Effects of Sodium Alginate, Pectin and Chitosan Addition on the Physicochemical Properties, Acrylamide Formation and Hydroxymethylfurfural Generation of Air Fried Biscuits
Abstract
:1. Introduction
2. Materials and Methods
2.1. Chemicals and Ingredients
2.2. Biscuit Preparation and the Measuring of Physicochemical Properties of Biscuits
2.3. Acrylamide and HMF Levels in Biscuits
2.4. DPPH Radical Scavenging Assay, and the Determination of Reducing Power
2.5. Hardness and Color Measurement of Biscuits
2.6. Sensory Evaluation of Air Frying Biscuits
2.7. Statistical Analysis
3. Results
3.1. Physicochemical Properties of Biscuits
3.2. Acrylamide and Hydroxymethylfurfural Levels in Biscuits
3.3. DPPH Radical Scavenging and Reducing Power of Biscuits
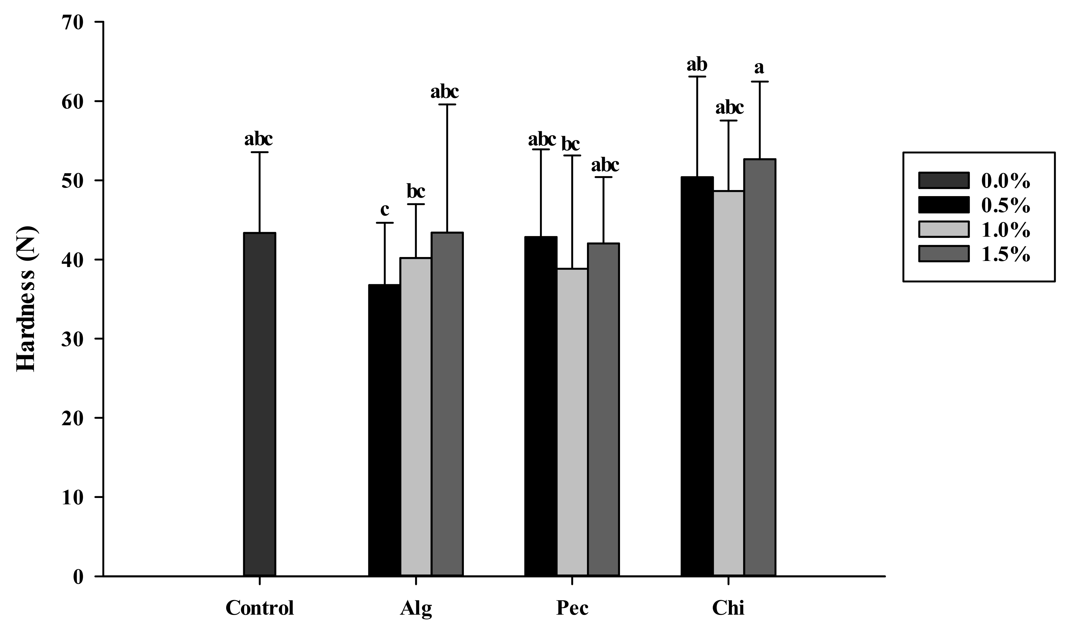
3.4. Hardness, Color and Sensory Evaluation of Biscuits
4. Discussion
4.1. Physicochemical Properties of Biscuits
4.2. Acrylamide and HMF Levels in Biscuits
4.3. DPPH Radical Scavenging and Reducing Power of Biscuits
4.4. Hardness, Color and Sensory Evaluation of Biscuits
5. Conclusions
Supplementary Materials
Author Contributions
Funding
Institutional Review Board Statement
Informed Consent Statement
Data Availability Statement
Acknowledgments
Conflicts of Interest
References
- Gokmen, V.; Acar, O.C.; Serpen, A.; Morales, F.J. Effect of leavening agents and sugars on the formation of hydroxymethylfurfural in cookies during baking. Eur. Food Res. Technol. 2008, 226, 1031–1037. [Google Scholar] [CrossRef]
- Capuano, E.; Fogliano, V. Acrylamide and 5-hydroxymethylfurfural (HMF): A review on metabolism, toxicity, occurrence in food and mitigation strategies. LWT Food Sci. Technol. 2011, 44, 793–810. [Google Scholar] [CrossRef]
- Morales, F.J. Hydroxymethylfurfural (HMF) and Related Compounds. In Process-Induced Food Toxicants; John Wiley: Hoboken, NJ, USA, 2008. [Google Scholar]
- Yuan, Y.; Shu, C.; Zhou, B.; Qi, X.; Xiang, J. Impact of selected additives on acrylamide formation in asparagine/sugar Maillard model systems. Food Res. Int. 2011, 44, 449–455. [Google Scholar] [CrossRef]
- Nematollahi, A.; Meybodi, N.M.; Khaneghah, A.M. An overview of the combination of emerging technologies with conventional methods to reduce acrylamide in different food products: Perspectives and future challenges. Food Control 2021, 127, 108144. [Google Scholar] [CrossRef]
- Yasahura, A.; Tanaka, Y.; Hengel, M.; Shibamoto, T. Gas chromatographic investigation of acrylamide formation in browning model system. J. Agric. Food Chem. 2003, 51, 3999–4003. [Google Scholar] [CrossRef]
- Zyzak, D.; Sanders, R.A.; Stojanovic, M.; Tallmadge, D.H.; Loye Eberhart, B.; Ewald, D.K.; Gruber, D.C.; Morsch, T.R.; Strothers, M.A.; Rizzi, G.P.; et al. Acrylamide formation mechanism in heated foods. J. Agric. Food Chem. 2003, 51, 4782–4787. [Google Scholar] [CrossRef]
- Becalski, A.; Lan, B.P.Y.; Lewis, D.; Seaman, S.W. Acrylamide in foods: Occurrence, sources, and modeling. J. Agric. Food Chem. 2003, 51, 802–808. [Google Scholar] [CrossRef]
- Rannou, C.; Laroque, D.; Renault, E.; Prost, C.; Sérot, T. Mitigation strategies of acrylamide, furans, heterocyclic amines and browning during the Maillard reaction in foods. Food Res. Int. 2016, 90, 154–176. [Google Scholar] [CrossRef]
- Jung, M.Y.; Choi, D.S.; Ju, J.W. A novel technique for limitation of acrylamide formation in fried and baked corn chips and in French fries. J. Food Sci. 2003, 68, 1287–1290. [Google Scholar] [CrossRef]
- Maan, A.A.; Anjum, M.A.; Khan, M.K.I.; Nazir, A.; Saeed, F.; Afzaal, M.; Aadil, R.M. Acrylamide formation and different mitigation strategies during food processing—A review. Food Rev. Int. 2022, 38, 70–87. [Google Scholar] [CrossRef]
- Abboudi, M.; Al-Bachir, M.; Koudsi, Y.; Jouhara, H. Combined effects of gamma irradiation and blanching process on acrylamide content in fried potato strips. Int. J. Food Prop. 2016, 19, 1447–1454. [Google Scholar] [CrossRef]
- Lindsay, R.C.; Jang, S. Chemical intervention strategies for substantial suppression of acrylamide formation in fried potato products. Adv. Exp. Med. Biol. 2005, 561, 393–404. [Google Scholar] [CrossRef] [PubMed]
- Gokmen, V.; Senyuva, H.Z. Acrylamide formation is prevented by diavalent cations during the Maillard reaction. Food Chem. 2007, 103, 196–203. [Google Scholar] [CrossRef]
- Amrein, T.M.; Schonbachler, B.; Escher, F.; Amado, R. Acrylamide in gingerbread: Critical factors for formation and possible ways for reduction. J. Agric. Food Chem. 2004, 52, 4282–4288. [Google Scholar] [CrossRef] [PubMed]
- Gokmen, V.; Acar, O.C.; Koksel, H.; Acar, J. Effects of dough formula and baking conditions on acrylamide and hydroxymethylfurfural formation in cookies. Food Chem. 2007, 104, 1136–1142. [Google Scholar] [CrossRef]
- Gokmen, V.; Akbudak, B.; Serpen, A.; Acar, J.; Turan, Z.M.; Eris, A. Effects of controlled atmosphere storage and low-dose irradiation on potato tuber components affecting acrylamide and color formations upon frying. Eur. Food Res. Technol. 2007, 224, 681–687. [Google Scholar] [CrossRef]
- Pedersen, L.; Kaack, K.; Bergsøe, M.N.; Adler-Nissen, J. Rheological properties of biscuit dough from different cultivars, and relationship to baking characteristics. J. Cereal Sci. 2004, 39, 37–46. [Google Scholar] [CrossRef]
- Ciesarova, Z.; Kiss, E.; Boegl, P. Impact of L-asparaginase on acrylamide content in potato products. J. Food Nutr. Res. 2006, 45, 141–146. Available online: https://www.researchgate.net/journal/Journal-of-Food-and-Nutrition-Research-1336-8672 (accessed on 16 August 2022).
- Meghavarnam, A.K.; Janakiraman, S. Evaluation of acrylamide reduction potential of l-asparaginase from Fusarium culmorum (ASP-87) in starchy products. LWT Food Sci. Technol. 2018, 89, 32–37. [Google Scholar] [CrossRef]
- Xu, Y.; Cui, B.; Ran, R.; Liu, Y.; Chen, H.; Kai, G.; Shi, J. Risk assessment, formation, and mitigation of dietary acrylamide: Current status and future prospects. Food Chem. Toxicol. 2014, 69, 1–12. [Google Scholar] [CrossRef]
- Brathen, E.; Kita, A.; Knutsen, S.H.; Wicklund, T. Addition of glycine reduces the content of acrylamide in cereal and potato products. J. Agric. Food Chem. 2005, 53, 3259–3264. [Google Scholar] [CrossRef] [PubMed]
- Vinci, R.M.; Mestdagh, F.; De Meulenaer, B. Acrylamide formation in fried potato products–Present and future, a critical review on mitigation strategies. Food Chem. 2012, 133, 1138–1154. [Google Scholar] [CrossRef]
- Biedermann, M.; Grob, K. Model studies on acrylamide formation in potato, wheat flour and corn starch; ways to reduce acrylamide contents in bakery ware. Mitt. Geb. Lebensmittelunters. Hyg. 2003, 94, 406–422. [Google Scholar]
- Li, S.L.; Lin, J.; Chen, X.M. Effect of chitosan molecular weight on the functional properties of chitosan-maltose Maillard reaction products and their application to fresh-cut Typha latifolia L. Carbohydr. Polym. 2014, 102, 682–690. [Google Scholar] [CrossRef] [PubMed]
- Passos, C.P.; Ferreira, S.S.; Serôdio, A.; Basil, E.; Marková, L.; Kukurová, K.; Ciesarova, Z.; Rocha, S.M.; Coimbra, M.A. Pectic polysaccharides as an acrylamide mitigation strategy–Competition between reducing sugars and sugar acids. Food Hydrocoll. 2018, 81, 113–119. [Google Scholar] [CrossRef]
- Champrasert, O.; Chu, J.; Meng, Q.; Meng, Q.; Viney, S.; Holmes, M.; Suwannaporn, P.; Orfila, C. Inhibitory effect of polysaccharides on acrylamide formation in chemical and food model systems. Food Chem. 2021, 363, 130213. [Google Scholar] [CrossRef]
- Chevallier, S.; Colonna, P.A.; Della Valle, G.; Lourdin, D. Contribution of major ingredients during baking of biscuit dough systems. J. Cereal Sci. 2000, 3, 241–252. [Google Scholar] [CrossRef]
- Chevallier, S.; Colonna, P.; Buleon, A.; Della Valle, G. Physicochemical behaviours of sugars, lipids, and gluten in short dough and biscuit. J. Agric. Food Chem. 2000, 48, 1322–1326. [Google Scholar] [CrossRef]
- Pedreschi, F.; Kaack, K.; Granby, K. The effect of asparaginase on acrylamide formation in French fries. Food Chem. 2008, 109, 386–392. [Google Scholar] [CrossRef]
- Abd Rahman, N.A.; Abdul Razak, S.Z.; Lokmanalhakim, L.A.; Taip, F.S.; Mustapa Kamal, S.M. Response surface optimization for hot air-frying technique and its effects on the quality of sweet potato snack. J. Food Process Eng. 2017, 40, e12507. [Google Scholar] [CrossRef]
- Anwar, N.Z.R.; Ghani, A.A. Effect of different processing methods on the physicochemical properties and sensory evaluations of sweet potatoes chips. J. Agrobiotechnol. 2019, 10, 51–63. [Google Scholar]
- Fan, L.P.; Zhang, M.; Mujumdar, A.S. Vacuum frying of carrot chips. Dry. Technol. 2005, 23, 645–656. [Google Scholar] [CrossRef]
- American Association of Cereal Chemists. Approved Methods of the American Association of Cereal Chemists, 10th ed.; American Association of Cereal Chemists: St. Paul, MN, USA, 2000. [Google Scholar]
- Hwang, H.S.; Singh, M.; Lee, S. Properties of cookies made with natural wax–vegetable oil organogels. J. Food Sci. 2016, 81, 1045–1054. [Google Scholar] [CrossRef]
- Navarro, M.; Morales, F.J. Effect of hydroxytyrosol and olive leaf extract on 1, 2-dicarbonyl compounds, hydroxymethylfurfural and advanced glycation endproducts in a biscuit model. Food Chem. 2017, 217, 602–609. [Google Scholar] [CrossRef] [PubMed]
- Association of Analytical Communities. Official Methods of Analysis, 21st ed.; Sidney, W., Ed.; Association of Official Analytical Chemists: Washington, DC, USA, 2019. [Google Scholar]
- Roach, J.A.; Andrzejewski, D.; Gay, M.L.; Nortrup, D.; Musser, S.M. Rugged LC-MS/MS survey analysis for acrylamide in foods. J. Agric. Food Chem. 2003, 51, 7547–7554. [Google Scholar] [CrossRef] [PubMed]
- Barber, D.S.; Hunt, J.; LoPachin, R.M.; Ehrich, M. Determination of acrylamide and glycidamide in rat plasma by reversed-phase high performance liquid chromatography. J. Chromatogr. B Biomed. Appl. 2001, 758, 289–293. [Google Scholar] [CrossRef]
- Oral, R.A.; Mortas, M.; Dogan, M.; Sarioglu, K.; Yazici, F. New approaches to determination of HMF. Food Chem. 2014, 143, 367–370. [Google Scholar] [CrossRef]
- Kim, S.K.; Rajapakse, N. Enzymatic production and biological activities of chitosan oligosaccharides (COS): A review. Carbohydr. Polym. 2005, 62, 357–368. [Google Scholar] [CrossRef]
- Shimada, K.; Fujikawa, K.; Yahara, K.; Nakamura, T. Antioxidative properties of xanthan on the autoxidation of soybean oil in cyclodextrin emulsion. J. Agric. Food Chem. 1992, 40, 945–948. [Google Scholar] [CrossRef]
- Kanatt, S.R.; Chander, R.; Shimojoh, M. Chitosan glucose complex—A novel food preservative. Food Chem. 2008, 106, 521–528. [Google Scholar] [CrossRef]
- Passos, C.P.; Kukurová, K.; Basil, E.; Fernandes, P.A.; Neto, A.; Nunes, F.M.; Murkovic, M.; Ciesarova, Z.; Coimbra, M.A. Instant coffee as a source of antioxidant-rich and sugar-free coloured compounds for use in bakery: Application in biscuits. Food Chem. 2017, 231, 114–121. [Google Scholar] [CrossRef] [PubMed]
- Sudha, M.L.; Baskaran, V.; Leelavathi, K. Apple pomace as a source of dietary fiber and polyphenols and its effect on the rheological characteristics and cake making. Food Chem. 2007, 104, 686–692. [Google Scholar] [CrossRef]
- Barak, S.; Mudgil, D.; Khatkar, B.S. Effect of composition of gluten proteins and dough rheological properties on the cookie-making quality. Br. Food J. 2013, 115, 564–574. [Google Scholar] [CrossRef]
- Kontogiorgos, V. Carbohydrates. In Introduction to Food Chemistry; Springer: Berlin, Germany, 2021; pp. 19–53. [Google Scholar]
- Woo, K.S.; Hwang, I.G.; Kim, H.Y.; Jang, K.I.; Lee, J.; Kang, T.S.; Jeong, H.S. Thermal degradation characteristics and antioxidant activity of fructose solution with heating temperature and time. J. Med. Food 2011, 14, 167–172. [Google Scholar] [CrossRef]
- Mestdagh, F.; De Wilde, T.; Delporte, K.; Van Peteghem, C.; De Meulenaer, B. Impact of chemical pre-treatments on the acrylamide formation and sensorial quality of potato crisps. Food Chem. 2008, 106, 914–922. [Google Scholar] [CrossRef]
- Levin, R.A.; Ryan, S.M. Determining the effect of calcium cations on acrylamide formation in cooked wheat products using a model system. J. Agric. Food Chem. 2009, 57, 6823–6829. [Google Scholar] [CrossRef] [PubMed]
- Katz, E.E.; Labuza, T.P. Effect of water activity on the sensory crispness and mechanical formation of snack food products. J. Food Sci. 1980, 46, 403–409. [Google Scholar] [CrossRef]
- EU. Commission Reg. (EU) on the Application of Control & Mitigation Measures to Reduce the Presence of Acrylamide in Food. 2017. Available online: https://ec.europa.eu/info/law/better-regulation/initiatives/ares-2017-2895100_en (accessed on 16 August 2022).
- Nguyen, H.T.; Peters, R.J.; Van Boekel, M.A. Acrylamide and 5-hydroxymethylfurfural formation during baking of biscuits: Part I: Effects of sugar type. Food Chem. 2016, 192, 575–585. [Google Scholar] [CrossRef]
- Kahkeshani, N.; Saeidnia, S.; Abdollahi, M. Role of antioxidants and phytochemicals on acrylamide mitigation from food and reducing its toxicity. J. Food Sci. Technol. 2015, 52, 3169–3186. [Google Scholar] [CrossRef]
- Yen, M.T.; Tseng, Y.H.; Li, R.C.; Mau, J.L. Antioxidant properties of fungal chitosan from shiitake stipes. LWT Food Sci. Technol. 2007, 40, 255–261. [Google Scholar] [CrossRef]
- Xing, R.; Yu, H.; Liu, S.; Zhang, W.; Zhang, Q.; Li, Z.; Li, P. Antioxidative activity of differently regioselective chitosan sulfates in vitro. Bioorg. Med. Chem. 2005, 13, 1387–1392. [Google Scholar] [CrossRef] [PubMed]





| Groups | Diameter (mm) | Thickness (mm) | Spread Ratio | |
|---|---|---|---|---|
| Control | 0.0% | 57.39 ± 1.37 cd | 8.54 ± 0.50 abc | 6.74 ± 0.39 bcd |
| Sodium alginate | 0.5% | 57.06 ± 0.57 cd | 8.16 ± 0.62 c | 7.03 ± 0.58 abc |
| 1.0% | 56.54 ± 0.82 d | 8.66 ± 0.81 ab | 6.58 ± 0.59 d | |
| 1.5% | 57.07 ± 0.70 cd | 8.24 ± 0.41 bc | 6.94 ± 0.36 abcd | |
| Pectin | 0.5% | 58.34 ± 1.17 ab | 8.15 ± 0.46 c | 7.18 ± 0.39 a |
| 1.0% | 57.95 ± 1.14 abc | 8.24 ± 0.45 bc | 7.06 ± 0.43 ab | |
| 1.5% | 58.47 ± 1.06 ab | 8.28 ± 0.24 abc | 7.07 ± 0.18 ab | |
| Chitosan | 0.5% | 57.62 ± 1.45 bc | 8.67 ± 0.44 ab | 6.67 ± 0.43 cd |
| 1.0% | 58.80 ± 0.51 a | 8.59 ± 0.41 abc | 6.86 ± 0.33 abcd | |
| 1.5% | 57.66 ± 1.26 bc | 8.74 ± 0.43 a | 6.62 ± 0.35 d |
| Groups | CIE L* | CIE a* | CIE b* | ΔE | Browning Index | |
|---|---|---|---|---|---|---|
| Control | 0.0% | 66.70 ± 5.27 a | 0.78 ± 3.26 a | 53.30 ± 5.11 ab | 137.38 ± 18.84 a | |
| Sodium alginate | 0.5% | 69.59 ± 5.93 a | −0.68 ± 4.02 a | 52.65 ± 3.72 ab | 6.84 ± 4.97 ab | 125.04 ± 24.11 a |
| 1.0% | 70.00 ± 3.36 a | 0.02 ± 2.43 a | 53.15 ± 3.35 ab | 5.50 ± 2.70 ab | 124.99 ± 15.31 a | |
| 1.5% | 69.80 ± 6.18 a | −0.19 ± 2.44 a | 53.93 ± 3.36 ab | 5.57 ± 5.74 ab | 128.74 ± 12.49 a | |
| Pectin | 0.5% | 65.33 ± 6.02 a | −0.82 ± 4.05 a | 50.94 ± 6.63 b | 8.75 ± 4.65 a | 132.24 ± 35.85 a |
| 1.0% | 66.43 ± 7.51 a | −0.05 ± 2.65 a | 52.67 ± 4.46 ab | 7.69 ± 4.26 ab | 140.25 ± 43.77 a | |
| 1.5% | 65.20 ± 5.88 a | −0.21 ± 3.32 a | 49.92 ± 4.73 b | 8.02 ± 3.48 ab | 128.04 ± 24.71 a | |
| Chitosan | 0.5% | 68.98 ± 5.53 a | 0.26 ± 1.54 a | 56.00 ± 3.15 a | 5.61 ± 4.67 ab | 140.30 ± 7.55 a |
| 1.0% | 68.65 ± 3.34 a | 1.47 ± 0.94 a | 55.60 ± 1.87 a | 4.54 ± 1.76 ab | 140.81 ± 5.67 a | |
| 1.5% | 67.64 ± 2.78 a | 1.60 ± 1.98 a | 54.29 ± 1.91 ab | 3.68 ± 1.71 b | 138.79 ± 6.55 a |
| Appearance Acceptability | Odor Acceptability | Flavor Acceptability | Texture Acceptability | Overall Acceptability | |
|---|---|---|---|---|---|
| Control | 7.05 ± 1.48 a | 7.04 ± 1.41 a | 6.90 ± 1.31 a | 6.79 ± 1.31 a | 6.92 ± 1.18 a |
| 1.0% Sodium alginate | 6.44 ± 1.47 b | 6.71 ± 1.32 ab | 6.78 ± 1.64 a | 6.83 ± 1.37 a | 6.96 ± 1.22 a |
| 0.5% Pectin | 5.97 ± 1.75 b | 6.42 ± 1.34 b | 6.74 ± 1.48 a | 6.84 ± 1.69 a | 6.81 ± 1.27 a |
| 0.5% Chitosan | 6.29 ± 1.58 b | 6.57 ± 1.36 b | 6.44 ± 1.51 a | 6.78 ± 1.33 a | 6.64 ± 1.27 a |
Publisher’s Note: MDPI stays neutral with regard to jurisdictional claims in published maps and institutional affiliations. |
© 2022 by the authors. Licensee MDPI, Basel, Switzerland. This article is an open access article distributed under the terms and conditions of the Creative Commons Attribution (CC BY) license (https://creativecommons.org/licenses/by/4.0/).
Share and Cite
Fang, M.; Ting, Y.-S.; Sung, W.-C. Effects of Sodium Alginate, Pectin and Chitosan Addition on the Physicochemical Properties, Acrylamide Formation and Hydroxymethylfurfural Generation of Air Fried Biscuits. Polymers 2022, 14, 3961. https://doi.org/10.3390/polym14193961
Fang M, Ting Y-S, Sung W-C. Effects of Sodium Alginate, Pectin and Chitosan Addition on the Physicochemical Properties, Acrylamide Formation and Hydroxymethylfurfural Generation of Air Fried Biscuits. Polymers. 2022; 14(19):3961. https://doi.org/10.3390/polym14193961
Chicago/Turabian StyleFang, Mingchih, Yen-Shu Ting, and Wen-Chieh Sung. 2022. "Effects of Sodium Alginate, Pectin and Chitosan Addition on the Physicochemical Properties, Acrylamide Formation and Hydroxymethylfurfural Generation of Air Fried Biscuits" Polymers 14, no. 19: 3961. https://doi.org/10.3390/polym14193961
APA StyleFang, M., Ting, Y.-S., & Sung, W.-C. (2022). Effects of Sodium Alginate, Pectin and Chitosan Addition on the Physicochemical Properties, Acrylamide Formation and Hydroxymethylfurfural Generation of Air Fried Biscuits. Polymers, 14(19), 3961. https://doi.org/10.3390/polym14193961

