A Fast and Easy Probe Based on CMC/Eu (Ⅲ) Nanocomposites to Detect Acrylamide in Different Food Simulants Migrating from Food-Contacting Paper Materials
Abstract
:1. Introduction
2. Materials and Methods
2.1. Materials
2.2. Methods
2.2.1. Characterization
2.2.2. Preparation of CMC/Eu (Ⅲ) Composite
2.2.3. Preparation of Food Simulants Contacting with Different Food-Contacting Paper Materials
2.2.4. Detection of Acrylamide in Aqueous Solution by CMC/Eu (Ⅲ) Probe
2.2.5. Determination of Standard Curves in Different Mediums
2.2.6. Detection of Migrating Acrylamide in the Food Simulants
3. Results and Discussion
3.1. Detection of Acrylamide by CMC/Eu (Ⅲ) Fluorescent Probe
3.1.1. The Stability of CMC/Eu (Ⅲ) Suspension
3.1.2. The Response Time of CMC/Eu (Ⅲ) Fluorescent Probes to Acrylamide
3.1.3. Selectivity of CMC/Eu (Ⅲ) Fluorescent Probe for Detection of Acrylamide
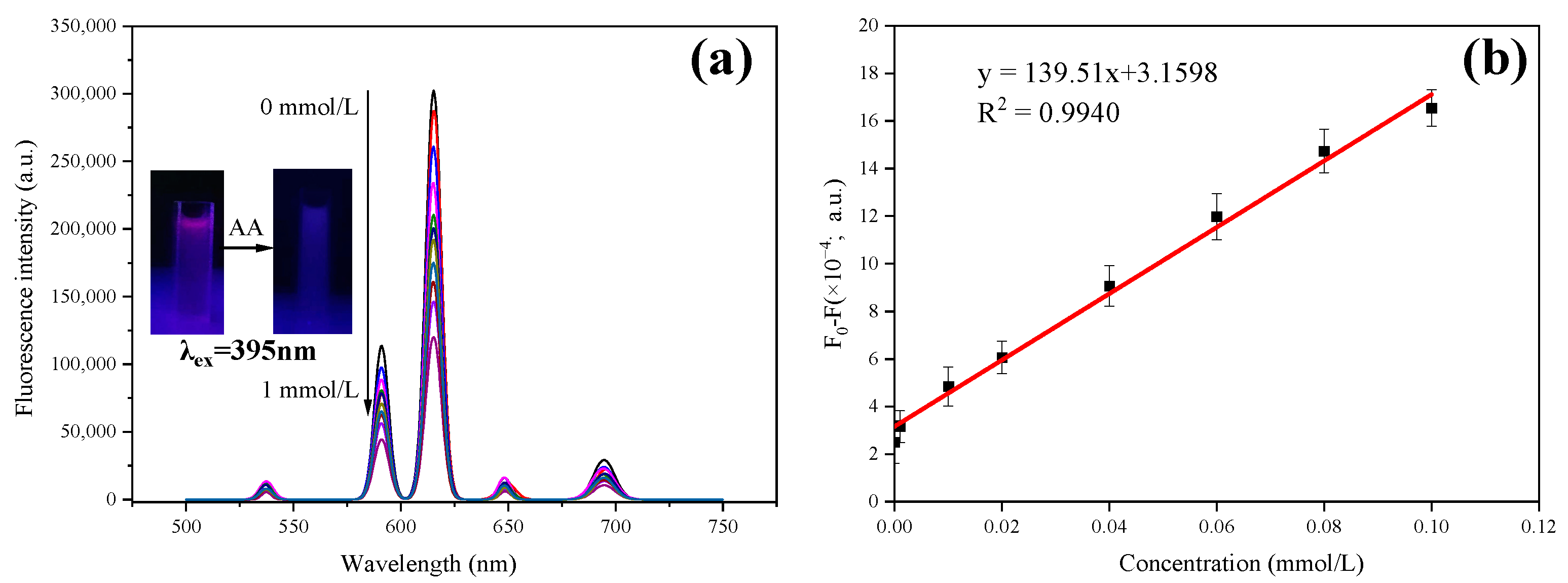
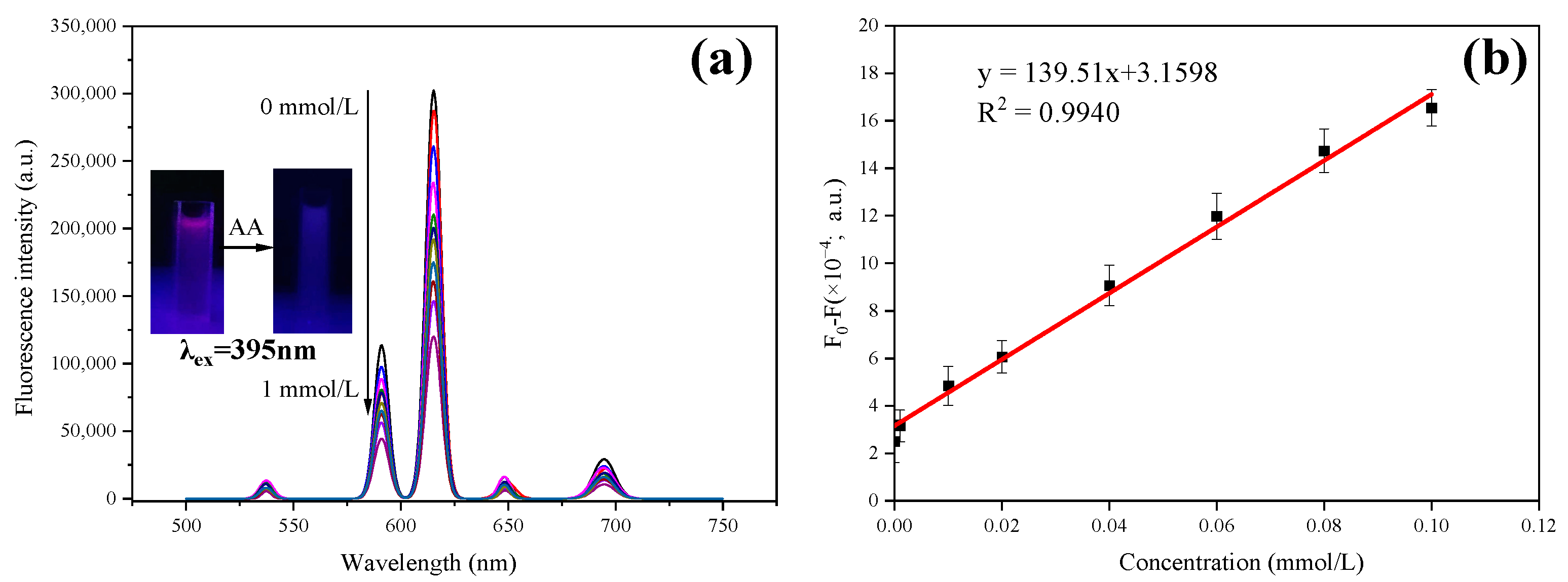
3.1.4. Effect of Acrylamide Concentrations on the Fluorescence Emission of CMC/Eu (Ⅲ) Fluorescent Probe
3.2. Detection of Acrylamide in Different Food Simulants by CMC/Eu (Ⅲ) Fluorescent Probe
3.2.1. Acrylamide Concentrations on Fluorescence Intensity of CMC/Eu (Ⅲ) Fluorescent Probe in Different Food Simulants
3.2.2. Linear Relationships and LOD
3.2.3. Measurement of the Migrating Acrylamide from Food-Contacting Paper Materials into Food Simulants
3.3. Possible Mechanism of CMC/EU(Ⅲ) Fluorescent Probe for Acrylamide Detection
4. Conclusions
Author Contributions
Funding
Institutional Review Board Statement
Informed Consent Statement
Data Availability Statement
Acknowledgments
Conflicts of Interest
References
- Raghuwanshi, V.S.; Garusinghe, U.M.; Raj, P.; Kirby, N.; Hoell, A.; Batchelor, W.; Garnier, G. Cationic Polyacrylamide Induced Nanoparticles Assembly in a Cellulose Nanofiber Network. J. Colloid Interface Sci. 2018, 529, 180–186. [Google Scholar] [CrossRef] [PubMed]
- Lapointe, M.; Barbeau, B. Substituting Polyacrylamide with an Activated Starch Polymer during Ballasted Flocculation. J. Water Process Eng. 2019, 28, 129–134. [Google Scholar] [CrossRef]
- Feng, X.; Wan, J.; Deng, J.; Qin, W.; Zhao, N.; Luo, X.; He, M.; Chen, X. Preparation of Acrylamide and Carboxymethyl Cellulose Graft Copolymers and the Effect of Molecular Weight on the Flocculation Properties in Simulated Dyeing Wastewater under Different PH Conditions. Int. J. Biol. Macromol. 2020, 155, 1142–1156. [Google Scholar] [CrossRef]
- He, M.; Cho, B.-U.; Won, J.M. Effect of Precipitated Calcium Carbonate—Cellulose Nanofibrils Composite Filler on Paper Properties. Carbohydr. Polym. 2016, 136, 820–825. [Google Scholar] [CrossRef] [PubMed]
- Xu, Y.; Cui, B.; Ran, R.; Liu, Y.; Chen, H.; Kai, G.; Shi, J. Risk Assessment, Formation, and Mitigation of Dietary Acrylamide: Current Status and Future Prospects. Food Chem. Toxicol. 2014, 69, 1–12. [Google Scholar] [CrossRef]
- Zha, L.; Liu, R.; Sobue, T.; Kitamura, T.; Ishihara, J.; Kotemori, A.; Ikeda, S.; Sawada, N.; Iwasaki, M.; Tsugane, S.; et al. Dietary Acrylamide Intake and the Risk of Hematological Malignancies: The Japan Public Health Center-Based Prospective Study. Nutrients 2021, 13, 590. [Google Scholar] [CrossRef]
- Erkekoglu, P.; Baydar, T. Acrylamide Neurotoxicity. Nutr. Neurosci. 2014, 17, 49–57. [Google Scholar] [CrossRef]
- Dobrovolsky, V.N.; Pacheco-Martinez, M.M.; McDaniel, L.P.; Pearce, M.G.; Ding, W. In Vivo Genotoxicity Assessment of Acrylamide and Glycidyl Methacrylate. Food Chem. Toxicol. 2016, 87, 120–127. [Google Scholar] [CrossRef]
- Pelucchi, C.; Galeone, C.; Levi, F.; Negri, E.; Franceschi, S.; Talamini, R.; Bosetti, C.; Giacosa, A.; La Vecchia, C. Dietary Acrylamide and Human Cancer. Int. J. Cancer 2006, 118, 467–471. [Google Scholar] [CrossRef]
- WHO. Guidelines for Drinking-Water Quality; World Health Organization: Genève, Switzerland, 2004; Volume 1, ISBN 92-4-154638-7. [Google Scholar]
- Tepe, Y. Acrylamide in Surface and Drinking Water. In Acrylamide Food Analysis. Content Potential Health Effects; Elsevier: Amsterdam, The Netherlands, 2015; pp. 275–293. [Google Scholar]
- Andačić, I.M.; Tot, A.; Ivešić, M.; Krivohlavek, A.; Thirumdas, R.; Barba, F.J.; Sabolović, M.B.; Kljusurić, J.G.; Brnčić, S.R. Exposure of the Croatian Adult Population to Acrylamide through Bread and Bakery Products. Food Chem. 2020, 322, 126771. [Google Scholar] [CrossRef]
- Tsochatzis, E.D.; Lopes, J.A.; Gika, H.; Dalsgaard, T.K.; Theodoridis, G. A Fast SALLE GC–MS/MS Multi-Analyte Method for the Determination of 75 Food Packaging Substances in Food Simulants. Food Chem. 2021, 361, 129998. [Google Scholar] [CrossRef] [PubMed]
- Bortolomeazzi, R.; Munari, M.; Anese, M.; Verardo, G. Rapid Mixed Mode Solid Phase Extraction Method for the Determination of Acrylamide in Roasted Coffee by HPLC–MS/MS. Food Chem. 2012, 135, 2687–2693. [Google Scholar] [CrossRef] [PubMed]
- Zhang, C.; Xian, Y.; Guo, X.; Liu, H.; Dong, H.; Xun, Z.; Huang, J.; Feng, X. Isotope Internal Standard Method for Determination of Four Acrylamide Compounds in Food Contact Paper Products and Food Simulants by Ultra-High Performance Liquid Chromatography Tandem Mass Spectrometry. Food Anal. Methods 2016, 9, 1895–1903. [Google Scholar] [CrossRef]
- Saraji, M.; Javadian, S. Single-Drop Microextraction Combined with Gas Chromatography-Electron Capture Detection for the Determination of Acrylamide in Food Samples. Food Chem. 2019, 274, 55–60. [Google Scholar] [CrossRef]
- Elahi, M.; Kamankesh, M.; Mohammadi, A.; Jazaeri, S. Acrylamide in Cookie Samples: Analysis Using an Efficient Co-Derivatization Coupled with Sensitive Microextraction Method Followed by Gas Chromatography-Mass Spectrometry. Food Anal. Methods 2019, 12, 1439–1447. [Google Scholar] [CrossRef]
- Xun, Z.; Huang, J.; Li, X.-Y.; Lin, S.; He, S.; Guo, X.; Xian, Y. Simultaneous Determination of Seven Acrylates in Food Contact Paper Products by GC/MS and Modified QuEChERS. Anal. Methods 2016, 8, 3953–3958. [Google Scholar] [CrossRef]
- Asnaashari, M.; Esmaeilzadeh Kenari, R.; Farahmandfar, R.; Taghdisi, S.M.; Abnous, K. Fluorescence Quenching Biosensor for Acrylamide Detection in Food Products Based on Double-Stranded DNA and Gold Nanoparticles. Sens. Actuators B Chem. 2018, 265, 339–345. [Google Scholar] [CrossRef]
- GB 31604.18-2016; National Foods Safety Standard Determination of Acrylamide Migration in Food Contact Materials and Articles. National Health and Family Planning Commission of the PRC; China Quality and Standards Publishing & Media CO., Ltd.: Beijing, China, 2016.
- Zhao, D.; Zhang, Y.; Ji, S.; Lu, Y.; Bai, X.; Yin, M.; Huang, C.; Jia, N. Molecularly Imprinted Photoelectrochemical Sensing Based on ZnO/Polypyrrole Nanocomposites for Acrylamide Detection. Biosens. Bioelectron. 2021, 173, 112816. [Google Scholar] [CrossRef]
- Asnaashari, M.; Kenari, R.E.; Farahmandfar, R.; Abnous, K.; Taghdisi, S.M. An Electrochemical Biosensor Based on Hemoglobin-Oligonucleotides-Modified Electrode for Detection of Acrylamide in Potato Fries. Food Chem. 2019, 271, 54–61. [Google Scholar] [CrossRef]
- Wongthanyakram, J.; Kheamphet, P.; Masawat, P. Fluorescence Determination of Acrylamide in Snack, Seasoning, and Refreshment Food Samples with an IOS Gadget–Based Digital Imaging Colorimeter. Food Anal. Methods 2020, 13, 2290–2300. [Google Scholar] [CrossRef]
- Ye, J.; Wang, B.; Xiong, J.; Sun, R. Enhanced Fluorescence and Structural Characteristics of Carboxymethyl Cellulose/Eu(III) Nano-Complex: Influence of Reaction Time. Carbohydr. Polym. 2016, 135, 57–63. [Google Scholar] [CrossRef] [PubMed]
- Ye, J.; Liu, H.; Xiong, J. Preparation and Properties of Fluorescent Cellulosic Paper via Surface Coating of Anionic Cellulose Ethers/Rare Earth Metal Ions Composites. Ind. Eng. Chem. Res. 2019, 58, 2370–2378. [Google Scholar] [CrossRef]
- GB 31604.1-2015; National Foods Safety Standard General Rules for Migration Test of Food Contact Materials and Articles. National Health and Family Planning Commission of the PRC; China Quality and Standards Publishing & Media CO., Ltd.: Beijing, China, 2015.
- GB 5009.156-2016; National Foods Safety Standard General Rules for Pretreatment of Migration Test of Food Contact Materials and Articles. National Health and Family Planning Commission of the PRC; China Quality and Standards Publishing & Media CO., Ltd.: Beijing, China, 2016.
- Ye, J.; Zhang, M.; Xiong, J. Fluorescence Probe Based Carboxymethyl Cellulose/Tb(III) Nanocomposites for Detection of Mn2+ with Simpleness, Rapidness and High Sensitivity. Carbohydr. Polym. 2018, 190, 156–161. [Google Scholar] [CrossRef]
- Qi, Z.; You, Q.; Chen, Y. Nucleotide/Tb3+ Coordination Polymer Nanoparticles as Luminescent Sensor and Scavenger for Nitrite Ion. Anal. Chim. Acta 2016, 902, 168–173. [Google Scholar] [CrossRef] [PubMed]
- Dang, S.; Ma, E.; Sun, Z.-M.; Zhang, H. A Layer-Structured Eu-MOF as a Highly Selective Fluorescent Probe for Fe3+ Detection through a Cation -Exchange Approach. J. Mater. Chem. 2012, 22, 16920–16926. [Google Scholar] [CrossRef]
- GB 2760-2014; National Food Safety Standard for Uses of Food Additives. National Health and Family Planning Commission of the PRC; China Quality and Standards Publishing & Media CO., Ltd.: Beijing, China, 2014.
- Borràs, S.; Companyó, R.; Guiteras, J. Analysis of Sulfonamides in Animal Feeds by Liquid Chromatography with Fluorescence Detection. J. Agric. Food Chem. 2011, 59, 5240–5247. [Google Scholar] [CrossRef]
- Long, G.L.; Winefordner, J.D. Limit of Detection. A Closer Look at the IUPAC Definition. Anal. Chem. 1983, 55, 712A–724A. [Google Scholar]
- Garabagiu, S.; Mihailescu, G. Simple Hemoglobin–Gold Nanoparticles Modified Electrode for the Amperometric Detection of Acrylamide. J. Electroanal. Chem. 2011, 659, 196–200. [Google Scholar] [CrossRef]
- Quan, Y.; Chen, M.; Zhan, Y.; Zhang, G. Development of an Enhanced Chemiluminescence ELISA for the Rapid Detection of Acrylamide in Food Products. J. Agric. Food Chem. 2011, 59, 6895–6899. [Google Scholar] [CrossRef]
- Hu, Q.; Xu, X.; Li, Z.; Zhang, Y.; Wang, J.; Fu, Y.; Li, Y. Detection of Acrylamide in Potato Chips Using a Fluorescent Sensing Method Based on Acrylamide Polymerization-Induced Distance Increase between Quantum Dots. Biosens. Bioelectron. 2014, 54, 64–71. [Google Scholar] [CrossRef]
- Wei, Q.; Liu, T.; Pu, H.; Sun, D.-W. Determination of Acrylamide in Food Products Based on the Fluorescence Enhancement Induced by Distance Increase between Functionalized Carbon Quantum Dots. Talanta 2020, 218, 121152. [Google Scholar] [CrossRef]
- Stelzer. Contrast, Resolution, Pixelation, Dynamic Range and Signal-to-noise Ratio: Fundamental Limits to Resolution in Fluorescence Light Microscopy. J. Microsc. 1998, 189, 15–24. [Google Scholar] [CrossRef]
- Smith, L.; Kohli, M.; Smith, A.M. Expanding the Dynamic Range of Fluorescence Assays through Single-Molecule Counting and Intensity Calibration. J. Am. Chem. Soc. 2018, 140, 13904–13912. [Google Scholar] [CrossRef] [PubMed]
- Hu, Q.; Xu, X.; Li, Z.; Zhang, Y.; Wang, J.; Li, Y. Rapid Detection of Acrylamide in Food Using a Fluorescent Sensing Method Based on Functional CdSe/ZnS Quantum Dots. In Proceedings of the 2013 IEEE SENSORS, Baltimore, MD, USA, 3–6 November 2013; pp. 1–4. [Google Scholar]
- Lakowicz, J.R. Principles of Fluorescence Spectroscopy, 3rd ed.; Springer: New York, NY, USA, 2006; ISBN 978-0-387-31278-1. [Google Scholar]
- Tomin, V.I.; Oncul, S.; Smolarczyk, G.; Demchenko, A.P. Dynamic Quenching as a Simple Test for the Mechanism of Excited-State Reaction. Chem. Phys. 2007, 342, 126–134. [Google Scholar] [CrossRef]
- Stern, O.; Volmer, M. Über Die Abklingzeit Der Fluoreszenz. Phys. Z. 1919, 20, 183–188. [Google Scholar]
- Ronda, C.R. Luminescence: From Theory to Applications; John Wiley & Sons: Hoboken, NJ, USA, 2007; ISBN 3-527-31402-4. [Google Scholar]












| Probe Type | LOD (mM) | Reference |
|---|---|---|
| Hemoglobin–gold nanoparticles modified electrode | 0.07108 | [34] |
| A fluorescent sensing method based on acrylamide polymerization-induced distance increase between quantum dots | 0.03500 | [36] |
| Chemiluminescence ELISA | 0.01860 | [35] |
| Functionalized carbon quantum dots (QDs) fluorescent sensing | 0.01848 | [37] |
| Fluorescence determination with an iOS gadget–based digital imaging colorimeter | 0.53000 | [23] |
| Paper Container | Paper Cup | Paper Food Bag | Paper Wrap | |||||||||||||
|---|---|---|---|---|---|---|---|---|---|---|---|---|---|---|---|---|
| Spiked (μM) | Detected (μM) | Recovery (%) | RSD (n = 5, %) | Spiked (μM) | Detected (μM) | Recovery (%) | RSD (n = 5, %) | Spiked (μM) | Detected (μM) | Recovery (%) | RSD (n = 5, %) | Spiked (μM) | Detected (μM) | Recovery (%) | RSD (n = 5, %) | |
| S1 | 10 | 10.83 | 108.30 | 1.16 | 10 | 10.34 | 103.40 | 2.25 | 10 | 10.17 | 101.70 | 1.24 | 10 | 9.96 | 99.60 | 0.87 |
| 50 | 50.01 | 100.02 | 1.43 | 50 | 49.81 | 99.62 | 1.60 | 50 | 49.58 | 99.16 | 1.71 | 50 | 50.57 | 105.70 | 1.22 | |
| 100 | 99.85 | 99.85 | 1.95 | 100 | 100.19 | 100.19 | 1.37 | 100 | 100.21 | 100.21 | 1.58 | 100 | 100.34 | 100.34 | 1.31 | |
| S2 | 10 | 10.15 | 101.50 | 1.91 | 10 | 9.73 | 97.30 | 1.02 | 10 | 10.28 | 102.80 | 0.94 | 10 | 10.05 | 100.5 | 1.64 |
| 50 | 50.26 | 100.52 | 1.43 | 50 | 50.03 | 100.06 | 2.14 | 50 | 50.47 | 100.94 | 2.61 | 50 | 49.77 | 99.54 | 3.02 | |
| 100 | 101.31 | 101.31 | 0.98 | 100 | 100.07 | 100.07 | 1.73 | 100 | 99.97 | 99.97 | 1.59 | 100 | 100.68 | 100.68 | 1.39 | |
| S3 | 10 | 10.54 | 105.40 | 4.16 | 10 | 9.95 | 99.50 | 2.45 | 10 | 10.07 | 100.70 | 1.86 | 10 | 9.84 | 98.40 | 0.99 |
| 50 | 49.76 | 99.52 | 2.31 | 50 | 51.08 | 102.16 | 3.40 | 50 | 50.14 | 100.30 | 1.25 | 50 | 50.32 | 100.64 | 1.22 | |
| 100 | 97.42 | 97.42 | 1.63 | 100 | 99.72 | 99.72 | 3.15 | 100 | 100.13 | 100.13 | 0.92 | 100 | 98.25 | 98.25 | 0.93 | |
| S4 | 10 | 9.87 | 98.70 | 2.12 | 10 | 10.26 | 102.60 | 1.99 | 10 | 10.13 | 101.30 | 3.26 | 10 | 10.07 | 100.70 | 1.41 |
| 50 | 50.05 | 100.10 | 3.59 | 50 | 50.11 | 100.22 | 1.28 | 50 | 49.97 | 99.94 | 1.83 | 50 | 50.14 | 100.28 | 1.42 | |
| 100 | 101.18 | 101.18 | 1.80 | 100 | 100.25 | 100.25 | 1.52 | 100 | 99.92 | 99.92 | 1.75 | 100 | 98.25 | 98.25 | 1.15 | |
Publisher’s Note: MDPI stays neutral with regard to jurisdictional claims in published maps and institutional affiliations. |
© 2022 by the authors. Licensee MDPI, Basel, Switzerland. This article is an open access article distributed under the terms and conditions of the Creative Commons Attribution (CC BY) license (https://creativecommons.org/licenses/by/4.0/).
Share and Cite
Chen, J.; Ye, J.; Zhang, M.; Xiong, J. A Fast and Easy Probe Based on CMC/Eu (Ⅲ) Nanocomposites to Detect Acrylamide in Different Food Simulants Migrating from Food-Contacting Paper Materials. Polymers 2022, 14, 3578. https://doi.org/10.3390/polym14173578
Chen J, Ye J, Zhang M, Xiong J. A Fast and Easy Probe Based on CMC/Eu (Ⅲ) Nanocomposites to Detect Acrylamide in Different Food Simulants Migrating from Food-Contacting Paper Materials. Polymers. 2022; 14(17):3578. https://doi.org/10.3390/polym14173578
Chicago/Turabian StyleChen, Jiawen, Jun Ye, Mingming Zhang, and Jian Xiong. 2022. "A Fast and Easy Probe Based on CMC/Eu (Ⅲ) Nanocomposites to Detect Acrylamide in Different Food Simulants Migrating from Food-Contacting Paper Materials" Polymers 14, no. 17: 3578. https://doi.org/10.3390/polym14173578
APA StyleChen, J., Ye, J., Zhang, M., & Xiong, J. (2022). A Fast and Easy Probe Based on CMC/Eu (Ⅲ) Nanocomposites to Detect Acrylamide in Different Food Simulants Migrating from Food-Contacting Paper Materials. Polymers, 14(17), 3578. https://doi.org/10.3390/polym14173578

