Experimental Investigation on the Diffusion Law of Polymer Slurry Grouted in Sand
Abstract
:1. Introduction
2. Basic Physical Properties Testing and Material Selection of Polymers
2.1. Material Testing
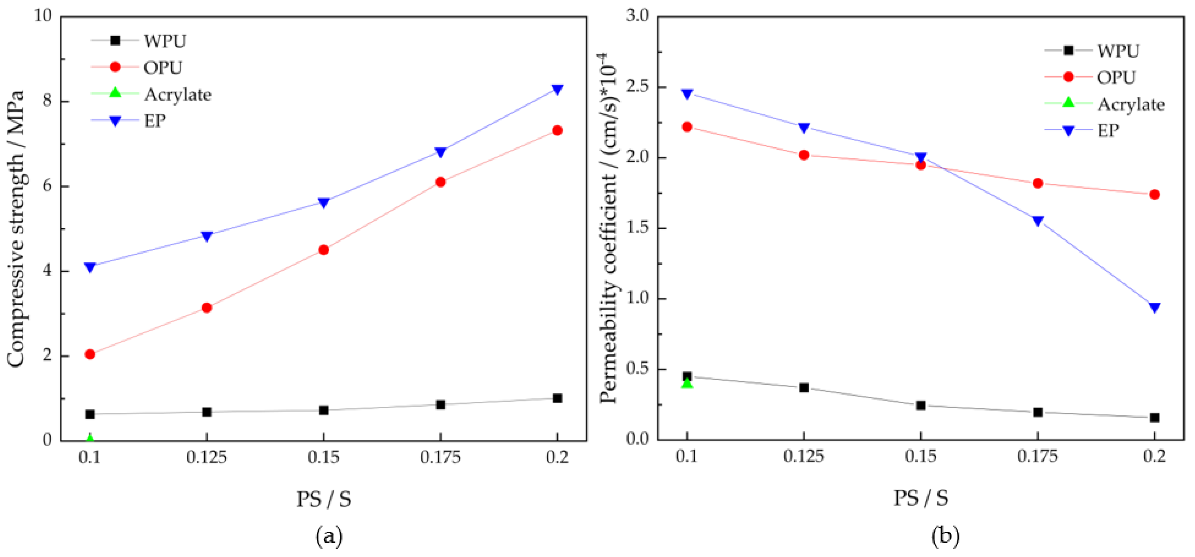
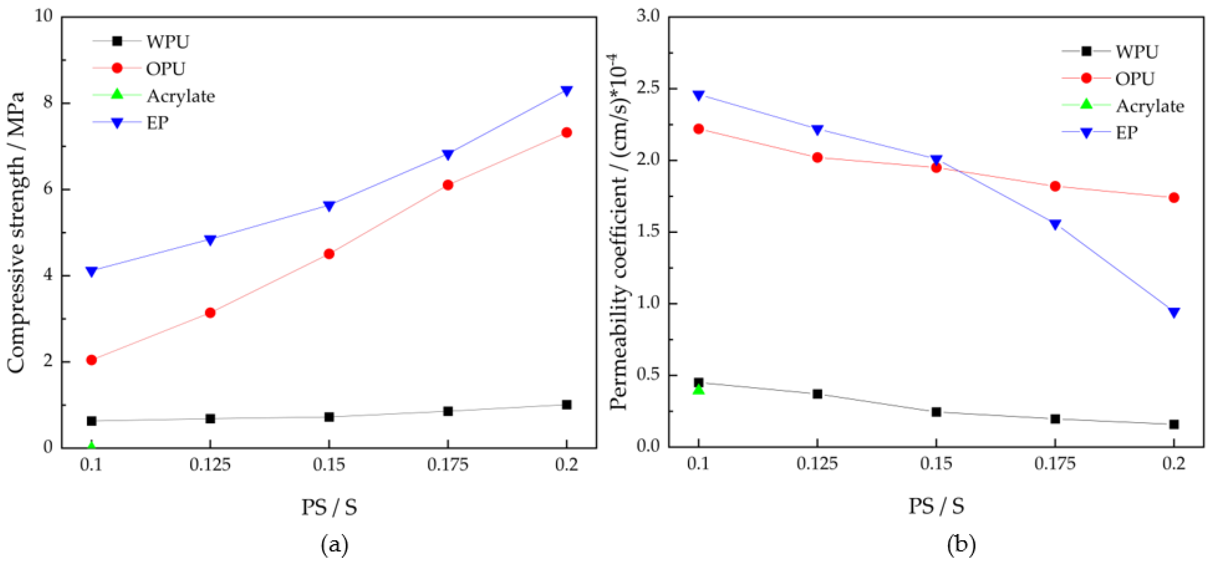
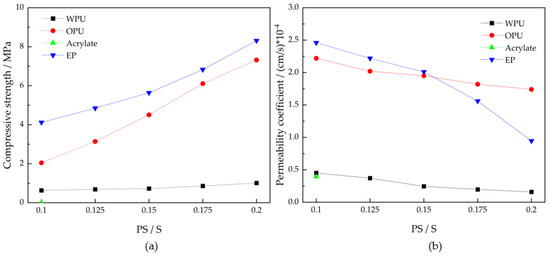
2.2. Test Results
3. Sand Diffusion Test
3.1. Experimental Design Options
3.2. Test Equipment and Materials
3.3. Test Procedure
4. Test Results and Analysis
4.1. Analysis of Grouting Pressure Data
4.2. Analysis of Slurry Diffusion Patterns
4.3. Analysis of the Slurry Diffusion Mechanism
4.3.1. Polymer Slurry Diffusion under Low and Medium Pressure Grouting Conditions
- Polymer slurry bubble formation stage. The slurry forms pear-shaped slurry bubbles at the nozzle, and the slurry spreads rapidly along the sand voids. At the same time, part of the slurry pressure will displace the sand and cause longitudinal splitting.
- Polymer slurry bubble expansion stage. As the slurry continues to spread, the slurry pressure gradually decreases, which is not enough to completely displace the sand. At this time, the slurry forms a compaction effect on the sand by compressing the sand, as shown in the blue marked area in Figure 12.
- Penetration expansion stage. After compacting the sand, the slurry pressure continues to decrease, and the slurry penetrates and diffuses along the pores of the sand particles. At the same time, due to the decompression effect of diffusion, the slurry will look for a new diffusion channel. Due to the wall effect of the grouting pipe, the slurry will start to return to the slurry along the wall of the grouting pipe.
- Returning polymer slurry stage. As the original slurry particles occupy the original diffusion path, the subsequently injected slurry needs to lose more slurry pressure to diffuse through the original diffusion path. When the slurry pressure cannot support the slurry diffusion in the original diffusion path, the slurry stops diffusing. The slurry starts to return along the wall of the grouting pipe and spreads to a more efficient path.
4.3.2. Polymer Slurry Diffusion under High-Pressure Grouting Conditions
- Polymer slurry bubble formation stage. Polymer slurry forms pear-shaped slurry bubbles at the mouth of the pipe and longitudinal splitting occurs while the slurry under pressure seeks uniform and porous diffusion paths in the sand to form advantage channels.
- Splitting diffusion stage. With the continuous replenishment of the slurry, the internal energy of the slurry bubble increases. The slurry will follow the dominant channel to form a larger splitting channel and continue to displace the sand to form slurry veins.
- Compression and penetration diffusion stage. As polymer slurry diffusion energy gradually diminishes, the polymer slurry diffuses first through the compacted sand, followed by permeable diffusion along the pores of the sand, until the energy is so diminished that it cannot advance.
5. Conclusions
- The higher the PS/S of polymer chemical grouted sands, the better its compressive performance and seepage resistance. OPU grouted sands and EP grouted sands have similar performance; EP grouted sands have the highest compressive strength, the compressive strength of PS/S 0.2 is more than 8 MPa, WPU grouted sands have the best seepage resistance, the permeability coefficient of PS/S 0.2 is less than 2.5 × 10−5 cm/s.
- For the sand injectability factors, the degree of sand compactness has the greatest influence; the looser the sand, the greater the number of sand pore channels, the smaller the sand injectable permeability pressure. The test grouting final pressure value was 0.1–0.3 MPa. For the sand diffusion morphology factors, the grouting pressure has the greatest influence; the higher the grouting pressure, the more the sand is injected by the slurry, and the formation of chemical grouted sands mass and volume is also larger. Sand quality has less influence on the injectability of the slurry and the diffusion pattern of the sand.
- WPUs in different grading of sand grouting mode all belong to splitting-compression-penetration diffusion; belong to incomplete grouting; the slurry diffusion form mostly shows long column type; the slurry diffusion process in low- and medium-pressure (1–1.5 MPa) grouting is mainly divided into polymer slurry bubble formation stage, polymer slurry bubble expansion stage, permeation expansion stage and returning polymer slurry stage. The slurry diffusion in high-pressure (2 MPa) grouting appears as lateral splitting; the diffusion process is mainly divided into polymer slurry bubble formation stage; splitting diffusion stage; compression and penetration diffusion stage.
Author Contributions
Funding
Institutional Review Board Statement
Informed Consent Statement
Data Availability Statement
Acknowledgments
Conflicts of Interest
References
- Ma, B.S. Trenchless Pipeline Rehabilitation and Renewal Technology, 1st ed.; China Communications Press: Beijing, China, 2014; pp. 1–2. [Google Scholar]
- Mohanad, M.S.S.; Nikolai, I.V.; Kifayah, A.M.A. Soil Injection Technology Using an Expandable Polyurethane Resin: A Review. Polymers 2021, 13, 3666. [Google Scholar] [CrossRef]
- Wang, F.M.; Shi, M.S.; Li, H.J.; Zhong, Y.H. Experimental Study on the Anti-Permeability Properties of Polymer Grouting Materials. Adv. Mater. Res. 2011, 284–286, 1952–1955. [Google Scholar] [CrossRef]
- Shi, M.S.; Wang, F.M.; Luo, J. Compressive Strength of Polymer Grouting Material at Different Temperatures. J. Wuhan Univ. Technol. 2010, 25, 962–965. [Google Scholar] [CrossRef]
- Gao, X.; Wei, Y.; Wang, F.M.; Zhong, Y.H. Fatigue Resistant and Microstructure Evolution of Polyurethane Grout Materials under Uniaxial Compression. Acta Mater. Compos. Sin. 2017, 34, 550–556. [Google Scholar] [CrossRef]
- Wang, J.; Fang, H.Y.; Yu, Z.S.; Cao, K.; Wang, F.M. Experimental Study on Uniaxial Compressive Properties of Polymer Gravel Mixtures. J. Build. Mater. 2019, 22, 320–326. [Google Scholar]
- Ma, X.; Wang, F.M.; Guo, C.C.; Zhang, J.C. Study on Shear Strength Test of Polymer Grout Materials in Tunnel. Transp. Sci. Technol. 2020, 06, 93–96. [Google Scholar] [CrossRef]
- Li, M.J.; Du, M.R.; Wang, F.M.; Xue, B.H.; Zhang, C.; Fang, H.Y. Study on the mechanical properties of polyurethane (PU) grouting material of different geometric sizes under uniaxial compression. Constr. Build. Mater. 2020, 259, 119797. [Google Scholar] [CrossRef]
- Zheng, Y.; Wang, C.J.; Zhang, X.J.; Shi, M.S.; Wang, D.L.; Liu, H. Experimental Study on Shear Properties of Polyurethane Grouting Materials. Yellow River 2021, 43, 139–143. [Google Scholar] [CrossRef]
- Liao, X.D. Experimental Study on the Plugging Characteristics of Acrylate Grouting Material. Master’s Thesis, Beijing Jiaotong University, Beijing, China, 2019. [Google Scholar]
- Anagnostopoulos, C.A.; Hadjispyrou, S. Laboratory study of an epoxy resin grouted sand. Proc. Inst. Civ. Eng. Ground Improv. 2004, 8, 39–45. [Google Scholar] [CrossRef]
- Anagnostopoulos, C.A. Laboratory study of an injected granular soil with polymer grouts. Tunn. Undergr. Space Technol. 2005, 20, 525–533. [Google Scholar] [CrossRef]
- Anagnostopoulos, C.A.; Papaliangas, T.; Manolopoulou, S.; Dimopoulos, T. Physical and mechanical properties of chemically grouted sand. Tunn. Undergr. Space Technol. 2011, 26, 718–724. [Google Scholar] [CrossRef]
- Anagnostopoulos, C.A.; Papaliangas, T. Experimental Investigation of Epoxy Resin and Sand Mixes. J. Geotech. Geoenviron. 2012, 138, 7. [Google Scholar] [CrossRef]
- Anagnostopoulos, C.A.; Sapidis, G. Mechanical behaviour of epoxy resin-grouted sand under monotonic or cyclic loading. Geotech. Lett. 2017, 7, 298–303. [Google Scholar] [CrossRef]
- Anagnostopoulos, C.A.; Melina, D.; Dimitrios, K. Static and cyclic behaviour of epoxy resin and bentonite-grouted sands. Transp. Geotech. 2022, 33, 100725. [Google Scholar] [CrossRef]
- Liu, J.; Shi, B.; Gu, K.; Jiang, H.T.; Hilary, I.I. Effect of polyurethane on the stability of sand-clay mixtures. Bull. Eng. Geol. Environ. 2012, 71, 537–544. [Google Scholar] [CrossRef]
- Liu, J.; Bai, Y.X.; Li, D.; Wang, Q.Y.; Qian, W.; Wang, Y.; Debi, P.K.; Wei, J.H. An Experimental Study on the Shear Behaviors of Polymer-Sand Composite Materials after Immersion. Polymers 2018, 10, 924. [Google Scholar] [CrossRef]
- Liu, J.; Bai, Y.; Song, Z.; Lu, Y.; Qian, W.; Kanungo, D.P. Evaluation of strength properties of sand modified with organic polymers. Polymers 2018, 10, 287. [Google Scholar] [CrossRef]
- Liu, J.; Feng, Q.; Wang, Y.; Zhang, D.; Wei, J.; Kanungo, D.P. Experimental study on unconfined compressive strength of organic polymer reinforced sand. Int. J. Polym. Sci. 2018, 2018, 3503415. [Google Scholar] [CrossRef]
- Mohsen, S.A.; Alireza, J.J. Effect of Polymeric (Polyamide) Grout injection on improvement of compressive strength and elastic modulus of grouts sand. In Geotechnical Engineering for Disaster Mitigation and Rehabilitation and Highway Engineering; Proceedings of the 3rd and 5th International Conference; World Scientific Pub Co Inc.: Singapore, 2011; pp. 468–474. [Google Scholar] [CrossRef]
- Jin, Y.H.; Han, L.J.; Meng, Q.B.; Ma, D.; Han, G.S.; Gao, F.R.; Wang, S. Experimental Investigation of the Mechanical Behaviors of Grouted Sand with UF-OA Grouts. Processes 2018, 6, 37. [Google Scholar] [CrossRef]
- Zang, Y.X.; Gong, W.; Liu, B.L.; Chen, H.L. Effects of different segments in polyurethane on the performance of sand stabilization. J. Appl. Polym. Sci. 2019, 136, 47267. [Google Scholar] [CrossRef]
- Norbaya, S.; Mohamed, K.; Jais, I.B.M.; Abu, B.I.A. Strength Characteristics Of Polyurethane (PU) With Modified Sand. Appl. Mech. Mater. 2015, 773–774, 1508–1512. [Google Scholar] [CrossRef]
- Zhou, Z.L.; Du, X.M.; Wang, S.Y. Strength for modified polyurethane with modified sand. Geotech. Geol. Eng. 2018, 36, 1897–1906. [Google Scholar] [CrossRef]
- Wang, D.L.; Sui, W. Grout diffusion characteristics during chemical grouting in a deep water-bearing sand layer. Int. J. Min. Sci. Technol. 2012, 22, 589–593. [Google Scholar] [CrossRef]
- Pan, R.K.; Yang, P.; Wu, X.S.; Diao, P.C. Experimental study on diffusion pattern and regularity of grouting slurry in sand layer. J. For. Eng. 2018, 3, 136–142. [Google Scholar] [CrossRef]
- Guo, C.C.; Hu, D.P.; Wang, F.M. Diffusion Behavior of Polymer Grouting Materials in Sand and Gravel. Soil Mech. Found. Eng. 2021, 57, 440–444. [Google Scholar] [CrossRef]
- Gao, Y. Experimental Investigations on the Mechanisms of Chemical Grouting in Transparent Soil. Ph.D. Thesis, China University of Mining and Technology, Beijing, China, 2016. [Google Scholar]
- GB/T 50123; Geotechnical Test Method Standards. National Standards of the People’s Republic of China: Beijing, China, 2019.
- GB/T 51320; Technical Standards for the Application of Chemical Grouting Materials in Construction Projects. National Standards of the People’s Republic of China: Beijing, China, 2019.
- ASTM D4320-09; Standard Test. Standard Practice for Laboratory Preparation of Chemically Grouted Soil Specimens for Obtaining Design Strength Parameters. Annual Book of ASTM Standards: Montgomery County, MD, USA, 2005.
- ASTM D4219-08; Standard Test. Standard Test Method for Unconfined Compressive Strength Index of Chemical-Grouted Soils. Annual Book of ASTM Standards: Montgomery County, MD, USA, 2005.
- GB/T 7671; Cementitious Strength Method. National Standards of the People’s Republic of China: Beijing, China, 2021.
- Zhang, L.Z. Study on Penetration and Reinforcement Mechanism of Grouting in Sand Layer Disclosed by Subway Tunnel and its Application. Ph.D. Thesis, Shandong University, Jinan, China, 2017. [Google Scholar]
















| Materials | Density/(g/cm3) | Viscosity/mPa·s | Gel/Setting Time/s | Foaming Rate |
|---|---|---|---|---|
| WPU | 1.04 | 360 | 22 | 560 |
| OPU | 1.17 | 584 | 530 | 1789 |
| ACRYLATE | Component A: 0.95 | Component A: 23 | 38 | - |
| Component B: 0.91 | Component B: 22 | |||
| EP | Component A: 1.06 | Component A: 335 | 1800 | - |
| Component B: 1.03 | Component B: 560 |
| Test Number | Sand Quality (A) | Grouting Pressure (B) | Sand Compactness (C) |
|---|---|---|---|
| 1 | (1) Coarse sand | (1) 1.0 MPa | (1) Loose |
| 2 | (1) Coarse sand | (2) 1.5 MPa | (2) Moderate |
| 3 | (1) Coarse sand | (3) 2.0 MPa | (3) Tight |
| 4 | (2) Medium sand | (1) 1.0 MPa | (2) Moderate |
| 5 | (2) Medium sand | (2) 1.5 MPa | (3) Tight |
| 6 | (2) Medium sand | (3) 2.0 MPa | (1) Loose |
| 7 | (3) Fine sand | (1) 1.0 MPa | (3) Tight |
| 8 | (3) Fine sand | (2) 1.5 MPa | (1) Loose |
| 9 | (3) Fine sand | (3) 2.0 MPa | (2) Moderate |
| Instruments | Properties |
|---|---|
| Acrylic round sand container | Internal diameter 570 mm, height 600 mm |
| Gas tank | Volume 4 L |
| Slurry tank | Volume 4 L |
| NI acquisition systems | 50 data acquisitions in 1 s |
| High-frequency pressure sensor | Measurement range 0–4 MPa |
| Rammer | Impact pressure 0.5 MPa |
| Air compressors | Measurement range 0–2 MPa |
| Natural Density/(g/cm3) | Moisture Content (%) | Porosity Ratio | Permeability Coefficient/(cm/s) | |
|---|---|---|---|---|
| Coarse sand | 1.61 | 17.5 | 0.97 | 2.05 × 10−3 |
| Medium sand | 1.72 | 20.3 | 0.89 | 4.80 × 10−4 |
| Fine sand | 1.74 | 22.4 | 0.81 | 3.20 × 10−4 |
| Level | Sand Quality (A) | Grouting Pressure (B) | Sand Compactness (C) | |
|---|---|---|---|---|
| Final Pressure of Slurry Injection | m1j | m2j | m3j | |
| 1 | 275.19 | 297.86 | 200.67 | |
| 2 | 305.79 | 299.13 | 300.24 | |
| 3 | 317.56 | 301.54 | 397.63 | |
| Dij | 42.37 | 3.67 | 196.96 | |
| Factor Ranking | C > A > B | |||
| Analysis of Variance F-Value | 16.41 | 0.12 | 332.69 | |
| Level of Impact | Significant | General | Very significant | |
| Test Number | Quality/g | Volume/cm3 | Permeability Coefficient/cm/s |
|---|---|---|---|
| 1 | 1491.8 | 740 | 5.02 × 10−5 |
| 2 | 2816.0 | 1430 | 5.28 × 10−5 |
| 3 | 1891.4 | 920 | - |
| 4 | 1154.2 | 540 | - |
| 5 | 1313.1 | 670 | - |
| 6 | 4942.8 | 2300 | 4.50 × 10−5 |
| 7 | 800.2 | 380 | - |
| 8 | 2748.1 | 1420 | 4.76 × 10−5 |
| 9 | 3592.1 | 1830 | 4.84 × 10−5 |
| Level | Sand Quality (A) | Grouting Pressure (B) | Sand Compactness (C) | |
|---|---|---|---|---|
| Chemical Grouted Sands Quality | m1j | m2j | m3j | |
| 1 | 2066.40 | 1148.73 | 3060.90 | |
| 2 | 2470.03 | 2292.40 | 2520.77 | |
| 3 | 2380.13 | 3475.43 | 1334.90 | |
| Dij | 403.63 | 2326.70 | 1726 | |
| Factor Ranking | B > C > A | |||
| Analysis of Variance F-Value | 0.19 | 5.76 | 3.32 | |
Publisher’s Note: MDPI stays neutral with regard to jurisdictional claims in published maps and institutional affiliations. |
© 2022 by the authors. Licensee MDPI, Basel, Switzerland. This article is an open access article distributed under the terms and conditions of the Creative Commons Attribution (CC BY) license (https://creativecommons.org/licenses/by/4.0/).
Share and Cite
Li, Z.; Zhu, Z.; Zhao, Y.; Zeng, C.; Zhang, P. Experimental Investigation on the Diffusion Law of Polymer Slurry Grouted in Sand. Polymers 2022, 14, 3635. https://doi.org/10.3390/polym14173635
Li Z, Zhu Z, Zhao Y, Zeng C, Zhang P. Experimental Investigation on the Diffusion Law of Polymer Slurry Grouted in Sand. Polymers. 2022; 14(17):3635. https://doi.org/10.3390/polym14173635
Chicago/Turabian StyleLi, Zhenhua, Zihao Zhu, Yahong Zhao, Cong Zeng, and Peng Zhang. 2022. "Experimental Investigation on the Diffusion Law of Polymer Slurry Grouted in Sand" Polymers 14, no. 17: 3635. https://doi.org/10.3390/polym14173635
APA StyleLi, Z., Zhu, Z., Zhao, Y., Zeng, C., & Zhang, P. (2022). Experimental Investigation on the Diffusion Law of Polymer Slurry Grouted in Sand. Polymers, 14(17), 3635. https://doi.org/10.3390/polym14173635

