Polylactic Acid–Glass Fiber Composites: Structural, Thermal, and Electrical Properties
Abstract
:1. Introduction
2. Materials and Methods
3. Results and Discussion
3.1. Structure and Morphological Properties of PLA–Glass Fiber Composites
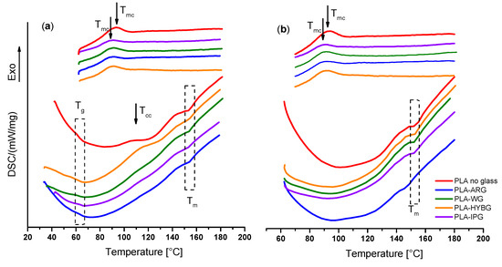
3.2. Thermal Properties of PLA–Glass Fiber Composites
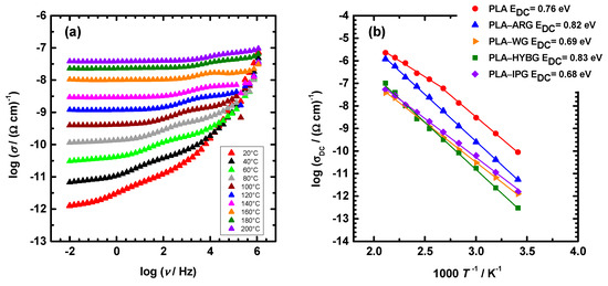
3.3. Electrical Properties of PLA–Glass Fiber Composites
4. Conclusions
Author Contributions
Funding
Data Availability Statement
Acknowledgments
Conflicts of Interest
References
- Zhu, Y.; Romain, C.; Williams, C.K. Sustainable polymers from renewable resources. Nature 2016, 540, 354–362. [Google Scholar] [CrossRef] [PubMed]
- Oksman, K.; Selin, J.-F. Plastics and composites from polylactic acid. In Natural Fibers, Plastics and Composites; Wallenberger, F.T., Weston, N., Eds.; Springer Science+Business Media: New York, NY, USA, 2004; Chapter 10; pp. 149–165. [Google Scholar]
- Gupta, B.; Revagade, N.; Hilborn, J. Poly(lactic acid) fiber: An overview. Prog. Polym. Sci. 2007, 32, 455–482. [Google Scholar] [CrossRef]
- Nagarajan, V.; Mohanty, A.K.; Misra, M. Perspective on polylactic acid (PLA) based sustainable materials for durable applications: Focus on toughness and heat-resistance. ACS Sustain. Chem. Eng. 2016, 4, 2899–2916. [Google Scholar] [CrossRef]
- Ilyas, R.A.; Zuhri, M.Y.M.; Aisyah, H.A.; Asyraf, M.R.M.; Hassan, S.A.; Zainudin, E.S.; Sapuan, S.M.; Sharma, S.; Bangar, S.P.; Jumaidin, R.; et al. Natural Fiber-Reinforced Polylactic Acid, Polylactic Acid Blends and Their Composites for Advanced Applications. Polymers 2022, 14, 202. [Google Scholar] [CrossRef]
- Hamad, K.; Kaseem, M.; Yang, H.W.; Deri, F.; Ko, Y.G. Properties and medical applications of polylactic acid: A review. Express Polym. Lett. 2015, 9, 435–455. [Google Scholar] [CrossRef]
- Wang, G.; Zhang, D.; Wan, G.; Li, B.; Zhao, G. Glass fiber reinforced PLA composite with enhanced mechanical properties, thermal behavior, and foaming ability. Polymer 2019, 181, 121803. [Google Scholar] [CrossRef]
- Morampudi, P.; Namala, K.K.; Gajjela, Y.K.; Barath, M.; Prudhvi, G. Review on glass fiber reinforced polymer composites. Mater. Today Proc. 2021, 43, 314–319. [Google Scholar] [CrossRef]
- Sathishkumar, T.P.; Satheeshkumar, S.; Naveen, J. Glass fiber-reinforced polymer composites—A review. J. Reinf. Plast. Compos. 2014, 33, 1258–1275. [Google Scholar] [CrossRef]
- Qureshi, J. A Review of Fibre Reinforced Polymer Structures. Fibers 2022, 10, 27. [Google Scholar] [CrossRef]
- DiBenedetto, A.T. Tailoring of interfaces in glass fiber reinforced polymer composites: A review. Mater. Sci. Eng. 2001, A302, 74–82. [Google Scholar] [CrossRef]
- Murariu, M.; Dubois, P. PLA composites: From production to properties. Adv. Drug Deliv. Rev. 2016, 107, 17–46. [Google Scholar] [CrossRef]
- Jaszkiewicz, A.; Bledzki, A.K.; Franciszczak, P. Improving the mechanical performance of PLA composites with natural, man-made cellulose and glass fibers—A comparison to PP counterparts. Polymery 2013, 58, 435–442. [Google Scholar] [CrossRef]
- Varsavas, S.D.; Kaynak, C. Effects of glass fiber reinforcement and thermoplastic elastomer blending on the mechanical performance of polylactide. Compos. Commun. 2018, 8, 24–30. [Google Scholar] [CrossRef]
- Wang, G.; Zhang, D.; Li, B.; Wan, G.; Zhao, G.; Zhang, A. Strong and thermal-resistance glass fiber-reinforced polylactic acid (PLA) composites enabled by heat treatment. Int. J. Biol. Macromol. 2019, 129, 448–459. [Google Scholar] [CrossRef]
- Ahmed, I.; Jones, I.A.; Parsons, A.J.; Bernard, J.; Farmer, J.; Scotchford, C.A.; Walker, G.S.; Rudd, C.D. Composites for bone repair: Phosphate glass fibre reinforced PLA with varying fibre architecture. J. Mater. Sci. Mater. Med. 2011, 22, 1825–1834. [Google Scholar] [CrossRef]
- Estrada, S.A.M.; Armendariz, I.O.; Garcia, A.T.; Paz, J.F.H.; Gonzalez, C.A.R. Evaluation of in Vitro Bioactivity of 45S5 Bioactive Glass/Poly Lactic Acid Scaffolds Produced by 3D Printing. Int. J. Compos. Mater. 2017, 7, 144–149. [Google Scholar]
- Karabulut, M.; Melnik, E.; Stefan, R.; Marasinghe, G.K.; Ray, C.S.; Kurkjian, C.R.; Day, D.E. Mechanical and structural properties of phosphate glasses. J. Non-Cryst. Solids 2001, 288, 8–17. [Google Scholar] [CrossRef]
- Suryanegara, L.; Nakagaito, A.N.; Yano, H. The effect of crystallization of PLA on the thermal and mechanical properties of microfibrillated cellulose-reinforced PLA composites. Compos. Sci. Technol. 2009, 69, 1187–1192. [Google Scholar] [CrossRef]
- Müller, A.J.; Avila, M.; Saenz, G.; Salazar, J. Crystallization of PLA-based Materials. In Poly (Lactic Acid) Science and Technology: Processing, Properties, Additives and Applications; The Royal Society of Chemistry: London, UK, 2015; Volume 12. [Google Scholar]
- Cetina, I.; Pucić, I.; Mohaček Grošev, V.; Šantić, A. Amines used for low temperature curing of PDMS-based gel-networks impact γ-irradiation outcome. Radiat. Phys. Chem. 2020, 170, 108635. [Google Scholar] [CrossRef]
- Oi, T.; Shinyama, K.; Fujita, S. Electrical properties of heat-treated polylactic acid. Electr. Eng. Jpn. 2012, 180, 1–8. [Google Scholar] [CrossRef]
- Xue, B.; Cheng, Z.; Yang, S.; Sun, X.; Xie, L.; Zheng, Q. Extensional flow-induced conductive nanohybrid shish in poly (lactic acid) nanocomposites toward pioneering combination of high electrical conductivity, strength, and ductility. Compos. B Eng. 2021, 207, 108556. [Google Scholar] [CrossRef]







| Glass Fibres | Company | Composition | Mean Length (μm) | Mean Diameter (μm) | Length/Diameter |
|---|---|---|---|---|---|
| ARG | Nippon Electric Glass Co. | Alkali resistant glass (SiO2-based glass containing ZrO2) | 380 | 25 | 15 |
| WG | Kelteks d.o.o. | E-glass (SiO2-B2O3-based glass) | 216 | 10 | 22 |
| HYBG | HybonTM 2002 Nippon Electric Glass Co. | E-glass (SiO2-B2O3-based glass) | 222 | 15 | 15 |
| IPG | laboratory-made | 40Fe2O3-60P2O5 | 451 | 20 | 23 |
Publisher’s Note: MDPI stays neutral with regard to jurisdictional claims in published maps and institutional affiliations. |
© 2022 by the authors. Licensee MDPI, Basel, Switzerland. This article is an open access article distributed under the terms and conditions of the Creative Commons Attribution (CC BY) license (https://creativecommons.org/licenses/by/4.0/).
Share and Cite
Klaser, T.; Balen, L.; Skoko, Ž.; Pavić, L.; Šantić, A. Polylactic Acid–Glass Fiber Composites: Structural, Thermal, and Electrical Properties. Polymers 2022, 14, 4012. https://doi.org/10.3390/polym14194012
Klaser T, Balen L, Skoko Ž, Pavić L, Šantić A. Polylactic Acid–Glass Fiber Composites: Structural, Thermal, and Electrical Properties. Polymers. 2022; 14(19):4012. https://doi.org/10.3390/polym14194012
Chicago/Turabian StyleKlaser, Teodoro, Luka Balen, Željko Skoko, Luka Pavić, and Ana Šantić. 2022. "Polylactic Acid–Glass Fiber Composites: Structural, Thermal, and Electrical Properties" Polymers 14, no. 19: 4012. https://doi.org/10.3390/polym14194012
APA StyleKlaser, T., Balen, L., Skoko, Ž., Pavić, L., & Šantić, A. (2022). Polylactic Acid–Glass Fiber Composites: Structural, Thermal, and Electrical Properties. Polymers, 14(19), 4012. https://doi.org/10.3390/polym14194012

