Theoretical Study of the Effect of Fibre Porosity on the Heat Conductivity of Reinforced Gypsum Composite Material
Abstract
:1. Introduction
1.1. Fibrous Reinforcement in Polymers
1.2. Porosity in Natural Fibre-Based Composites
1.3. Heat Conductivity of Polymers
1.4. Heat Conductivity of Natural Fibre Based Composites and Porosity
1.5. Heat Conductivity of Natural Fibre-Based Composites
- k = is thermal conductivity in W/m K;
- Q = is the amount of heat transfer through the material in J/s or W;
- A = is the area of the body in m2;
- ΔT = is a difference in temperature in K°;
- L = length of the body in m.
2. Numerical Process Methodology
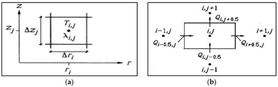
2.1. Numerical Modelling of Cylindrical Coordinates
2.2. Numerical Theory behind ANSYS Modelling
- Specified temperatures acting over the surface S1, T = T*
- {n} = Unit outward normal vector;
- Q* = Specified heat flow.
3. Development of ANSYS Models
3.1. Formation of Preliminary Model Shape
3.2. Generating the Mesh
3.3. Boundary Condition
3.4. Fibre/Polymer Modelling in ANSYS
4. Results and Discussion
4.1. Introduction
4.2. Sample of ANSYS Results
4.2.1. Gypsum with 20% of Glass-Fibre
4.2.2. Gypsum with 20% of Sisal-Fibre
4.3. Experimental and Numerical Results of Sisal/Gypsum Composites
4.4. Experimental and Numerical Results of Glass/Gypsum Composites
4.5. Influence of Volume Fraction of Fibres
5. Conclusions
Author Contributions
Funding
Institutional Review Board Statement
Informed Consent Statement
Acknowledgments
Conflicts of Interest
References
- Shalwan, A.; Yousif, B.F. In State of Art: Mechanical and tribological behaviour of polymeric composites based on natural fibres. Mater. Des. 2013, 48, 14–24. [Google Scholar]
- George, S.P.; Ahmad, A.; Rao, M.B. A novel thermostable xylanase from Thermomonospora sp.: Influence of additives on thermostability. Bioresour. Technol. 2001, 78, 221–224. [Google Scholar]
- Kalia, S.; Kaith, B.; Kaur, I. Cellulose Fibers: Bio- and Nano-Polymer Composites: Green Chemistry and Technology; Springer Science & Business Media: Berlin/Heidelberg, Germany, 2011. [Google Scholar]
- Friedrich, K.; Almajid, A.A. Manufacturing aspects of advanced polymer composites for automotive applications. Appl. Compos. Mater. 2013, 20, 107–128. [Google Scholar]
- Chung, D.D. Composite Materials: Science and Applications; Springer Science & Business Media: Berlin/Heidelberg, Germany, 2010. [Google Scholar]
- Joshi, S.V.; Drzal, L.T.; Mohanty, A.K.; Arora, S. Are natural fiber composites environmentally superior to glass fiber reinforced composites? Compos. Part A Appl. Sci. Manuf. 2004, 35, 371–376. [Google Scholar]
- Goda, K.; Sreekala, M.S.; Malhotra, S.K.; Joseph, K.; Thomas, S. Advances in polymer composites: Biocomposites–state of the art, new challenges, and opportunities. In Polymer Composites; Wiley: Hoboken, NJ, USA, 2013; pp. 1–10. [Google Scholar]
- Moeller, M.; Matyjaszewski, K. Polymer Science: A Comprehensive Reference; Newnes: Oxford, UK; Boston, MA, USA, 2012. [Google Scholar]
- Malkapuram, R.; Kumar, V.; Negi, Y.S. Recent development in natural fiber reinforced polypropylene composites. J. Reinf. Plast. Compos. 2009, 28, 1169–1189. [Google Scholar]
- Begum, K.; Islam, M. Natural fiber as a substitute to synthetic fiber in polymer composites: A review. Res. J. Eng. Sci. 2013, 2278, 9472. [Google Scholar]
- Saheb, D.N.; Jog, J.P. Natural fiber polymer composites: A review. Adv. Polym. Technol. J. Polym. Process. Inst. 1999, 18, 351–363. [Google Scholar]
- Mallick, P.K. Fiber-Reinforced Composites: Materials, Manufacturing, and Design; CRC Press: Boca Raton, FL, USA, 2007. [Google Scholar]
- Kohler, R.; Nebel, K. Cellulose-nanocomposites: Towards high performance composite materials. In Macromolecular Symposia; Wiley Online Library: Hoboken, NJ, USA, 2006. [Google Scholar]
- Carlsson, L.A.; Adams, D.F.; Pipes, R.B. Experimental Characterization of Advanced Composite Materials; CRC Press: Boca Raton, FL, USA, 2014. [Google Scholar]
- Wambua, P.; Ivens, J.; Verpoest, I. Natural fibres: Can they replace glass in fibre reinforced plastics? Compos. Sci. Technol. 2003, 63, 1259–1264. [Google Scholar]
- Bismarck, A.; Mishra, S.; Lampke, T. Plant fibers as reinforcement for green composites. In Natural Fibers, Biopolymers, and Biocomposites; CRC Press: Boca Raton, FL, USA, 2005; pp. 52–128. [Google Scholar]
- Madsen, B.; Thygesen, A.; Lilholt, H. Plant fibre composites–porosity and volumetric interaction. Compos. Sci. Technol. 2007, 67, 1584–1600. [Google Scholar]
- Hornsby, P.; Hinrichsen, E.; Tarverdi, K. Preparation and properties of polypropylene composites reinforced with wheat and flax straw fibres: Part I fibre characterization. J. Mater. Sci. 1997, 32, 443–449. [Google Scholar]
- Firstov, S.A.; Podrezov, Y.N. Effect of the pore space structure on deformation energy absorption during compression of high-porosity composites. Part I. Low hardening stage. Powder Metall. Met. Ceram. 2000, 39, 407–413. [Google Scholar]
- Aziz, S.H.; Ansell, M.P. The effect of alkalization and fibre alignment on the mechanical and thermal properties of kenaf and hemp bast fibre composites: Part 1–polyester resin matrix. Compos. Sci. Technol. 2004, 64, 1219–1230. [Google Scholar]
- Stanković, S.B.; Popović, D.; Poparić, G.B. Thermal properties of textile fabrics made of natural and regenerated cellulose fibers. Polym. Test. 2008, 27, 41–48. [Google Scholar]
- Liu, X.; Schubert, D.W. Influence of the pressure-dependent contact area between electrode and composite surface on the electrical conductivity. Compos. Struct. 2016, 136, 414–418. [Google Scholar]
- Pal, G.; Kumar, S. Multiscale modeling of effective electrical conductivity of short carbon fiber-carbon nanotube-polymer matrix hybrid composites. Mater. Des. 2016, 89, 129–136. [Google Scholar]
- Taherian, R. Experimental and analytical model for the electrical conductivity of polymer-based nanocomposites. Compos. Sci. Technol. 2016, 123, 17–31. [Google Scholar]
- Yuan, B.; Wang, B.; Hu, Y.; Mu, X.; Hong, N.; Liew, K.M.; Hu, Y. Electrically conductive and graphitizable polymer nanofibers grafted on graphene nanosheets: Improving electrical conductivity and flame retardancy of polypropylene. Compos. Part A Appl. Sci. Manuf. 2016, 84, 76–86. [Google Scholar]
- Gojny, F.H.; Wichmann, M.H.; Fiedler, B.; Kinloch, I.A.; Bauhofer, W.; Windle, A.H.; Schulte, K. Evaluation and identification of electrical and thermal conduction mechanisms in carbon nanotube/epoxy composites. Polymer 2006, 47, 2036–2045. [Google Scholar]
- Tanaka, K.; Ogata, S.; Kobayashi, R.; Tamura, T.; Kouno, T. A molecular dynamics study on thermal conductivity of thin epoxy polymer sandwiched between alumina fillers in heat-dissipation composite material. Int. J. Heat Mass Transf. 2015, 89, 714–723. [Google Scholar]
- Chikhi, M.; Agoudjil, B.; Boudenne, A.; Gherabli, A. Experimental investigation of new biocomposite with low cost for thermal insulation. Energy Build. 2013, 66, 267–273. [Google Scholar]
- Binici, H.; Aksogan, O.; Bodur, M.N.; Akca, E.; Kapur, S. Thermal isolation and mechanical properties of fibre reinforced mud bricks as wall materials. Constr. Build. Mater. 2007, 21, 901–906. [Google Scholar]
- Korjenic, A.; Petránek, V.; Zach, J.; Hroudová, J. Development and performance evaluation of natural thermal-insulation materials composed of renewable resources. Energy Build. 2011, 43, 2518–2523. [Google Scholar]
- Panyakaew, S.; Fotios, S. New thermal insulation boards made from coconut husk and bagasse. Energy Build. 2011, 43, 1732–1739. [Google Scholar]
- Kristak, L.; Ruziak, I.; Tudor, E.M.; Barbu, M.C.; Kain, G.; Reh, R. Thermophysical Properties of Larch Bark Composite Panels. Polymers 2021, 13, 2287. [Google Scholar]
- Asdrubali, F.; D’Alessandro, F.; Schiavoni, S. A review of unconventional sustainable building insulation materials. Sustain. Mater. Technol. 2015, 4, 1–17. [Google Scholar]
- Asdrubali, F.; Ferracuti, B.; Lombardi, L.; Guattari, C.; Evangelisti, L.; Grazieschi, G. A review of structural, thermo-physical, acoustical, and environmental properties of wooden materials for building applications. Build. Environ. 2017, 114, 307–332. [Google Scholar]
- Dweib, M.; Hu, B.; O’donnell, A.; Shenton, H.W.; Wool, R.P. All natural composite sandwich beams for structural applications. Compos. Struct. 2004, 63, 147–157. [Google Scholar]
- Kim, S.W.; Lee, S.H.; Kang, J.S.; Kang, K.H. Thermal conductivity of thermoplastics reinforced with natural fibers. Int. J. Thermophys. 2006, 27, 1873–1881. [Google Scholar]
- Belaadi, A.; Bezazi, A.; Bourchak, M.; Scarpa, F. Tensile static and fatigue behaviour of sisal fibres. Mater. Des. 2013, 46, 76–83. [Google Scholar] [CrossRef]
- Alawar, A.; Hamed, A.M.; Al-Kaabi, K. Characterization of treated date palm tree fiber as composite reinforcement. Compos. Part B Eng. 2009, 40, 601–606. [Google Scholar]
- Vilay, V.; Mariatti, M.; Taib, R.M.; Todo, M. Effect of fiber surface treatment and fiber loading on the properties of bagasse fiber–reinforced unsaturated polyester composites. Compos. Sci. Technol. 2008, 68, 631–638. [Google Scholar] [CrossRef]
- Ramesh, M.; Palanikumar, K.; Reddy, K.H. Mechanical property evaluation of sisal–jute–glass fiber reinforced polyester composites. Compos. Part B Eng. 2013, 48, 1–9. [Google Scholar] [CrossRef]
- Liu, K.; Takagi, H.; Osugi, R.; Yang, Z. Effect of physicochemical structure of natural fiber on transverse thermal conductivity of unidirectional abaca/bamboo fiber composites. Compos. Part A Appl. Sci. Manuf. 2012, 43, 1234–1241. [Google Scholar] [CrossRef]
- Ramanaiah, K.; Prasad, A.R.; Reddy, K.H.C. Mechanical properties and thermal conductivity of Typha angustifolia natural fiber–reinforced polyester composites. Int. J. Polym. Anal. Charact. 2011, 16, 496–503. [Google Scholar] [CrossRef]
- Binici, H.; Aksogan, O.; Demirhan, C. Mechanical, thermal and acoustical characterizations of an insulation composite made of bio-based materials. Sustain. Cities Soc. 2016, 20, 17–26. [Google Scholar] [CrossRef]
- Wang, H.; Qin, Q.-H. A new special coating/fiber element for analyzing effect of interface on thermal conductivity of composites. Appl. Math. Comput. 2015, 268, 311–321. [Google Scholar] [CrossRef]
- Subramani, T.; Vishnupriya, S. Finite element analysis of a natural fiber (Maize) composite beam. Int. J. Mod. Eng. Res. 2014, 4, 1–7. [Google Scholar]
- Dewangan, K.K.; Satapathy, A. A numerical study on enhancement of thermal insulation capability of polyester by reinforcement of micro-sized rice husk particles. In Proceedings of the International Conference on “Advancements in Polymeric Materials”, APM 2012, Ahmedabad, India, 10–12 February 2012. [Google Scholar]
- Blomberg, T.R. Heat Conduction in Two and Three Dimensions: Computer Modelling of Building Physics Applications. Ph.D. Thesis, Lund University, Lund, Sweden, 1997. [Google Scholar]
- Taler, D. Numerical Modelling, and Experimental Testing of Heat Exchangers; Springer: Cham, Switzerland, 2019; Volume 161. [Google Scholar]
- Miidla, P. (Ed.) Numerical Modelling; IntechOpen: London, UK, 2012. [Google Scholar]
- Alajmi, R.; Yousif, B.F.; Alajmi, F.M.; Shalwan, A. Study the possibility of using sisal fibres in building applications. Adv. Mater. Lett. 2019, 10, 222–229. [Google Scholar] [CrossRef]
- Cao, X.; Liu, J.; Cao, X.; Li, Q.; Hu, E.; Fan, F. Study of the thermal insulation properties of the glass fiber board used for interior building envelope. Energy Build. 2015, 107, 49–58. [Google Scholar] [CrossRef]
- Ashour, T.; Wieland, H.; Georg, H.; Bockisch, F.J.; Wu, W. The influence of natural reinforcement fibres on insulation values of earth plaster for straw bale buildings. Mater. Des. 2010, 31, 4676–4685. [Google Scholar] [CrossRef]
- Ijjada, N.; Nayaka, R.R. Review on properties of some thermal insulating materials providing more comfort in the building. Mater. Today Proc. 2022, 58, 1354–1359. [Google Scholar] [CrossRef]
- Venkataramanaiah, P.; Aradhya, R.; Rajan, J.S. Investigations on the effect of hybrid carbon fillers on the thermal conductivity of glass epoxy composites. Polym. Compos. 2021, 42, 618–633. [Google Scholar] [CrossRef]
- Patnaik, A.; Kumar, P.; Biswas, S.; Kumar, M. Investigations on micro-mechanical and thermal characteristics of glass fiber reinforced epoxy based binary composite structure using finite element method. Comput. Mater. Sci. 2012, 62, 142–151. [Google Scholar] [CrossRef]



























| Material | Thermal Conductivity (W/mk) | Specific Heat (kcal/kg °C) |
|---|---|---|
| Gypsum | 0.17 | 0.26 |
| Sisal fibre | 0.07 | - |
| Glass Fibre | 0.04 | 0.16 |
| Volume Fraction % | Dimensional Parameters | Number of Fibres | Radius (cm) |
|---|---|---|---|
| Non | R39 | - | 2.0 |
| 20% | R40 | 5 | 0.3111 |
| 25% | R51 | 4 | 0.3478 |
| 30% | R52 | 4 | 0.381 |
| 35% | R53 | 3 | 0.4115 |
| Type of Fibre | Samples | Fibre Volume Fraction % |
|---|---|---|
| --- | Pure gypsum | 0% |
| Glass | GF-Gypsum | 20–35% |
| Sisal | SF-Gypsum | 20–35% |
| Materials | Experimental Results | Numerical Results | ||||||||
|---|---|---|---|---|---|---|---|---|---|---|
| ΔT1 | ΔT2 | ΔT3 | ΔT4 | ΔT5 | ΔT1 | ΔT2 | ΔT3 | ΔT4 | ΔT5 | |
| Pure gypsum | 62.7 | 15.5 | 12.4 | 4.0 | 0.3 | 63.0 | 12.5 | 6.5 | 2.0 | 0.5 |
| GF20%G | 63.5 | 17.2 | 9.8 | 4.6 | 1.4 | 70.1 | 14.3 | 15.5 | 1.6 | 0.3 |
| GF25%G | 65.6 | 16.4 | 8.1 | 3.3 | 1.2 | 70.5 | 14 | 9.8 | 5.5 | 0.5 |
| GF30%G | 67.2 | 16.8 | 7.1 | 3.0 | 0.4 | 64.2 | 18.7 | 4.7 | 3.4 | 0.6 |
| GF35%G | 68.2 | 19.7 | 7.8 | 4.7 | 1.2 | 69.6 | 23.3 | 9.76 | 2.44 | 0.56 |
| % Errors between Experimental and Numerical Results | |||||
|---|---|---|---|---|---|
| Materials | %Error (ΔT1) | %Error (ΔT2) | %Error (ΔT3) | %Error (ΔT4) | %Error (ΔT5) |
| PG | 3.66 | 32.3 | 47.6 | 50 | 66 |
| GF20%G | 1.1 | 16.86 | 58.16 | 65.2 | 78.57 |
| GF25%G | 6.09 | 14.63 | 20.99 | 66.67 | 58.33 |
| GF30%G | 4.32 | 11.31 | 33.8 | 13.33 | 50 |
| GF35%G | 6.89 | 18.27 | 25.13 | 48.09 | 53.33 |
| Materials | Experimental Results | Numerical Results | ||||||||
|---|---|---|---|---|---|---|---|---|---|---|
| ΔT1 | ΔT2 | ΔT3 | ΔT4 | ΔT5 | ΔT1 | ΔT2 | ΔT3 | ΔT4 | ΔT5 | |
| Pure gypsum | 62.7 | 15.5 | 12.4 | 4.0 | 0.3 | 65.0 | 20.5 | 6.5 | 2.0 | 0.5 |
| SF20%G | 67.4 | 17.5 | 7.1 | 3.3 | 2.3 | 68.4 | 17.4 | 6.9 | 3.0 | 3.2 |
| SF25%G | 68.5 | 15.7 | 6.8 | 3.3 | 0.6 | 69.2 | 16.6 | 4.82 | 3.4 | 4.54 |
| SF30%G | 71.0 | 8.8 | 8.9 | 4.6 | 0.6 | 70.3 | 14.7 | 9.7 | 2.5 | 1.8 |
| SF35%G | 73.0 | 15.8 | 7.8 | 3.9 | 2.2 | 72.8 | 17.7 | 6.48 | 4.70 | 1.63 |
| % Errors between Experimental and Numerical Results | |||||
|---|---|---|---|---|---|
| Materials | %Error (ΔT1) | %Error (ΔT2) | %Error (ΔT3) | %Error (ΔT4) | %Error (ΔT5) |
| PG | 3.66 | 32.3 | 47.6 | 50 | 66 |
| SF20%G | 1.48 | 0.57 | 2.82 | 9.09 | 39.1 |
| SF25%G | 2.19 | 6.24 | 29.12 | 45.65 | 65.6 |
| SF30%G | 5.2 | 21.8 | 8.99 | 45.65 | 50 |
| SF35%G | 5.75 | 12.1 | 16.9 | 20.5 | 25.91 |
Publisher’s Note: MDPI stays neutral with regard to jurisdictional claims in published maps and institutional affiliations. |
© 2022 by the authors. Licensee MDPI, Basel, Switzerland. This article is an open access article distributed under the terms and conditions of the Creative Commons Attribution (CC BY) license (https://creativecommons.org/licenses/by/4.0/).
Share and Cite
Shalwan, A.; Alajmi, A.; Yousif, B.F. Theoretical Study of the Effect of Fibre Porosity on the Heat Conductivity of Reinforced Gypsum Composite Material. Polymers 2022, 14, 3973. https://doi.org/10.3390/polym14193973
Shalwan A, Alajmi A, Yousif BF. Theoretical Study of the Effect of Fibre Porosity on the Heat Conductivity of Reinforced Gypsum Composite Material. Polymers. 2022; 14(19):3973. https://doi.org/10.3390/polym14193973
Chicago/Turabian StyleShalwan, A., Abdalrahman Alajmi, and B. F. Yousif. 2022. "Theoretical Study of the Effect of Fibre Porosity on the Heat Conductivity of Reinforced Gypsum Composite Material" Polymers 14, no. 19: 3973. https://doi.org/10.3390/polym14193973
APA StyleShalwan, A., Alajmi, A., & Yousif, B. F. (2022). Theoretical Study of the Effect of Fibre Porosity on the Heat Conductivity of Reinforced Gypsum Composite Material. Polymers, 14(19), 3973. https://doi.org/10.3390/polym14193973

