.074 |
| 13 | 237.175 | 11.9 | 2GL + 2OE+ H+ | 237.134 |
| 14 | 242.274 | 26.9 | H2O + 3GL+ H+ | 241.129 |
| 15 | 246.26 | 17.5 | (2MSA-H2O) + GL + CH3OH+ H+ | 245.015 |
| 16 | 268.237 | 12.8 | 3GL + OE+ H+ | 267.144 |
| 17 | 272.272 | 15.0 | MSA + GL + 2OE + CH3OH | 272.093 |
| 18 | 274.288 | 48.0 | MSA + 2GL + OE-H2O + Na+ | 275.056 |
| 19 | 284.329 | 12.3 | MSA + 3GL – H2O+ H+ | 283.085 |
| 20 | 304.276 | 26.7 | MSA + 2GL + OE + CH3OH | 302.103 |
| 21 | 312.319 | 11.4 | MSA + 2GL +2EO -H+ | 313.095 |
| 22 | 333.225 | 19.2 | 3GL + CH3OH | 332.114 |
| 23 | 338.375 | 23.1 | MSA + 3GL + K+ | 339.051 |
| 24 | 360.335 | 100.0 | (2MSA-H2O) + 3GL | 360.054 |
| 25 | 376.315 | 30.2 | MSA + 4GL+ H+ | 375.132 |
| 26 | 389.280 | 99.9 | H2O + 5GL+ H+ | 389.202 |
| 27 | 393.948 | 77.3 | MSA + GL + OE + Au | 393.007 |
| 28 | 393.948 | 77.3 | (2MSA-H2O) + 3GL + CH3OH+ H+ | 393.089 |
| 29 | 444.237 | 41.4 | MSA + 4GL + 2OE-H2O | 444.166 |
| 30 | 446.220 | 28.9 | MSA + 5GL – H+ | 447.153 |
| 31 | 456.385 | 10.9 | MSA + 4GL + OE + K+ | 457.114 |
| 32 | 478.234 | 31.2 | (2MSA-H2O) + 4GL + OE | 478.117 |
| 33 | 534.303 | 80.4 | H2O + 7GL- H+ | 536.268 |
| 34 | 590.87 | 37.0 | 8GL- H+ | 591.286 |
| No | Composition [g/100 g of Polyol] | Isocyanate Index | Foaming Process | Characteristics of Foam Immediately after Formation | |||||
|---|---|---|---|---|---|---|---|---|---|
| Water | Silicon L-6900 | TEA | pMDI | Cream Time [s] | Rise Time [s] | Tack-Free Time [s] | |||
| 1 | 2 | 5.0 | 2.0 | 200 | 1.1 | 32 | 31 | 10 | Sticky surface |
| 2 | 2 | 5.0 | 2.0 | 180 | 1.0 | 30 | 20 | 2 | Cracks |
| 3 | 2 | 5.0 | 1.3 | 180 | 1.0 | 40 | 40 | 3 | Cracks |
| 4 | 2 | 5.0 | 0.7 | 180 | 1.0 | 40 | 60 | 1 | Shining surface; excess of surfactant |
| 5 | 2 | 4.5 | 0.5 | 180 | 1.0 | 55 | 45 | 1 | Shining surface; excess of surfactant |
| 6 * | 2 | 4.0 | 0.5 | 180 | 1.0 | 60 | 50 | 2 | Uniform pores |
| 7 | 3 | 4.0 | 0.8 | 210 | 1.1 | 55 | 50 | 2 | Cracks |
| 8 | 3 | 4.0 | 0.7 | 200 | 1.05 | 60 | 45 | 5 | Cracks |
| 9 | 3 | 4.0 | 0.5 | 210 | 1.1 | 65 | 55 | 14 | Extended pores |
| 10 | 3 | 4.0 | 0.4 | 210 | 1.1 | 87 | 60 | 19 | Uniform pores |
| 11 * | 3 | 4.0 | 0.3 | 210 | 1.1 | 120 | 65 | 25 | Uniform pores |
| Foam Obtained from | Density [kg/m3] | Absorption of Water [wt%] after | Dimensional Stability [%] in Temperature 150 °C | Heat Conductance Coefficient [W/m∙K] | |||||||
|---|---|---|---|---|---|---|---|---|---|---|---|
| 5 min | 3 h | 24 h | Length Change after | Width Change after | Height Change after | ||||||
| 20 h | 40 h | 20 h | 40 h | 20 h | 40 h | ||||||
| Comp. 6 | 71.8 | 0.94 | 1.72 | 2.76 | 0.02 | 0.03 | −0.10 | −0.15 | −0.47 | −0.79 | 0.0244 |
| Comp. 11 | 51.1 | 0.71 | 0.84 | 1.60 | −0.05 | −0.10 | −0.11 | −0.16 | −0.28 | −0.33 | 0.0242 |
| MSA-GL-EC [1] | 95.5 | 3.82 | 4.07 | 6.68 | −0.42 | −0.58 | −0.67 | −0.67 | −0.39 | −1.75 | 0.0368 |
| CEL-GL-EC [24] | 60.5 | 4.47 | 5.40 | 6.57 | −0.69 | −0.44 | −1.45 | 0.27 | −2.52 | −3.06 | 0.0338 |
| Foam Obtained from | Mass Loss in %wt. after Exposure for Month in Temperature [°C] | Compressive Strength [MPa] | |||||
|---|---|---|---|---|---|---|---|
| Before Exposure | After Exposure in Temperature [°C] | ||||||
| 150 | 175 | 200 | 150 | 175 | 200 | ||
| Comp. 6 | 7.71 | 23.9 | 38.6 | 0.150 | 0.240 | 0.616 | 0.568 |
| Comp. 11 | 7.20 | 22.3 | 31.5 | 0.052 | 0.121 | 0.276 | 0.229 |
| MSA-GL-EC [1] | 24.0 | 36.5 | - | 0.486 | 1.275 | 5.051 | - |
| CEL-GL-EC [24] | 13.0 | 30.7 | 46.5 | 0.234 | 0.284 | 0.379 | 0.519 |
| Foam Obtained from Polyol | Tg [°C] | T5% [°C] | T10% [°C] | T25% [°C] | T50% [°C] |
|---|---|---|---|---|---|
| Comp. 6 | 68.3 | 139 | 254 | 294 | 372 |
| Comp. 11 | 88.3 | 236 | 258 | 313 | 388 |
| Foam Obtained from Polyol | Heating | Length of Burnt Foam [mm] | Burning Rate [mm/s] | Mass Loss after Burning [%] | Oxygen Index |
|---|---|---|---|---|---|
| Comp. 6 | Before exposure | 150 | 1.0 | 65.5 | 20.2 |
| After exposure in 150 °C | 20 | 0.7 | 10.8 | 21.5 | |
| After exposure in 175 °C | 0.0 | 0.0 | - | 34.0 | |
| Comp. 11 | Before exposure | 150 | 1.3 | 66.0 | 19.9 |
| After exposure in 150 °C | 25 | 0.6 | 8.1 | 21.5 | |
| After exposure in 175 °C | 0.0 | 0.0 | - | 33.8 | |
| MSA-GL-EC | Before exposure | 150 | 2.0 | 100 | 21.1 |
| After exposure in 150 °C | 105 | 2.1 | 2.45 | 24.4 | |
| After exposure in 175 °C | 0 | 0.0 | 0.47 | 36.0 |
| Foams | Element | ||
|---|---|---|---|
| C | H | N | |
| Before exposure | 56.00 | 5.33 | 6.80 |
| After exposure in 150 °C | 56.58 | 4.74 | 7.27 |
| After exposure in 175 °C | 57.22 | 3.87 | 8.51 |
| After exposure in 200 °C | 62.35 | 3.62 | 10.68 |
| Sample | C | H | O | Si | N |
|---|---|---|---|---|---|
| Polyol | 0.4755 | 0.0927 | 0.4138 | 0.018 | 0.000 |
| Foam | 0.6397 | 0.0571 | 0.2211 | 0.0098 | 0.0723 |
| Sample | BODx [mg/dm3] | BOD28 [mg/dm3] | Sample Mass [g] | TOD Counts | TOD [mg/dm3] | Dt [%] |
|---|---|---|---|---|---|---|
| Polyol | 138.0 | 129.5 | 0.23 | 9.91 | 43.10 | 100 |
| Foam from comp. 6 | 43.7 | 35.2 | 0.21 | 15.97 | 76.04 | 46.3 |
| Polyol CEL- GL-EC [24] | 209 | 200.5 | 0.19 | 7.82 | 41.18 | 100 |
| Foam CEL- GL-EC [24] | 60.6 | 52.1 | 0.20 | 14.6 | 73.00 | 71.4 |
Publisher’s Note: MDPI stays neutral with regard to jurisdictional claims in published maps and institutional affiliations. |
© 2022 by the authors. Licensee MDPI, Basel, Switzerland. This article is an open access article distributed under the terms and conditions of the Creative Commons Attribution (CC BY) license (https://creativecommons.org/licenses/by/4.0/).
Share and Cite
Lubczak, J.; Lubczak, R.; Chmiel-Bator, E.; Szpiłyk, M. Polyols and Polyurethane Foams Obtained from Mixture of Metasilicic Acid and Cellulose. Polymers 2022, 14, 4039. https://doi.org/10.3390/polym14194039
Lubczak J, Lubczak R, Chmiel-Bator E, Szpiłyk M. Polyols and Polyurethane Foams Obtained from Mixture of Metasilicic Acid and Cellulose. Polymers. 2022; 14(19):4039. https://doi.org/10.3390/polym14194039
Chicago/Turabian StyleLubczak, Jacek, Renata Lubczak, Ewelina Chmiel-Bator, and Marzena Szpiłyk. 2022. "Polyols and Polyurethane Foams Obtained from Mixture of Metasilicic Acid and Cellulose" Polymers 14, no. 19: 4039. https://doi.org/10.3390/polym14194039
APA StyleLubczak, J., Lubczak, R., Chmiel-Bator, E., & Szpiłyk, M. (2022). Polyols and Polyurethane Foams Obtained from Mixture of Metasilicic Acid and Cellulose. Polymers, 14(19), 4039. https://doi.org/10.3390/polym14194039
