Thermo-Responsive Polyion Complex of Polysulfobetaine and a Cationic Surfactant in Water
Abstract
:1. Introduction
2. Materials and Methods
2.1. Material
2.2. Preparation of PSBP
2.3. Preparation of the PSBP/CTAB Complex
2.4. Measurements
3. Results
3.1. Preparation of PSPB
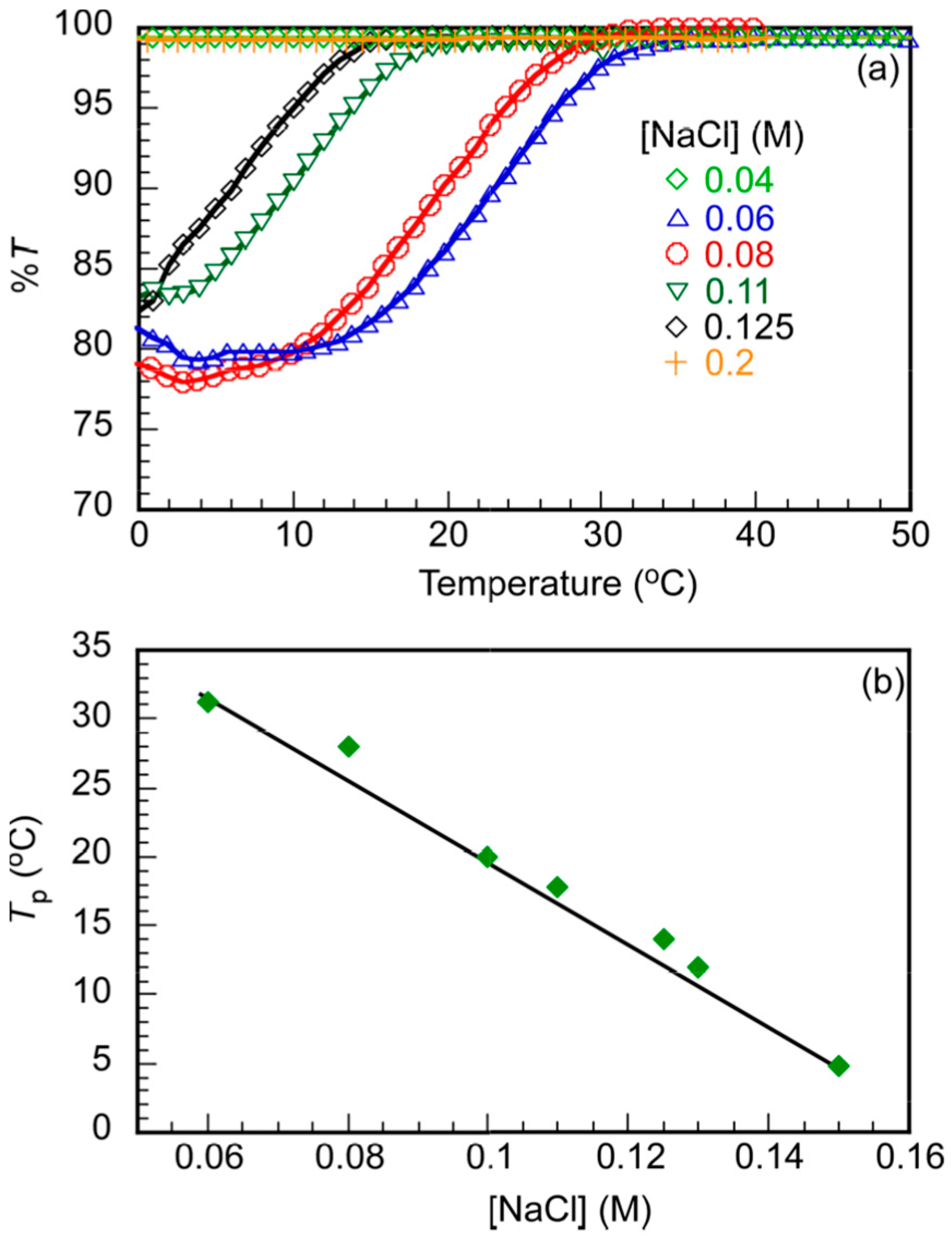
3.2. Preparation and Characterization of the Polymer/Surfactant Complex
4. Conclusions
Supplementary Materials
Author Contributions
Funding
Data Availability Statement
Conflicts of Interest
References
- Goddard, E.D.; Ananthapadmanabhan, K.P. Interactions of Surfactants with Polymers and Proteins; CRC Press: Boca Raton, FL, USA, 1993. [Google Scholar]
- Kwak, J.C.T. Polymer/Surfactant Systems; CRC Press: Boca Raton, FL, USA, 1998. [Google Scholar]
- Voets, I.K.; de Keizer, A.; Cohen Stuart, M.A. Complex coacervate core micelles. Adv. Colloid Interface Sci. 2009, 147, 300–318. [Google Scholar] [CrossRef] [PubMed]
- Tam, K.C.; Wyn-Jones, E. Insights on polymer surfactant complex structures during the binding of surfactants to polymers as measured by equilibrium and structural techniques. Chem. Soc. Rev. 2006, 35, 693–709. [Google Scholar] [CrossRef]
- Khan, N.; Brettmann, B. Intermolecular interactions in polyelectrolyte and surfactant complexes in solution. Polymers 2019, 11, 51. [Google Scholar] [CrossRef] [PubMed] [Green Version]
- Shulevich, Y.V.; Nguyen, T.H.; Tutaev, D.S.; Navrotskii, A.V.; Novakov, I.A. Purification of fat-containing wastewater using polyelectrolyte–surfactant complexes. Sep. Purif. Technol. 2013, 113, 18–23. [Google Scholar] [CrossRef]
- Lindman, B.; Antunes, F.; Aidarova, S.; Miguel, M.; Nylander, T. Polyelectrolyte-surfactant association—from fundamentals to applications. Colloid J. 2014, 76, 585–594. [Google Scholar] [CrossRef]
- Llamas, S.; Guzmán, E.; Ortega, F.; Baghdadli, N.; Cazeneuve, C.; Rubio, R.G.; Luengo, G.S. Adsorption of polyelectrolytes and polyelectrolytes-surfactant mixtures at surfaces: A physico-chemical approach to a cosmetic challenge. Adv. Colloid Interface Sci. 2015, 222, 461–487. [Google Scholar] [CrossRef] [PubMed]
- Penfold, J.; Thomas, R.K.; Bradbury, R.; Tucker, I.; Petkov, J.T.; Jones, C.W.; Webster, J.R.P. Probing the surface of aqueous surfactant-perfume mixed solutions during perfume evaporation. Colloids Surf. A Physicochem. Eng. Asp. 2017, 520, 178–183. [Google Scholar] [CrossRef]
- Goddard, E.D. Polymer/surfactant interaction—Its relevance to detergent systems. J. Am. Oil Chem. Soc. 1994, 71, 1–16. [Google Scholar] [CrossRef]
- Qi, S.; Roser, S.; Edler, K.J.; Pigliacelli, C.; Rogerson, M.; Weuts, I.; Van Dycke, F.; Stokbroekx, S. Insights into the role of polymer-surfactant complexes in drug solubilisation/stabilisation during drug release from solid dispersions. Pharm. Res. 2013, 30, 290–302. [Google Scholar] [CrossRef]
- Nakai, K.; Ishihara, K.; Yusa, S.-I. Complexes covered with phosphorylcholine groups prepared by mixing anionic diblock copolymers and cationic surfactants. Langmuir 2017, 33, 5236–5244. [Google Scholar] [CrossRef]
- Racovita, S.; Trofin, M.A.; Loghin, D.F.; Zaharia, M.M.; Bucatariu, F.; Mihai, M.; Vasiliu, S. Polybetaines in biomedical applications. Int. J. Mol. Sci. 2021, 22, 9321. [Google Scholar] [CrossRef]
- Laschewsky, A. Structures and synthesis of zwitterionic polymers. Polymers 2014, 6, 1544–1601. [Google Scholar] [CrossRef]
- Lowe, A.B.; Mccormick, C.L. Synthesis and solution properties of zwitterionic polymer. Chem. Rev. 2002, 102, 4177–4190. [Google Scholar] [CrossRef]
- Kudaibergenov, S.; Jaeger, W.; Laschewsky, A. Polymeric betaines: Synthesis, characterization, and application. Adv. Polym. Sci. 2006, 201, 157–224. [Google Scholar]
- Fevola, M.J.; Bridges, J.K.; Kellum, M.G.; Hester, R.D.; McCormick, C.L. pH-responsive polyzwitterions: A comparative study of acrylamide-based polyampholyte terpolymers and polybetaine copolymers. J. Appl. Polym. Sci. 2004, 94, 24–39. [Google Scholar] [CrossRef]
- Mi, L.; Bernards, M.T.; Cheng, G.; Yu, Q.; Jiang, S. pH responsive properties of non-fouling mixed-charge polymer brushes based on quaternary amine and carboxylic acid monomers. Biomaterials 2010, 31, 2919–2925. [Google Scholar] [CrossRef]
- Thomas, D.B.; Vasilieva, Y.A.; Armentrout, R.S.; Mccormick, C.L. Synthesis, characterization, and aqueous solution behavior of electrolyte-and pH-responsive carboxybetaine-containing cyclocopolymers. Macromolecules 2003, 36, 9710–9715. [Google Scholar] [CrossRef]
- Ding, F.; Yang, S.; Gao, Z.; Guo, J.; Zhang, P.; Qiu, X.; Li, Q.; Dong, M.; Hao, J.; Yu, Q.; et al. Antifouling and pH-responsive poly(carboxybetaine)-based nanoparticles for tumor cell targeting. Front. Chem. 2019, 7, 770. [Google Scholar] [CrossRef] [Green Version]
- Peng, H.; Ji, W.; Zhao, R.; Lu, Z.; Yang, J.; Li, Y.; Zhang, X. pH-sensitive zwitterionic polycarboxybetaine as a potential non-viral vector for small interfering RNA delivery. RSC Adv. 2020, 10, 45059–45066. [Google Scholar] [CrossRef]
- Kollár, J.; Popelka, A.; Tkac, J.; Žabka, M.; Mosnáček, J.; Kasak, P. Sulfobetaine-based polydisulfides with tunable upper critical solution temperature (UCST) in water alcohols mixture, depolymerization kinetics and surface wettability. J. Colloid Interface Sci. 2021, 588, 196–208. [Google Scholar] [CrossRef]
- Lewoczko, E.M.; Wang, N.; Lundberg, C.E.; Kelly, M.T.; Kent, E.W.; Wu, T.; Chen, M.L.; Wang, J.H.; Zhao, B. Effects of N-substituents on the solution behavior of poly(sulfobetaine methacrylate)s in water: Upper and lower critical solution temperature transitions. ACS Appl. Polym. Mater. 2021, 3, 867–878. [Google Scholar] [CrossRef]
- Hildebrand, V.; Laschewsky, A.; Päch, M.; Müller-Buschbaum, P.; Papadakis, C.M. Effect of the zwitterion structure on the thermo-responsive behaviour of poly(sulfobetaine methacrylates). Polym. Chem. 2016, 8, 310–322. [Google Scholar] [CrossRef] [Green Version]
- Salamone, J.C.; Volksen, W.; Olson, A.P.; Israel, S.C. Aqueous solution properties of a poly(vinyl imidazolium sulphobetaine). Polymer 1978, 19, 1157–1162. [Google Scholar] [CrossRef]
- Schulz, D.N.; Peiffer, D.G.; Agarwal, P.K.; Larabee, J.; Kaladas, J.J.; Soni, L.; Handwerker, B.; Garner, R.T. Phase behaviour and solution properties of sulphobetaine polymers. Polymer 1986, 27, 1734–1742. [Google Scholar] [CrossRef]
- Monroy Soto, V.M.; Galin, J.C. Poly(sulphopropylbetaines): 2. Dilute solution properties. Polymer 1984, 25, 254–262. [Google Scholar] [CrossRef]
- Chen, S.H.; Chang, Y.; Lee, K.R.; Wei, T.C.; Higuchi, A.; Ho, F.M.; Tsou, C.C.; Ho, H.T.; Lai, J.Y. Hemocompatible control of sulfobetaine-grafted polypropylene fibrous membranes in human whole blood via plasma-induced surface zwitterionization. Langmuir 2012, 28, 17733–17742. [Google Scholar] [CrossRef]
- Ishihara, K. Bioinspired phospholipid polymer biomaterials for making high performance artificial organs. Sci. Technol. Adv. Mater. 2000, 1, 131–138. [Google Scholar] [CrossRef] [Green Version]
- Lewis, A.L. Phosphorylcholine-based polymers and their use in the prevention of biofouling. Colloids Surf. B 2000, 18, 261–275. [Google Scholar] [CrossRef]
- Lim, J.; Matsuoka, H.; Saruwatari, Y. Effects of halide anions on the solution behavior of double hydrophilic carboxy-sulfobetaine block copolymers. Langmuir 2020, 36, 5165–5175. [Google Scholar] [CrossRef]
- Kim, D.; Matsuoka, H.; Saruwatari, Y. Formation of Sulfobetaine-containing entirely ionic PIC (polyion complex) micelles and their temperature responsivity. Langmuir 2020, 36, 10130–10137. [Google Scholar] [CrossRef]
- Kim, D.; Matsuoka, H.; Saruwatari, Y. Complex Formation in the sulfobetaine-containing entirely ionic block copolymer/ionic homopolymer system and their temperature responsivity. Langmuir 2021, 37, 14733–14743. [Google Scholar] [CrossRef]
- Lim, J.; Matsuoka, H.; Yusa, S.I.; Saruwatari, Y. Temperature-responsive behavior of double hydrophilic carboxy-sulfobetaine block copolymers and their self-assemblies in water. Langmuir 2019, 35, 1571–1582. [Google Scholar] [CrossRef]
- Kim, D.; Matsuoka, H.; Saruwatari, Y. Synthesis and stimuli responsivity of diblock copolymers composed of sulfobetaine and ionic blocks: Influence of the block ratio. Langmuir 2018, 35, 1590–1597. [Google Scholar] [CrossRef]
- Lim, J.; Matsuoka, H.; Saruwatari, Y. Effects of pH on the stimuli-responsive characteristics of double betaine hydrophilic block copolymer PGLBT-b-PSPE. Langmuir 2020, 36, 1727–1736. [Google Scholar] [CrossRef]
- Hildebrand, V.; Laschewsky, A.; Wischerhoff, E. Modulating the solubility of zwitterionic poly((3-methacrylamidopropyl)ammonioalkane sulfonate)s in water and aqueous salt solutions via the spacer group separating the cationic and the anionic moieties. Polym. Chem. 2016, 7, 731–740. [Google Scholar] [CrossRef] [Green Version]
- Zhu, Y.; Noy, J.M.; Lowe, A.B.; Roth, P.J. The synthesis and aqueous solution properties of sulfobutylbetaine (co)polymers: Comparison of synthetic routes and tuneable upper critical solution temperatures. Polym. Chem. 2015, 6, 5705–5718. [Google Scholar] [CrossRef] [Green Version]
- Hildebrand, V.; Laschewsky, A.; Zehm, D. On the hydrophilicity of polyzwitterion poly(N,N-dimethyl-N-(3-(methacrylamido)propyl)ammoniopropane sulfonate) in water, deuterated water, and aqueous salt solutions. J. Bio. Sci. Polym. Ed. 2014, 25, 1602–1618. [Google Scholar] [CrossRef]
- Fundin, J.; Brown, W. Polymer/surfactant interactions. Sodium poly(styrenesulfonate) and CTAB complex formation. Light scattering measurements in dilute aqueous solution. Macromolecules 1994, 27, 5024–5031. [Google Scholar] [CrossRef]
- Chen, W.; Chen, H.; Hu, J.; Yang, W.; Wang, C. Synthesis and characterization of polyion complex micelles between poly(ethylene glycol)-grafted poly(aspartic acid) and cetyltrimethyl ammonium bromide. Colloids Surf. A Physicochem. Eng. Asp. 2006, 278, 60–66. [Google Scholar] [CrossRef]
- Lim, P.F.C.; Chee, L.Y.; Chen, S.B.; Chen, B.H. Study of interaction between cetyltrimethylammonium bromide and poly(acrylic acid) by rheological measurements. J. Phys. Chem. B 2003, 107, 6491–6496. [Google Scholar] [CrossRef]
- Li, Y.; Chen, X.; Zhang, M.; Luo, W.; Yang, J.; Zhu, F. Macromolecular aggregation of aqueous polyacrylic acid in the presence of surfactants revealed by resonance rayleigh scattering. Macromolecules 2008, 41, 4873–4880. [Google Scholar] [CrossRef]
- Chakraborty, T.; Chakraborty, I.; Ghosh, S. Sodium carboxymethylcellulose-CTAB interaction: A detailed thermodynamic study of polymer-Surfactant interaction with opposite charges. Langmuir 2006, 22, 9905–9913. [Google Scholar] [CrossRef] [PubMed]
- Guiying, L.; Lei, G.; Yanfeng, M.; Ting, Z. Self-assembly nanoparticles from thermo-sensitive polyion complex micelles for controlled drug release. Chem. Eng. J. 2011, 174, 199–205. [Google Scholar]
- Yun, L.; Cao, L.; Hui-Yuan, W.; Xian-Zheng, Z. Sythesis of thermo-and pH-sensitive polyion complex micelles for fluorescent imaging. Chem. Eur. J. 2012, 18, 2297–2304. [Google Scholar]
- Karimi, M.; Zangabad, P.S.; Ghasemi, A.; Amiri, M.; Bahrami, M.; Malekzad, H.; Asl, H.G.; Mahdieh, Z.; Bozorgomid, M.; Ghasemi, A.; et al. Temperature-responsive smart nanocarriers for delivery of therapeutic agents: Applications and recent advances. ACS Appl. Mater. Interfaces 2016, 8, 21107–21133. [Google Scholar] [CrossRef] [Green Version]
- Niskanen, J.; Vapaavuori, J.; Pellerin, C.; Winnik, F.M.; Tenhu, H. Polysulfobetaine-surfactant solutions and their use in stabilizing hydrophobic compounds in saline solution. Polymer 2017, 127, 77–87. [Google Scholar] [CrossRef]
- Kim, D.; Sakamoto, H.; Matsuoka, H.; Saruwatari, Y. Complex formation of sulfobetaine surfactant and ionic polymers and their stimuli responsivity. Langmuir 2020, 36, 12990–13000. [Google Scholar] [CrossRef]
- Mitsukami, Y.; Donovan, M.S.; Lowe, A.B.; McCormick, C.L. Water-soluble polymers. 81. Direct synthesis of hydrophilic styrenic-based homopolymers and block copolymers in aqueous solution via RAFT. Macromolecules 2001, 34, 2248–2256. [Google Scholar] [CrossRef]
- Li, Z.; Lei, X.; Xue, S.; Shu-Ming, K.; Na, L.; Zong-Quan, W. Nickel (II)-catalyzed living polymerization of diazoacetates toward polycarbene homopolymer and polythiophene-block-polycarbene copolymers. Nat. Commun. 2022, 13, 811. [Google Scholar]
- Xu, X.-H.; Li, Y.-X.; Zhou, L.; Liu, N.; Wu, Z.-Q. Precise fabrication of porous polymer frameworks using rigid polyisocyanides as building blocks: From structural regulation to efficient iodine capture. Chem. Sci. 2022, 13, 1111–1118. [Google Scholar]
- Na, L.; Li, Z.; Zong-Quan, W. Alkyne-Palladium (II)-Catalyzed Living Polymerization of Isocyanides: An Exploration of Diverse Structures and Functions. Acc. Chem. Res. 2021, 54, 3953–3967. [Google Scholar]
- Wu, L.; Jasinski, J.; Krishnan, S. Carboxybetaine, sulfobetaine, and cationic block copolymer coatings: A comparison of the surface properties and antibiofouling behavior. J. Appl. Polym. Sci. 2012, 124, 2154–2170. [Google Scholar] [CrossRef]
- Hansson, P.; Jönsson, B.; Ström, C.; Söderman, O. Determination of micellar aggregation numbers in dilute surfactant systems with the fluorescence quenching method. J. Phys. Chem. B 2000, 104, 3496–3506. [Google Scholar] [CrossRef]
- Li, W.; Zhang, M.; Zhang, J.; Han, Y. Self-assembly of cetyl trimethylammonium bromide in ethanol-water mixtures. Front. Chem. China 2006, 1, 438–442. [Google Scholar] [CrossRef]
- Ikemi, M.; Odagiri, N.; Tanaka, S.; Shinchara, I.; Chiba, A. Hydrophobic domain structure of water-soluble block copolymer. 2. Transition phenomena of block copolymer micelles. Macromolecules 1982, 15, 281–286. [Google Scholar] [CrossRef]
- Solomatin, S.V.; Bronich, T.K.; Eisenberg, A.; Kabanov, V.A.; Kabanov, A.V. Colloidal stability of aqueous dispersions of block ionomer complexes: Effects of temperature and salt. Langmuir 2004, 20, 2066–2068. [Google Scholar] [CrossRef]
- Park, J.S.; Akiyama, Y.; Yamasaki, Y.; Kataoka, K. Preparation and characterization of polyion complex micelles with a novel thermosensitive poly(2-isopropyl-2-oxazoline) shell via the complexation of oppositely charged block ionomers. Langmuir 2007, 23, 138–146. [Google Scholar] [CrossRef]
- Nakai, K.; Ishihara, K.; Yusa, S.I. Preparation of giant polyion complex vesicles (G-PICsomes) with polyphosphobetaine shells composed of oppositely charged diblock copolymers. Chem. Lett. 2017, 46, 824–827. [Google Scholar] [CrossRef] [Green Version]









| Sample | DP | Mn(theo) a | Mn(GPC) b | Mw/Mn |
|---|---|---|---|---|
| (theo) | × 10−4 (g/mol) | × 10−4 (g/mol) | ||
| PSPB47 | 47 | 1.40 | 1.51 | 1.09 |
Publisher’s Note: MDPI stays neutral with regard to jurisdictional claims in published maps and institutional affiliations. |
© 2022 by the authors. Licensee MDPI, Basel, Switzerland. This article is an open access article distributed under the terms and conditions of the Creative Commons Attribution (CC BY) license (https://creativecommons.org/licenses/by/4.0/).
Share and Cite
Pham, T.T.; Yusa, S.-i. Thermo-Responsive Polyion Complex of Polysulfobetaine and a Cationic Surfactant in Water. Polymers 2022, 14, 3171. https://doi.org/10.3390/polym14153171
Pham TT, Yusa S-i. Thermo-Responsive Polyion Complex of Polysulfobetaine and a Cationic Surfactant in Water. Polymers. 2022; 14(15):3171. https://doi.org/10.3390/polym14153171
Chicago/Turabian StylePham, Thu Thao, and Shin-ichi Yusa. 2022. "Thermo-Responsive Polyion Complex of Polysulfobetaine and a Cationic Surfactant in Water" Polymers 14, no. 15: 3171. https://doi.org/10.3390/polym14153171
APA StylePham, T. T., & Yusa, S.-i. (2022). Thermo-Responsive Polyion Complex of Polysulfobetaine and a Cationic Surfactant in Water. Polymers, 14(15), 3171. https://doi.org/10.3390/polym14153171

