Seismic Performance and Engineering Application Investigation of a New Alternative Retainer
Abstract
:1. Introduction
2. The Quasi-Static Test
2.1. Structure Design of New Retainer
2.2. Experiment Overview
2.3. Loading Protocols and Failure Criterion
3. Experiment Analysis
3.1. Analysis of Test Phenomenon
3.2. Analysis of Test Results
3.2.1. Bearing Capacity
3.2.2. Ductility
3.2.3. The Energy Consumption
4. Bridge Model Analysis
4.1. The Establishment of Finite Element Model
4.2. Approach Implementation with ANSYS
4.2.1. Sensitivity Analysis
4.2.2. Implementation of Sensitive Parameters
4.2.3. Loading Protocols
4.3. Analysis of Seismic Performance of Transverse Bridge
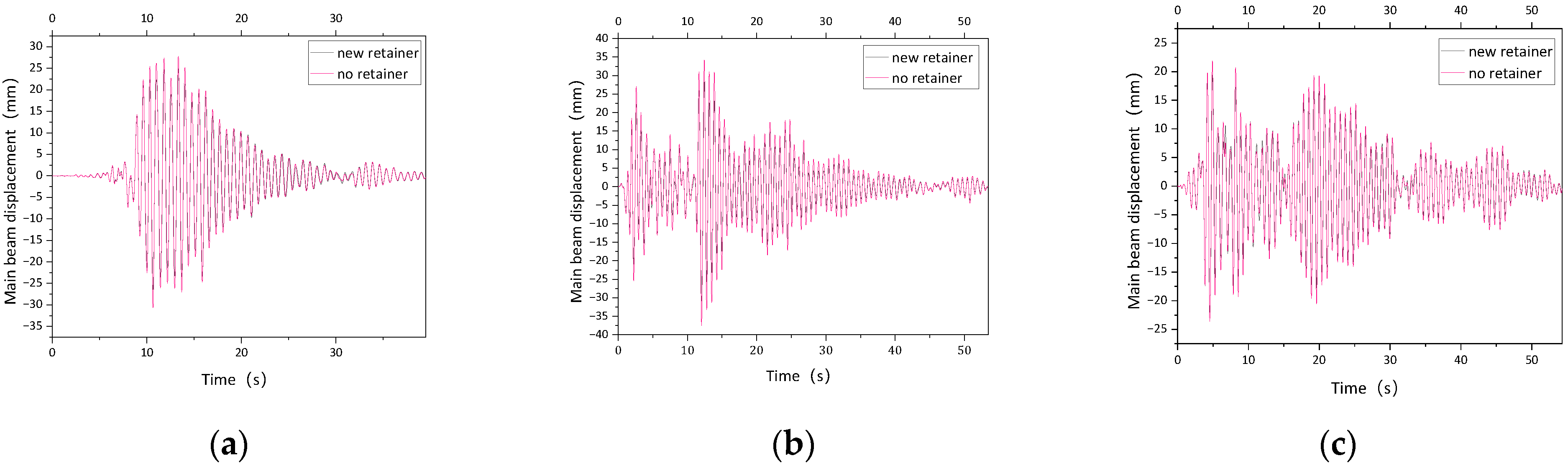
4.3.1. Displacement Response of the Girder
4.3.2. The Shear Response of the Pier Bottom
4.3.3. The Bending Moment Response of Pier Bottom
5. Conclusions
- (1)
- The failure mode of the new alternative retainer in the test is consistent with the design working mechanism. The two-stage graded energy dissipation of the alternative link compared to the one-time slant shear failure of the traditional concrete block, which prolongs the life cycle of the retainer, mitigates the damage of the bent cap, and is convenient to retrofit and reinforcement both retainer and bridge post-earthquake.
- (2)
- Transverse replacement of the main girder with the new alternative retainers is greatly reduced compared to without retainers. Although the seismic response of the pier inevitably increases, its increasing is gentle because the excellent energy consumption of the new retainer causes the minor inertia force to be transmitted to the substructure while maintaining the limiting displacement effect.
- (3)
- The key index affecting the seismic performance of the new alternative retainers is the thickness of the web of the alternative link, however, the influence of other design parameters, such as the thickness of the vertical plate and the number of alternative links, on the seismic performance of the new retainer will require further research.
Author Contributions
Funding
Institutional Review Board Statement
Informed Consent Statement
Conflicts of Interest
References
- Li, J.; Peng, T.; Xu, Y. Damage investigation of girder bridges under the Wenchuan earthquake and corresponding seismic design recommendations. Earthq. Eng. Eng. Vib. 2008, 7, 337–344. [Google Scholar] [CrossRef]
- Silva, P.F.; Megally, S.; Seible, F. Seismic performance of sacrificial exterior shear keys in bridge abutments. Earthq. Spectra 2009, 25, 643–664. [Google Scholar] [CrossRef]
- Kottari, A.; Shing, P.B.; Bromenschenkel, R. Shear Behavior of Exterior Non-Isolated Shear Keys in Bridge Abutments. ACI Struct. J. 2020, 117, 225–237. [Google Scholar]
- Xu, L.Q.; Li, J.Z. Experiment on Seismic Performance and Its Improvement of Reinfored Concrete Retainers. China J. Highw. Transp. 2014, 27, 41–48. [Google Scholar]
- Han, Q.; Hu, M.-H.; Wen, J.-N.; Du, X.-L. Seismic capacity evaluation of interior shear keys for highway bridges. J. Earthq. Eng. 2020, 24, 972–987. [Google Scholar] [CrossRef]
- Wang, K.H.; Hui, Y.X.; Wu, G. Study on seismic performance of seismic double-layer stopper. Earthq. Eng. Eng. Vib. 2014, 34 (Suppl. S1), 505–510. [Google Scholar]
- Guan, Z.G.; Zhang, J.H.; Li, J.Z. Multilevel Performance Classifications of Tall RC Bridge Colums Toward Post Earthquake Rehabilitation Requirements. J. Bridge Eng. 2017, 22, 04017080. [Google Scholar] [CrossRef]
- Li, J.Z.; Guan, Z.G. Research Progress on Bridge Seismic Design: Target from Seismic Alleviation to Post-earthquake Structural Resilience. China J. Highw. Transp. 2017, 30, 1–9+59. [Google Scholar]
- Li, J.; Xiang, N.; Tang, H.; Guan, Z. Shake-table tests and numerical simulation of an innovative isolation system for highway bridges. Soil Dyn. Earthq. Eng. 2016, 86, 55–70. [Google Scholar] [CrossRef]
- Xiang, N.L.; Li, J.Z. Effect of Different Types of Retainers on Transverse Seismic Performance of Small and mid-span Girder Bridges. Eng. Mech. 2016, 33, 188–195. [Google Scholar]
- Qing, H.G.; Li, P.; Wang, Y.; Wang, R. Seismic damage control of bridge bents with double columns based on structural fuses. J. Vib. Shock 2022, 41, 190–198+263. [Google Scholar]
- Wang, K.H.; Wei, H.; Li, X.; Li, Y. Philosophies on seismic design of highway bridges of small or medium spans. China Civ. Eng. J. 2012, 45, 115–121. [Google Scholar]
- Naser, M.Z.; Hawileh, R.A.; Abdalla, J.A. Fiber-reinforced polymer composites in strengthening reinforced concrete structures: A critical review. Eng. Struct. 2019, 198, 109542. [Google Scholar] [CrossRef]
- Billah, A.; Alam, M.S.; Bhuiyan, M.A.R. Fragility analysis of retrofitted multicolumn bridge bent subjected to near-fault and far-field ground motion. J. Bridge Eng. 2013, 18, 992–1004. [Google Scholar] [CrossRef]
- Algin, Z.; Ozen, M. The properties of chopped basalt fibre reinforced self-compacting concrete. Constr. Build. Mater. 2018, 186, 678–685. [Google Scholar] [CrossRef]
- Jony, B.; Mulani, S.B.; Roy, S. Interlaminar shear fracture healing of thermoset CFRP composite using multiphase thermoplastic healing agents. Compos. Struct. 2022, 279, 114807. [Google Scholar] [CrossRef]
- Guang-ming, C.H.; Yi-chen, L.U.; Pan, X.I.; Jin-guang, T.E.; Tao, Y.U.; Yu, X.I.; Tong, C.H.; Zhao-bing, L.I.; Fu-nan, H.U.; Wei-nan, L.I. Analysis and Design Methods For FRP-concrete-steel Double-skin Tubular Bridge Piers. China J. Highw. Transp. 2022, 35, 12–38. [Google Scholar]
- Dolati, S.S.K.; Mehrabi, A. FRP sheet/jacket system as an alternative method for splicing prestressed-precast concrete piles. Case Stud. Constr. Mater. 2022, 16, e00912. [Google Scholar]
- Wu, W.P.; Wang, X.P.; Zhang, H.Y. Research on seismic performance of the prestressed prefabricated concrete retaining blocks on bridge cap beams. Earthq. Eng. Eng. Vib. 2022, 42, 104–112. [Google Scholar]
- Yan, L.; An, K.; Yue, K.F.; Li, G.; Yi, X.C.; Jang, Y.; Fu, Y.N. Study on the seismic performance of replaceable limit device of transverse anti-falling beam for bridge. World Earthq. Eng. 2020, 36, 172–180. [Google Scholar]
- JGJ 101—2015; Specification of Test Methods for Earthquake Resistant Building. China Construction Industry Press: Beijing, China, 2015.
- Feng, P.; Qiang, H.L.; Ye, L.P. Discussion and definition on yield points of materials, members and structures. Eng. Mech. 2017, 34, 41–51. [Google Scholar]
- Figiel, Ł.; Kamiński, M. Numerical probabilistic approach to sensitivity analysis in a fatigue delamination problem of a two layer composite. Appl. Math. Comput. 2009, 209, 75–90. [Google Scholar] [CrossRef]

























| Specimen Number | The Alternative Link Height (mm) | Web Thickness (mm) | The Location of Alternative Link (mm) |
|---|---|---|---|
| 1 | 52(6 + 40 + 6) | 6 | 360 |
| 2 | 52(6 + 40 + 6) | 8 | 360 |
| 3 | 62(6 + 40 + 6) | 6 | 360 |
| 4 | 52(6 + 40 + 6) | 6 | 400 |
Publisher’s Note: MDPI stays neutral with regard to jurisdictional claims in published maps and institutional affiliations. |
© 2022 by the authors. Licensee MDPI, Basel, Switzerland. This article is an open access article distributed under the terms and conditions of the Creative Commons Attribution (CC BY) license (https://creativecommons.org/licenses/by/4.0/).
Share and Cite
Yan, L.; Li, G.; Gou, X.; Zhang, P.; Wang, X.; Jiang, Y. Seismic Performance and Engineering Application Investigation of a New Alternative Retainer. Polymers 2022, 14, 3506. https://doi.org/10.3390/polym14173506
Yan L, Li G, Gou X, Zhang P, Wang X, Jiang Y. Seismic Performance and Engineering Application Investigation of a New Alternative Retainer. Polymers. 2022; 14(17):3506. https://doi.org/10.3390/polym14173506
Chicago/Turabian StyleYan, Lei, Guo Li, Xiaoying Gou, Ping Zhang, Xinyong Wang, and Yu Jiang. 2022. "Seismic Performance and Engineering Application Investigation of a New Alternative Retainer" Polymers 14, no. 17: 3506. https://doi.org/10.3390/polym14173506
APA StyleYan, L., Li, G., Gou, X., Zhang, P., Wang, X., & Jiang, Y. (2022). Seismic Performance and Engineering Application Investigation of a New Alternative Retainer. Polymers, 14(17), 3506. https://doi.org/10.3390/polym14173506

