Self-Healable Covalently Adaptable Networks Based on Disulfide Exchange
Abstract
1. Introduction
2. Experimental Part
2.1. Experimental Materials
2.2. Synthesis of Monomer Trimethylolpropane Tris(3-Mercaptacetoacetate) (TMPTAA) and Pentaerythritol Tetra(3-Mercaptacetoacetate) (PETMPA)
2.3. Synthesis of Cystamine (Cys)
2.4. Synthesis of Polymer Films
2.5. Characterization
3. Results and Discussion
3.1. Synthesis of Acetoacetic Acid Esterified Functional Monomers (TMPTAA and PETMPA)
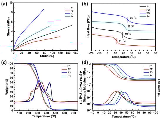
3.2. Synthesis and Characterization of the Polymer Films
3.3. Stress-Relaxation Experiments
3.4. Self-Healing Property of the Polymer Films
4. Conclusions
Supplementary Materials
Author Contributions
Funding
Institutional Review Board Statement
Data Availability Statement
Conflicts of Interest
References
- Raquez, J.M.; Deléglise, M.; Lacrampe, M.F.; Krawczak, P. Thermosetting (bio)materials derived from renewable resources: A critical review. Prog. Polym. Sci. 2010, 35, 487–509. [Google Scholar] [CrossRef]
- Krishnakumar, B.; Pucci, A.; Wadgaonkar, P.P.; Kumar, I.; Binder, W.H.; Rana, S. Vitrimers based on bio-derived chemicals: Overview and future prospects. Chem. Eng. J. 2022, 433, 133261. [Google Scholar] [CrossRef]
- Zhao, P.; Xia, J.; Cao, M.; Xu, H. Wavelength-Controlled Light-Responsive Polymer Vesicle Based on Se–S Dynamic Chemistry. ACS Macro Lett. 2020, 9, 163–168. [Google Scholar] [CrossRef] [PubMed]
- Aiba, M.; Koizumi, T.-a.; Futamura, M.; Okamoto, K.; Yamanaka, M.; Ishigaki, Y.; Oda, M.; Ooka, C.; Tsuruoka, A.; Takahashi, A.; et al. Use of Bis(2,2,6,6-tetramethylpiperidin-1-yl)trisulfide as a Dynamic Covalent Bond for Thermally Healable Cross-Linked Polymer Networks. ACS Appl. Polym. Mater. 2020, 2, 4054–4061. [Google Scholar] [CrossRef]
- Tang, Z.; Lyu, X.; Xiao, A.; Shen, Z.; Fan, X. High-Performance Double-Network Ion Gels with Fast Thermal Healing Capability via Dynamic Covalent Bonds. Chem. Mater. 2018, 30, 7752–7759. [Google Scholar] [CrossRef]
- Wang, Y.; Xing, P.; Li, S.; Ma, M.; Yang, M.; Zhang, Y.; Wang, B.; Hao, A. Facile Stimuli-Responsive Transformation of Vesicle to Nanofiber to Supramolecular Gel via ω-Amino Acid-Based Dynamic Covalent Chemistry. Langmuir 2016, 32, 10705–10711. [Google Scholar] [CrossRef]
- Kiran, B.M.; Jayaraman, N. Thiol−Disulfide Interchange Mediated Reversible Dendritic Megamer Formation and Dissociation. Macromolecules 2009, 42, 7353–7359. [Google Scholar] [CrossRef]
- Montarnal, D.; Capelot, M.; Tournilhac, F.; Leibler, L. Silica-Like Malleable Materials from Permanent Organic Networks. Science 2011, 334, 965–968. [Google Scholar] [CrossRef]
- Cardenas, C.B.; Gayraud, V.; Rodriguez, M.E.; Costa, J.; Salaberria, A.M.; de Luzuriaga, A.R.; Markaide, N.; Keeryadath, P.D.; Zapateria, D.C. Study into the Mechanical Properties of a New Aeronautic-Grade Epoxy-Based Carbon-Fiber-Reinforced Vitrimer. Polymers 2022, 14, 1223. [Google Scholar] [CrossRef]
- Worrell, B.T.; McBride, M.K.; Lyon, G.B.; Cox, L.M.; Wang, C.; Mavila, S.; Lim, C.-H.; Coley, H.M.; Musgrave, C.B.; Ding, Y.; et al. Bistable and photoswitchable states of matter. Nat. Commun. 2018, 9, 2804. [Google Scholar] [CrossRef]
- Zhang, X.; Wang, S.; Jiang, Z.; Li, Y.; Jing, X. Boronic Ester Based Vitrimers with Enhanced Stability via Internal Boron–Nitrogen Coordination. J. Am. Chem. Soc. 2020, 142, 21852–21860. [Google Scholar] [CrossRef] [PubMed]
- He, C.; Shi, S.; Wang, D.; Helms, B.A.; Russell, T.P. Poly(oxime–ester) Vitrimers with Catalyst-Free Bond Exchange. J. Am. Chem. Soc. 2019, 141, 13753–13757. [Google Scholar] [CrossRef] [PubMed]
- Shi, Q.; Yu, K.; Kuang, X.; Mu, X.; Dunn, C.K.; Dunn, M.L.; Wang, T.; Qi, H.J. Recyclable 3D printing of vitrimer epoxy. Mater. Horiz. 2017, 4, 598–607. [Google Scholar] [CrossRef]
- Nishimura, Y.; Chung, J.; Muradyan, H.; Guan, Z. Silyl Ether as a Robust and Thermally Stable Dynamic Covalent Motif for Malleable Polymer Design. J. Am. Chem. Soc. 2017, 139, 14881–14884. [Google Scholar] [CrossRef] [PubMed]
- Hendriks, B.; Waelkens, J.; Winne, J.M.; Du Prez, F.E. Poly(thioether) Vitrimers via Transalkylation of Trialkylsulfonium Salts. ACS Macro Lett. 2017, 6, 930–934. [Google Scholar] [CrossRef] [PubMed]
- Wu, S.; Yang, H.; Huang, S.; Chen, Q. Relationship between Reaction Kinetics and Chain Dynamics of Vitrimers Based on Dioxaborolane Metathesis. Macromolecules 2020, 53, 1180–1190. [Google Scholar] [CrossRef]
- Garcia, J.M.; Jones, G.O.; Virwani, K.; McCloskey, B.D.; Boday, D.J.; ter Huurne, G.M.; Horn, H.W.; Coady, D.J.; Bintaleb, A.M.; Alabdulrahman, A.M.S.; et al. Recyclable, strong thermosets and organogels via paraformaldehyde condensation with diamines. Science 2014, 344, 732–735. [Google Scholar] [CrossRef]
- Chen, Y.; Zhang, H.; Majumdar, S.; van Benthem, R.A.T.M.; Heuts, J.P.A.; Sijbesma, R.P. Dynamic Polyamide Networks via Amide–Imide Exchange. Macromolecules 2021, 54, 9703–9711. [Google Scholar] [CrossRef]
- Guo, X.; Gao, F.; Chen, F.; Zhong, J.; Shen, L.; Lin, C.; Lin, Y. Dynamic Enamine-one Bond Based Vitrimer via Amino-yne Click Reaction. ACS Macro Lett. 2021, 10, 1186–1190. [Google Scholar] [CrossRef]
- Majumdar, S.; Zhang, H.; Soleimani, M.; van Benthem, R.A.T.M.; Heuts, J.P.A.; Sijbesma, R.P. Phosphate Triester Dynamic Covalent Networks. ACS Macro Lett. 2020, 9, 1753–1758. [Google Scholar] [CrossRef]
- Zhang, C.; Liang, H.; Liang, D.; Lin, Z.; Chen, Q.; Feng, P.; Wang, Q. Renewable Castor-Oil-based Waterborne Polyurethane Networks: Simultaneously Showing High Strength, Self-Healing, Processability and Tunable Multishape Memory. Angew. Chem. Int. Ed. 2021, 60, 4289–4299. [Google Scholar] [CrossRef] [PubMed]
- Wang, S.; Ma, S.; Li, Q.; Xu, X.; Wang, B.; Yuan, W.; Zhou, S.; You, S.; Zhu, J. Facile in situ preparation of high-performance epoxy vitrimer from renewable resources and its application in nondestructive recyclable carbon fiber composite. Green Chem. 2019, 21, 1484–1497. [Google Scholar] [CrossRef]
- Taplan, C.; Guerre, M.; Winne, J.M.; Du Prez, F.E. Fast processing of highly crosslinked, low-viscosity vitrimers. Mater. Horiz. 2020, 7, 104–110. [Google Scholar] [CrossRef]
- Liu, Z.; Zhang, C.; Shi, Z.; Yin, J.; Tian, M. Tailoring vinylogous urethane chemistry for the cross-linked polybutadiene: Wide freedom design, multiple recycling methods, good shape memory behavior. Polymer 2018, 148, 202–210. [Google Scholar] [CrossRef]
- Spiesschaert, Y.; Guerre, M.; Imbernon, L.; Winne, J.M.; Du Prez, F. Filler reinforced polydimethylsiloxane-based vitrimers. Polymer 2019, 172, 239–246. [Google Scholar] [CrossRef]
- Lessard, J.J.; Scheutz, G.M.; Sung, S.H.; Lantz, K.A.; Epps, T.H., III; Sumerlin, B.S. Block copolymer vitrimers. J. Am. Chem. Soc. 2019, 142, 283–289. [Google Scholar] [CrossRef]
- Guerre, M.; Taplan, C.; Nicolaÿ, R.; Winne, J.M.; Du Prez, F.E. Fluorinated vitrimer elastomers with a dual temperature response. J. Am. Chem. Soc. 2018, 140, 13272–13284. [Google Scholar] [CrossRef]
- Tellers, J.; Pinalli, R.; Soliman, M.; Vachon, J.; Dalcanale, E. Reprocessable vinylogous urethane cross-linked polyethylene via reactive extrusion. Polym. Chem. 2019, 10, 5534–5542. [Google Scholar] [CrossRef]
- Denissen, W.; Rivero, G.; Nicolaÿ, R.; Leibler, L.; Winne, J.M.; Du Prez, F.E. Vinylogous urethane vitrimers. Adv. Funct. Mater. 2015, 25, 2451–2457. [Google Scholar] [CrossRef]
- Lessard, J.J.; Garcia, L.F.; Easterling, C.P.; Sims, M.B.; Bentz, K.C.; Arencibia, S.; Savin, D.A.; Sumerlin, B.S. Catalyst-free vitrimers from vinyl polymers. Macromolecules 2019, 52, 2105–2111. [Google Scholar] [CrossRef]
- Wei, X.; Ge, J.; Gao, F.; Chen, F.; Zhang, W.; Zhong, J.; Lin, C.; Shen, L. Bio-based self-healing coating material derived from renewable castor oil and multifunctional alamine. Eur. Polym. J. 2021, 160, 110804. [Google Scholar] [CrossRef]
- Zhu, Y.; Gao, F.; Zhong, J.; Shen, L.; Lin, Y. Renewable castor oil and DL-limonene derived fully bio-based vinylogous urethane vitrimers. Eur. Polym. J. 2020, 135, 109865. [Google Scholar] [CrossRef]
- Chen, F.; Cheng, Q.; Gao, F.; Zhong, J.; Shen, L.; Lin, C.; Lin, Y. The effect of latent plasticity on the shape recovery of a shape memory vitrimer. Eur. Polym. J. 2021, 147, 110304. [Google Scholar] [CrossRef]
- Wu, X.; Liu, M.; Zhong, J.; Zhong, Y.; Rong, J.; Gao, F.; Qiao, Y.; Shen, L.; He, H. Self-healing dynamic bond-based robust polyurethane acrylate hybrid polymers. New J. Chem. 2022, 46, 13415–13421. [Google Scholar] [CrossRef]
- Rong, J.; Zhong, J.; Yan, W.; Liu, M.; Zhang, Y.; Qiao, Y.; Fu, C.; Gao, F.; Shen, L.; He, H. Study on waterborne self-healing polyurethane with dual dynamic units of quadruple hydrogen bonding and disulfide bonds. Polymer 2021, 221, 123625. [Google Scholar] [CrossRef]
- Li, Z.-J.; Zhong, J.; Liu, M.-C.; Rong, J.-C.; Yang, K.; Zhou, J.-Y.; Shen, L.; Gao, F.; He, H.-F. Investigation on self-healing property of epoxy resins based on disulfide dynamic links. Chin. J. Polym. Sci. 2020, 38, 932–940. [Google Scholar] [CrossRef]
- Liu, M.; Zhong, J.; Li, Z.; Rong, J.; Yang, K.; Zhou, J.; Shen, L.; Gao, F.; Huang, X.; He, H. A high stiffness and self-healable polyurethane based on disulfide bonds and hydrogen bonding. Eur. Polym. J. 2020, 124, 109475. [Google Scholar] [CrossRef]
- Canadell, J.; Goossens, H.; Klumperman, B. Self-healing materials based on disulfide links. Macromolecules 2011, 44, 2536–2541. [Google Scholar] [CrossRef]
- Lei, Z.Q.; Xiang, H.P.; Yuan, Y.J.; Rong, M.Z.; Zhang, M.Q. Room-Temperature Self-Healable and Remoldable Cross-linked Polymer Based on the Dynamic Exchange of Disulfide Bonds. Chem. Mater. 2014, 26, 2038–2046. [Google Scholar] [CrossRef]
- Hayashi, M.; Yano, R. Fair Investigation of Cross-Link Density Effects on the Bond-Exchange Properties for Trans-Esterification-Based Vitrimers with Identical Concentrations of Reactive Groups. Macromolecules 2020, 53, 182–189. [Google Scholar] [CrossRef]
- Xie, H.; Cheng, C.-Y.; Deng, X.-Y.; Fan, C.-J.; Du, L.; Yang, K.-K.; Wang, Y.-Z. Creating Poly (tetramethylene oxide) Glycol-Based Networks with Tunable Two-Way Shape Memory Effects via Temperature-Switched Netpoints. Macromolecules 2017, 50, 5155–5164. [Google Scholar] [CrossRef]
- Cao, Z.; Gao, F.; Zhao, J.; Lin, C.; Zhong, J.; Chen, F.; Zhu, Y.; Yi, P.; Shen, L. Ambient Cross-linking System Based on the Knoevenagel Condensation Reaction between Acetoacetylated Sucrose and Aromatic Dicarboxaldehydes. ACS Omega 2019, 4, 20724–20731. [Google Scholar] [CrossRef]
- Zhu, L.; Xu, L.; Jie, S.; Li, B. Polybutadiene Vitrimers with Tunable Epoxy Ratios: Preparation and Properties. Polymers 2021, 13, 4157. [Google Scholar] [CrossRef] [PubMed]
- Zuo, H.; Cao, Z.; Shu, J.; Xu, D.; Zhong, J.; Zhao, J.; Wang, T.; Chen, Y.; Gao, F.; Shen, L. Effect of structure on the properties of ambient-cured coating films prepared via a Michael addition reaction based on an acetoacetate-modified castor oil prepared by thiol-ene coupling. Prog. Org. Coat. 2019, 135, 27–33. [Google Scholar] [CrossRef]
- Xu, D.; Cao, Z.; Wang, T.; Zhao, J.; Zhong, J.; Xiong, P.; Wang, J.; Gao, F.; Shen, L. Effect of the Ratio of Acetylacetate Groups on the Properties of a Novel Plant-Based Dual-Cure Coating System. ACS Omega 2019, 4, 11173–11180. [Google Scholar] [CrossRef] [PubMed]
- Xu, D.; Cao, Z.; Wang, T.; Zhong, J.; Zhao, J.; Gao, F.; Luo, X.; Fang, Z.; Cao, J.; Xu, S.; et al. An ambient-cured coating film obtained via a Knoevenagel and Michael addition reactions based on modified acetoacetylated castor oil prepared by a thiol-ene coupling reaction. Prog. Org. Coat. 2019, 135, 510–516. [Google Scholar] [CrossRef]
- Di Mauro, C.; Genua, A.; Mija, A. Kinetical Study, Thermo-Mechanical Characteristics and Recyclability of Epoxidized Camelina Oil Cured with Antagonist Structure (Aliphatic/Aromatic) or Functionality (Acid/Amine) Hardeners. Polymers 2021, 13, 2503. [Google Scholar] [CrossRef]
- Van Lijsebetten, F.; De Bruycker, K.; Winne, J.M.; Du Prez, F.E. Masked Primary Amines for a Controlled Plastic Flow of Vitrimers. ACS Macro Lett. 2022, 11, 919–924. [Google Scholar] [CrossRef]
- Debsharma, T.; Amfilochiou, V.; Wróblewska, A.A.; De Baere, I.; Van Paepegem, W.; Du Prez, F.E. Fast Dynamic Siloxane Exchange Mechanism for Reshapable Vitrimer Composites. J. Am. Chem. Soc. 2022, 144, 12280–12289. [Google Scholar] [CrossRef]
- Chen, F.; Gao, F.; Zhong, J.; Shen, L.; Lin, Y. Fusion of Biobased Vinylogous Urethane Vitrimers with Distinct Mechanical Properties. Mater. Chem. Front. 2020, 4, 2723–2730. [Google Scholar] [CrossRef]
- Chen, L.; Zhu, S.; Toendepi, I.; Jiang, Q.; Wei, Y.; Qiu, Y.; Liu, W. Reprocessable, Reworkable, and Mechanochromic Polyhexahydrotriazine Thermoset with Multiple Stimulus Responsiveness. Polymers 2020, 12, 2375. [Google Scholar] [CrossRef] [PubMed]
- Fortman, D.J.; Snyder, R.L.; Sheppard, D.T.; Dichtel, W.R. Rapidly Reprocessable Cross-Linked Polyhydroxyurethanes Based on Disulfide Exchange. ACS Macro Lett. 2018, 7, 1226–1231. [Google Scholar] [CrossRef] [PubMed]








| Sample | Acetoacetate | Primary Amine | Acetoacetate/Amine Ratio |
|---|---|---|---|
| P1 | TMPTAA (0.83 g, 1.00 mmol) | 1,6-Didiamine (0.18 g, 1.58 mmol) | 1:1.05 |
| P2 | TMPTAA (0.83 g, 1.00 mmol) | Cystamine (0.24 g, 1.58 mmol) | 1:1.05 |
| P3 | PETMPA (1.05 g, 1.00 mmol) | 1,6-Didiamine (0.24 g, 2.1 mmol) | 1:1.05 |
| P4 | PETMPA (1.05 g, 1.00 mmol) | Cystamine (0.32 g, 2.1 mmol) | 1:1.05 |
| Sample | Gel Content (%) | Swelling Ratio (%) | ve (mol cm−3) |
|---|---|---|---|
| P1 | 94 | 42 | 1.24 × 10−4 |
| P2 | 91 | 48 | 0.83 × 10−4 |
| P3 | 95 | 32 | 5.86 × 10−4 |
| P4 | 92 | 36 | 2.79 × 10−4 |
| Sample | Young’s Modulus (MPa) | Stress at Break (MPa) | Elongation at Breaks (%) | Tg (DSC) (°C) | TGA in Nitrogen (°C) | Tg (tanδ) (°C) | E’ at Tg + 50 °C (MPa) | Crosslinking (ve) (mol m−3) | ||
|---|---|---|---|---|---|---|---|---|---|---|
| T10 | T50 | Tmax | ||||||||
| P1 | 7.3 ± 0.3 | 5.37 ± 0.46 | 152.1 ± 10.2 | 19 | 274 | 349 | 474 | 34 | 5.52 | 619 |
| P2 | 6.0 ± 0.5 | 2.91 ± 0.32 | 119.5 ± 5.3 | 11 | 237 | 326 | 465 | 30 | 4.17 | 473 |
| P3 | 31.3 ± 1.2 | 8.67 ± 1.13 | 77.5 ± 6.5 | 22 | 280 | 354 | 480 | 46 | 9.41 | 1022 |
| P4 | 10.8 ± 0.7 | 5.20 ± 0.43 | 94.5 ± 7.6 | 25 | 247 | 332 | 468 | 41 | 6.84 | 753 |
| Sample | Healing for Time | The Temperature of Self-Healing (°C) | Stress at Break σ (MPa) | Self-Healing Efficiency η (%) |
|---|---|---|---|---|
| P1 | before cutting | - | 5.37 | - |
| 20 h | 100 | 0.84 | 15.64 | |
| P2 | before cutting | - | 2.91 | - |
| 2 h | 100 | 0.76 | 26.12 | |
| 8 h | 100 | 1.66 | 57.04 | |
| 20 h | 100 | 2.51 | 86.25 | |
| P3 | before cutting | - | 8.67 | - |
| 20 h | 100 | 1.51 | 17.41 | |
| P4 | before cutting | - | 5.20 | - |
| 2 h | 100 | 1.63 | 31.35 | |
| 8 h | 100 | 3.09 | 59.4 | |
| 20 h | 100 | 4.52 | 86.92 |
Publisher’s Note: MDPI stays neutral with regard to jurisdictional claims in published maps and institutional affiliations. |
© 2022 by the authors. Licensee MDPI, Basel, Switzerland. This article is an open access article distributed under the terms and conditions of the Creative Commons Attribution (CC BY) license (https://creativecommons.org/licenses/by/4.0/).
Share and Cite
Guo, X.; Liu, F.; Lv, M.; Chen, F.; Gao, F.; Xiong, Z.; Chen, X.; Shen, L.; Lin, F.; Gao, X. Self-Healable Covalently Adaptable Networks Based on Disulfide Exchange. Polymers 2022, 14, 3953. https://doi.org/10.3390/polym14193953
Guo X, Liu F, Lv M, Chen F, Gao F, Xiong Z, Chen X, Shen L, Lin F, Gao X. Self-Healable Covalently Adaptable Networks Based on Disulfide Exchange. Polymers. 2022; 14(19):3953. https://doi.org/10.3390/polym14193953
Chicago/Turabian StyleGuo, Xinru, Feng Liu, Meng Lv, Fengbiao Chen, Fei Gao, Zhenhua Xiong, Xuejiao Chen, Liang Shen, Faman Lin, and Xuelang Gao. 2022. "Self-Healable Covalently Adaptable Networks Based on Disulfide Exchange" Polymers 14, no. 19: 3953. https://doi.org/10.3390/polym14193953
APA StyleGuo, X., Liu, F., Lv, M., Chen, F., Gao, F., Xiong, Z., Chen, X., Shen, L., Lin, F., & Gao, X. (2022). Self-Healable Covalently Adaptable Networks Based on Disulfide Exchange. Polymers, 14(19), 3953. https://doi.org/10.3390/polym14193953

