Rheological and Mechanical Properties of Thermoplastic Crystallizable Polyimide-Based Nanocomposites Filled with Carbon Nanotubes: Computer Simulations and Experiments
Abstract
:1. Introduction
Object of Study
2. Experimental and Theoretical Methods
2.1. Experimental Techniques
2.2. Computer Simulations: Model and Methods
3. Results and Discussion
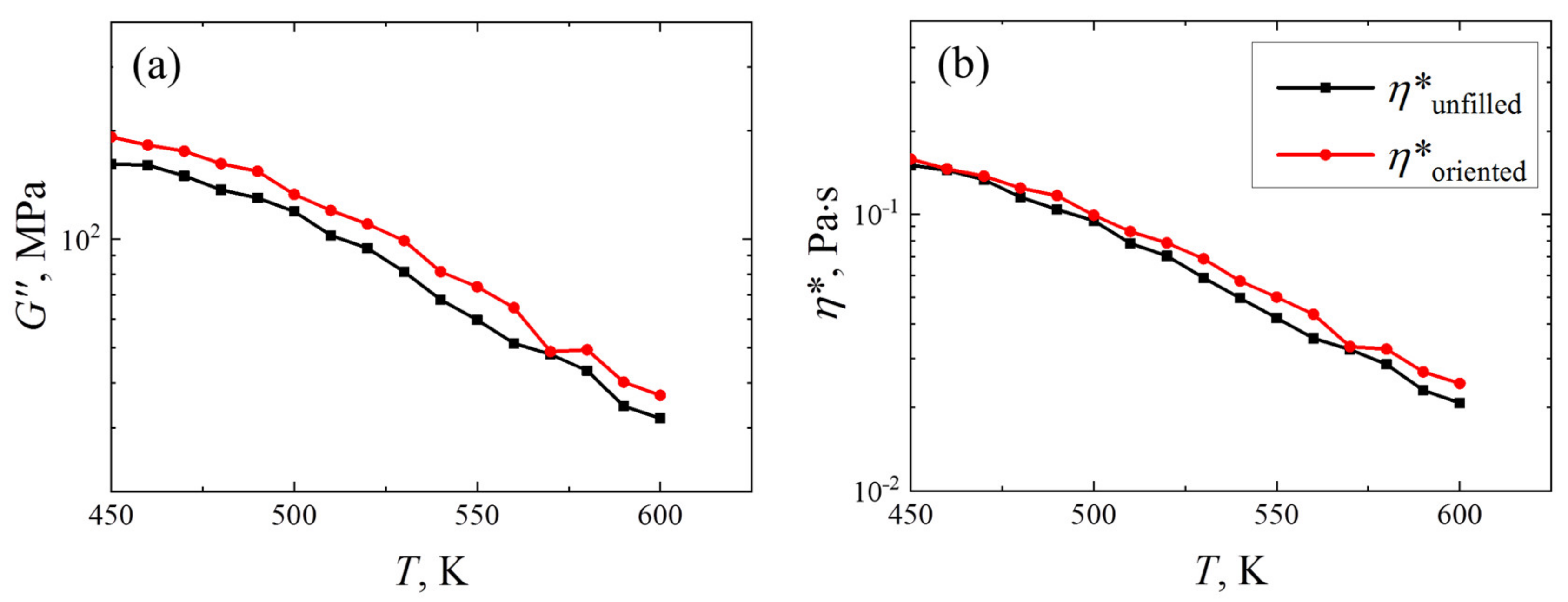
3.1. Rheological Properties
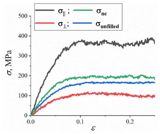
3.2. Mechanical Properties
4. Conclusions
Supplementary Materials
Author Contributions
Funding
Data Availability Statement
Acknowledgments
Conflicts of Interest
References
- Liu, J.; Zhang, L.; Cao, D.; Wang, W. Static, Rheological and Mechanical Properties of Polymer Nanocomposites Studied by Computer Modeling and Simulation. Phys. Chem. Chem. Phys. 2009, 11, 11365. [Google Scholar] [CrossRef] [PubMed]
- Mittal, V. Functional Polymer Nanocomposites with Graphene: A Review. Macromol. Mater. Eng. 2014, 299, 906–931. [Google Scholar] [CrossRef]
- Xie, X.L.; Mai, Y.W.; Zhou, X.P. Dispersion and Alignment of Carbon Nanotubes in Polymer Matrix: A Review. Mater. Sci. Eng. R Rep. 2005, 49, 89–112. [Google Scholar] [CrossRef]
- Rong, C.; Ma, G.; Zhang, S.; Song, L.; Chen, Z.; Wang, G.; Ajayan, P.M. Effect of Carbon Nanotubes on the Mechanical Properties and Crystallization Behavior of Poly(ether Ether Ketone). Compos. Sci. Technol. 2010, 70, 380–386. [Google Scholar] [CrossRef]
- Vallittu, P.K. High-Aspect Ratio Fillers: Fiber-Reinforced Composites and Their Anisotropic Properties. Dent. Mater. 2015, 31, 1–7. [Google Scholar] [CrossRef]
- Marcuello, C.; Foulon, L.; Chabbert, B.; Molinari, M.; Aguié-Béghin, V. Langmuir-Blodgett Procedure to Precisely Control the Coverage of Functionalized AFM Cantilevers for SMFS Measurements: Application with Cellulose Nanocrystals. Langmuir 2018, 34, 9376–9386. [Google Scholar] [CrossRef]
- Mena-álvarez, J.; Agustín-panadero, R.; Zubizarreta-macho, A. Effect of Fiber-reinforced Composite and Elastic Post on the Fracture Resistance of Premolars with Root Canal Treatment—An in Vitro Pilot Study. Appl. Sci. 2020, 10, 7616. [Google Scholar] [CrossRef]
- Berzin, F.; Lemkhanter, L.; Marcuello, C.; Chabbert, B.; Aguié-Béghin, V.; Molinari, M.; Castellani, R.; Vergnes, B. Influence of the Polarity of the Matrix on the Breakage Mechanisms of Lignocellulosic Fibers during Twin-screw Extrusion. Polym. Compos. 2020, 41, 1106–1117. [Google Scholar] [CrossRef]
- Kutvonen, A.; Rossi, G.; Puisto, S.R.; Rostedt, N.K.J.; Ala-Nissila, T. Influence of Nanoparticle Size, Loading, and Shape on the Mechanical Properties of Polymer Nanocomposites. J. Chem. Phys. 2012, 137, 214901. [Google Scholar] [CrossRef] [Green Version]
- Grady, B.P. Effects of Carbon Nanotubes on Polymer Physics. J. Polym. Sci. Part B Polym. Phys. 2012, 50, 591–623. [Google Scholar] [CrossRef]
- Bhattacharya, M. Polymer Nanocomposites—A Comparison between Carbon Nanotubes, Graphene, and Clay as Nanofillers. Materials 2016, 9, 262. [Google Scholar] [CrossRef] [PubMed]
- Xu, G.; Zhuang, Y.; Xia, R.; Cheng, J.; Zhang, Y. Carbon Nanotubes Induced Nonisothermal Crystallization of Ultrahigh Molecular Weight Polyethylene with Reduced Chain Entanglements. Mater. Lett. 2012, 89, 272–275. [Google Scholar] [CrossRef]
- Laird, E.D.; Li, C.Y. Structure and Morphology Control in Crystalline Polymer-Carbon Nanotube Nanocomposites. Macromolecules 2013, 46, 2877–2891. [Google Scholar] [CrossRef]
- Li, L.; Li, C.Y.; Ni, C. Polymer Crystallization-Driven, Periodic Patterning on Carbon Nanotubes. J. Am. Chem. Soc. 2006, 128, 1692–1699. [Google Scholar] [CrossRef] [PubMed]
- Yang, H.; Chen, Y.; Liu, Y.; Cai, W.S.; Li, Z.S. Molecular Dynamics Simulation of Polyethylene on Single Wall Carbon Nanotube. J. Chem. Phys. 2007, 127, 94902. [Google Scholar] [CrossRef] [PubMed]
- Rouhi, S.; Alizadeh, Y.; Ansari, R. On the Interfacial Characteristics of Polyethylene/single-Walled Carbon Nanotubes Using Molecular Dynamics Simulations. Appl. Surf. Sci. 2014, 292, 958–970. [Google Scholar] [CrossRef]
- Papageorgiou, G.Z.; Nerantzaki, M.; Grigoriadou, I.; Papageorgiou, D.G.; Chrissafis, K.; Bikiaris, D. Isotactic Polypropylene/multi-Walled Carbon Nanotube Nanocomposites: The Effect of Modification of MWCNTs on Mechanical Properties and Melt Crystallization. Macromol. Chem. Phys. 2013, 214, 2415–2431. [Google Scholar] [CrossRef]
- Probst, O.; Moore, E.M.; Resasco, D.E.; Grady, B.P. Nucleation of Polyvinyl Alcohol Crystallization by Single-Walled Carbon Nanotubes. Polymer 2004, 45, 4437–4443. [Google Scholar] [CrossRef]
- Zhang, D.; Yang, H.; Liu, Z.; Liu, A.; Li, Y. Interfacial Interaction between Polypropylene and Nanotube: A Molecular Dynamics Simulation. J. Mol. Struct. 2017, 1144, 260–264. [Google Scholar] [CrossRef]
- Minus, M.L.; Chae, H.G.; Kumar, S. Single Wall Carbon Nanotube Templated Oriented Crystallization of Poly(vinyl Alcohol). Polymer 2006, 47, 3705–3710. [Google Scholar] [CrossRef]
- Liang, Y.-Y.; Xu, J.-Z.; Liu, X.-Y.; Zhong, G.-J.; Li, Z.-M. Role of Surface Chemical Groups on Carbon Nanotubes in Nucleation for Polymer Crystallization: Interfacial Interaction and Steric Effect. Polymer 2013, 54, 6479–6488. [Google Scholar] [CrossRef]
- Eslami, H.; Behrouz, M. Molecular Dynamics Simulation of a Polyamide-66/Carbon Nanotube Nanocomposite. J. Phys. Chem. C 2014, 118, 9841–9851. [Google Scholar] [CrossRef]
- Díez-Pascual, A.M.; Naffakh, M.; Gómez, M.A.; Marco, C.; Ellis, G.; Martínez, M.T.; Ansón, A.; González-Domínguez, J.M.; Martínez-Rubi, Y.; Simard, B. Development and Characterization of PEEK/carbon Nanotube Composites. Carbon 2009, 47, 3079–3090. [Google Scholar] [CrossRef] [Green Version]
- Díez-Pascual, A.M.; Naffakh, M.; Marco, C.; Ellis, G.; Gómez-Fatou, M.A. High-Performance Nanocomposites Based on Polyetherketones. Prog. Mater. Sci. 2012, 57, 1106–1190. [Google Scholar] [CrossRef]
- Wang, B.; Zhang, K.; Zhou, C.; Ren, M.; Gu, Y.; Li, T. Engineering the Mechanical Properties of CNT/PEEK Nanocomposites. RSC Adv. 2019, 9, 12836–12845. [Google Scholar] [CrossRef] [Green Version]
- Dias, Y.; Yerushalmi-Rozen, R. Entropic Effects in Carbon Nanotubes-Templated Crystallization of Poly(3-Alkyl Thiophenes, P3HT, P3OT). Polymer 2013, 54, 6399–6405. [Google Scholar] [CrossRef]
- Hegde, M.; Lafont, U.; Norder, B.; Picken, S.J.; Samulski, E.T.; Rubinstein, M.; Dingemans, T. SWCNT Induced Crystallization in an Amorphous All-Aromatic Poly(ether Imide). Macromolecules 2013, 46, 1492–1503. [Google Scholar] [CrossRef]
- Hegde, M.; Lafont, U.; Norder, B.; Samulski, E.T.; Rubinstein, M.; Dingemans, T.J. SWCNT Induced Crystallization in Amorphous and Semi-Crystalline Poly(etherimide)s: Morphology and Thermo-Mechanical Properties. Polymer 2014, 55, 3746–3757. [Google Scholar] [CrossRef]
- Kurose, T.; Yudin, V.E.; Otaigbe, J.U.; Svetlichnyi, V.M. Compatibilized Polyimide (R-BAPS)/BAPS-Modified Clay Nanocomposites with Improved Dispersion and Properties. Polymer 2007, 48, 7130–7138. [Google Scholar] [CrossRef]
- Yudin, V.E.; Svetlichnyi, V.M.; Shumakov, A.N.; Letenko, D.G.; Feldman, A.Y.; Marom, G. The Nucleating Effect of Carbon Nanotubes on Crystallinity in R-BAPB-Type Thermoplastic Polyimide. Macromol. Rapid Commun. 2005, 26, 885–888. [Google Scholar] [CrossRef]
- Lyulin, S.V.; Larin, S.V.; Nazarychev, V.M.; Fal’kovich, S.G.; Kenny, J.M. Multiscale Computer Simulation of Polymer Nanocomposites Based on Thermoplastics. Polym. Sci. Ser. C 2016, 58, 2–15. [Google Scholar] [CrossRef]
- Nazarychev, V.M.; Larin, S.V.; Kenny, J.M.; Lyulin, S.V. The Initial Stage of Thermoplastic Polyimide Crystallization: Computer Simulations and Experiments. Rev. Adv. Chem. 2021, 11, 85–99. [Google Scholar] [CrossRef]
- Ivan’kova, E.M.; Vaganov, G.V.; Popova, E.N.; Elokhovskiy, V.Y.; Kasatkin, I.A. Structure-Property Relationship of Polyetherimide Fibers Filled with Carbon Nanoparticles. ACS Omega 2020, 5, 10680–10686. [Google Scholar] [CrossRef]
- Ha, H.W.; Choudhury, A.; Kamal, T.; Kim, D.; Park, S. Effect of Chemical Modification of Graphene on Mechanical, Electrical, and Thermal Properties of Polyimide/graphene Nanocomposites. ACS Appl. Mater. Interfaces 2012, 4, 4623–4630. [Google Scholar] [CrossRef] [PubMed]
- Huang, T.; Xin, Y.; Li, T.; Nutt, S.; Su, C.; Chen, H.; Liu, P.; Lai, Z. Modified Graphene/Polyimide Nanocomposites: Reinforcing and Tribological Effects. ACS Appl. Mater. Interfaces 2013, 5, 4878–4891. [Google Scholar] [CrossRef] [PubMed]
- Jia, X.; Zhang, Q.; Zhao, M.-Q.; Xu, G.-H.; Huang, J.-Q.; Qian, W.; Lu, Y.; Wei, F. Dramatic Enhancements in Toughness of Polyimide Nanocomposite via Long-CNT-Induced Long-Range Creep. J. Mater. Chem. 2012, 22, 7050. [Google Scholar] [CrossRef]
- Smirnova, V.E.; Gofman, I.V.; Ivan’kova, E.M.; Didenko, A.L.; Krestinin, A.V.; Zvereva, G.I.; Svetlichnyi, V.M.; Yudin, V.E. Effect of Single-Walled Carbon Nanotubes and Carbon Nanofibers on the Structure and Mechanical Properties of Thermoplastic Polyimide Matrix Films. Polym. Sci. Ser. A 2013, 55, 268–278. [Google Scholar] [CrossRef]
- Ma, L.; Wang, Y.; Wang, Y.; Wang, C.; Zhuang, G. Polyimide Nanocomposites with Reduced Graphene Oxide for Enhanced Thermal Conductivity and Tensile Strength. Mater. Res. Express 2020, 6, 125346. [Google Scholar] [CrossRef]
- Larin, S.V.; Falkovich, S.G.; Nazarychev, V.M.; Gurtovenko, A.A.; Lyulin, A.V.; Lyulin, S.V. Molecular-Dynamics Simulation of Polyimide Matrix Pre-Crystallization near the Surface of a Single-Walled Carbon Nanotube. RSC Adv. 2014, 4, 830–844. [Google Scholar] [CrossRef]
- Larin, S.V.; Glova, A.D.; Serebryakov, E.B.; Nazarychev, V.M.; Kenny, J.M.; Lyulin, S.V. Influence of the Carbon Nanotube Surface Modification on the Microstructure of Thermoplastic Binders. RSC Adv. 2015, 5, 51621–51630. [Google Scholar] [CrossRef]
- Falkovich, S.G.; Nazarychev, V.M.; Larin, S.V.; Kenny, J.M.; Lyulin, S.V. Mechanical Properties of a Polymer at the Interface Structurally Ordered by Graphene. J. Phys. Chem. C 2016, 120, 6771–6777. [Google Scholar] [CrossRef]
- Nazarychev, V.; Larin, S.; Lyulin, A.; Dingemans, T.; Kenny, J.; Lyulin, S. Atomistic Molecular Dynamics Simulations of the Initial Crystallization Stage in an SWCNT-Polyetherimide Nanocomposite. Polymers 2017, 9, 548. [Google Scholar] [CrossRef] [PubMed] [Green Version]
- Larin, S.; Nazarychev, V.; Dobrovskiy, A.; Lyulin, A.; Lyulin, S. Structural Ordering in SWCNT-Polyimide Nanocomposites and Its Influence on Their Mechanical Properties. Polymers 2018, 10, 1245. [Google Scholar] [CrossRef] [PubMed] [Green Version]
- Koning, C.E.; Teuwen, L.; De Plaen, A.; Mercier, J.P. Enhancement of the Crystallinity of a Thermoplastic Polyimide. Polymer 1996, 37, 5619–5625. [Google Scholar] [CrossRef]
- Friler, J.B.; Cebe, P. Development of Crystallinity in NEW-TPI Polyimide. Polym. Eng. Sci. 1993, 33, 587–597. [Google Scholar] [CrossRef]
- Srinivas, S.; Caputo, F.E.; Graham, M.; Gardner, S.; Davis, R.M.; McGrath, J.E.; Wilkes, G.L. Semicrystalline Polyimides Based on Controlled Molecular Weight Phthalimide End-Capped 1,3-Bis(4-Aminophenoxy)benzene and 3,3‘,4,4‘-Biphenyltetracarboxylic Dianhydride: Synthesis, Crystallization, Melting, and Thermal Stability. Macromolecules 1997, 30, 1012–1022. [Google Scholar] [CrossRef]
- Yudin, V.E.; Svetlichnyi, V.M. Carbon Plastics Based on Thermoplastic Polyimide Binders Modified with Nanoparticles. Polym. Sci. Ser. C 2016, 58, 16–25. [Google Scholar] [CrossRef]
- Vaganov, G.; Didenko, A.; Ivan’kova, E.; Popova, E.; Yudin, V.; Elokhovskii, V.; Lasota, I. Development of New Polyimide Powder for Selective Laser Sintering. J. Mater. Res. 2019, 34, 2895–2902. [Google Scholar] [CrossRef]
- Vaganov, G.V.; Didenko, A.L.; Ivan’kova, E.M.; Popova, E.N.; Elokhovskii, V.Y.; Volkov, A.V.; Yudin, V.E. Preparation and Properties of a Thermoplastic Partially Crystalline Polyimide in the Oriented State. Russ. J. Appl. Chem. 2020, 93, 72–79. [Google Scholar] [CrossRef]
- Zeng, Y.; Liu, P.; Du, J.; Zhao, L.; Ajayan, P.M.; Cheng, H.-M. Increasing the Electrical Conductivity of Carbon Nanotube/polymer Composites by Using Weak Nanotube-polymer Interactions. Carbon 2010, 48, 3551–3558. [Google Scholar] [CrossRef]
- Ding, M. Isomeric Polyimides. Prog. Polym. Sci. 2007, 32, 623–668. [Google Scholar] [CrossRef]
- Criss, J.M.; Mintz, E.A. Polyimide Composites Based on Asymmetric Dianhydrides (a-ODPA vs. a-BPDA). In Proceedings of the 54th International SAMPE Symposium, Baltimore, MD, USA, 18–21 May 2009; pp. 1–5. [Google Scholar]
- Isayev, A.I.; Kumar, R.; Lewis, T.M. Ultrasound Assisted Twin Screw Extrusion of Polymer-nanocomposites Containing Carbon Nanotubes. Polymer 2009, 50, 250–260. [Google Scholar] [CrossRef]
- Knauert, S.T.; Douglas, J.F.; Starr, F.W. The Effect of Nanoparticle Shape on Polymer-Nanocomposite Rheology and Tensile Strength. J. Polym. Sci. Part B Polym. Phys. 2007, 45, 1882–1897. [Google Scholar] [CrossRef] [Green Version]
- Zhang, H.; Wang, W.; Chen, G.; Zhang, A.; Fang, X. Melt-Processable Semicrystalline Polyimides Based on 1,4-Bis(3,4-Dicarboxyphenoxy)benzene Dianhydride (HQDPA): Synthesis, Crystallization, and Melting Behavior. Polymers 2017, 9, 420. [Google Scholar] [CrossRef] [PubMed] [Green Version]
- Ratta, V.; Ayambem, A.; Young, R.; McGrath, J.; Wilkes, G. Thermal Stability, Crystallization Kinetics and Morphology of a New Semicrystalline Polyimide Based on 1,3-bis(4-Aminophenoxy) Benzene and 3,3′,4,4′-Biphenyltetracarboxylic Dianhydride. Polymer 2000, 41, 8121–8138. [Google Scholar] [CrossRef]
- Streit, J.K.; Bachilo, S.M.; Naumov, A.V.; Khripin, C.; Zheng, M.; Weisman, R.B. Measuring Single-Walled Carbon Nanotube Length Distributions from Diffusional Trajectories. ACS Nano 2012, 6, 8424–8431. [Google Scholar] [CrossRef]
- Wei, C.; Srivastava, D.; Cho, K. Structural Ordering in Nanotube Polymer Composites. Nano Lett. 2004, 4, 1949–1952. [Google Scholar] [CrossRef]
- Az’Hari, S.; Ghayeb, Y. Effect of Chirality, Length and Diameter of Carbon Nanotubes on the Adsorption of 20 Amino Acids: A Molecular Dynamics Simulation Study. Mol. Simul. 2014, 40, 392–398. [Google Scholar] [CrossRef]
- Yao, Z.; Zhu, C.-C.; Cheng, M.; Liu, J. Mechanical Properties of Carbon Nanotube by Molecular Dynamics Simulation. Comput. Mater. Sci. 2001, 22, 180–184. [Google Scholar] [CrossRef]
- Li, D.; Ding, L.; Liu, Z.; Li, Q.; Guo, K.; Cao, H. Simulation Analysis on Mechanical Property Characterization of Carbon Nanotubes Reinforced Epoxy Composites. C. Comput. Model. Eng. Sci. 2020, 125, 145–171. [Google Scholar] [CrossRef]
- Nazarychev, V.M.; Lyulin, A.V.; Larin, S.V.; Gofman, I.V.; Kenny, J.M.; Lyulin, S.V. Correlation between the High-Temperature Local Mobility of Heterocyclic Polyimides and Their Mechanical Properties. Macromolecules 2016, 49, 6700–6710. [Google Scholar] [CrossRef]
- Van Der Spoel, D.; Lindahl, E.; Hess, B.; Groenhof, G.; Mark, A.E.; Berendsen, H.J.C. GROMACS: Fast, Flexible, and Free. J. Comput. Chem. 2005, 26, 1701–1718. [Google Scholar] [CrossRef] [PubMed]
- Hess, B.; Kutzner, C.; van der Spoel, D.; Lindahl, E. GROMACS 4: Algorithms for Highly Efficient, Load-Balanced, and Scalable Molecular Simulation. J. Chem. Theory Comput. 2008, 4, 435–447. [Google Scholar] [CrossRef] [Green Version]
- Oostenbrink, C.; Villa, A.; Mark, A.E.; Van Gunsteren, W.F. A Biomolecular Force Field Based on the Free Enthalpy of Hydration and Solvation: The GROMOS Force-Field Parameter Sets 53A5 and 53A6. J. Comput. Chem. 2004, 25, 1656–1676. [Google Scholar] [CrossRef] [PubMed]
- Lyulin, S.V.; Larin, S.V.; Gurtovenko, A.A.; Nazarychev, V.M.; Falkovich, S.G.; Yudin, V.E.; Svetlichnyi, V.M.; Gofman, I.V.; Lyulin, A.V. Thermal Properties of Bulk Polyimides: Insights from Computer Modeling versus Experiment. Soft Matter 2014, 10, 1224–1232. [Google Scholar] [CrossRef] [PubMed]
- Zheng, L.X.; O’Connell, M.J.; Doorn, S.K.; Liao, X.Z.; Zhao, Y.H.; Akhadov, E.A.; Hoffbauer, M.A.; Roop, B.J.; Jia, Q.X.; Dye, R.C.; et al. Ultralong Single-Wall Carbon Nanotubes. Nat. Mater. 2004, 3, 673–676. [Google Scholar] [CrossRef] [PubMed]
- Hess, B. P-LINCS: A Parallel Linear Constraint Solver for Molecular Simulation. J. Chem. Theory Comput. 2008, 4, 116–122. [Google Scholar] [CrossRef] [PubMed]
- Humphrey, W.; Dalke, A.; Schulten, K. VMD: Visual Molecular Dynamics. J. Mol. Graph. 1996, 14, 33–38. [Google Scholar] [CrossRef]
- Nazarychev, V.M.; Larin, S.V.; Yakimansky, A.V.; Lukasheva, N.V.; Gurtovenko, A.A.; Gofman, I.V.; Yudin, V.E.; Svetlichnyi, V.M.; Kenny, J.M.; Lyulin, S.V. Parameterization of Electrostatic Interactions for Molecular Dynamics Simulations of Heterocyclic Polymers. J. Polym. Sci. Part B Polym. Phys. 2015, 53, 912–923. [Google Scholar] [CrossRef]
- Lyulin, S.V.; Larin, S.V.; Gurtovenko, A.A.; Lukasheva, N.V.; Yudin, V.E.; Svetlichnyi, V.M.; Lyulin, A.V. Effect of the SO2 Group in the Diamine Fragment of Polyimides on Their Structural, Thermophysical, and Mechanical Properties. Polym. Sci. Ser. A 2012, 54, 631–643. [Google Scholar] [CrossRef]
- Nazarychev, V.M.; Lyulin, A.V.; Larin, S.V.; Gurtovenko, A.A.; Kenny, J.M.; Lyulin, S.V. Molecular Dynamics Simulations of Uniaxial Deformation of Thermoplastic Polyimides. Soft Matter 2016, 12. [Google Scholar] [CrossRef] [PubMed] [Green Version]
- Lyulin, A.V.; Balabaev, N.K.; Michels, M.A.J. Molecular-Weight and Cooling-Rate Dependence of Simulated T G for Amorphous Polystyrene. Macromolecules 2003, 36, 8574–8575. [Google Scholar] [CrossRef]
- Paul, W.; Smith, G.D. Structure and Dynamics of Amorphous Polymers: Computer Simulations Compared to Experiment and Theory. Reports Prog. Phys. 2004, 67, 1117–1185. [Google Scholar] [CrossRef]
- Davris, T.; Lyulin, A.V.; Baljon, A.R.C.; Nazarychev, V.M.; Volgin, I.V.; Larin, S.V.; Lyulin, S.V. Linear Viscoelasticity of Polymers and Polymer Nanocomposites: Molecular-Dynamics Large Amplitude Oscillatory Shear and Probe Rheology Simulations. In The Scaling of Relaxation Processes; Kremer, F., Loidl, A., Eds.; Springer International Publishing AG: Cham, Switzerland, 2018; pp. 375–404. ISBN 9783319727066. [Google Scholar]
- Mermet-Guyennet, M.R.B.; Gianfelice de Castro, J.; Habibi, M.; Martzel, N.; Denn, M.M.; Bonn, D. LAOS: The Strain Softening/strain Hardening Paradox. J. Rheol. 2015, 59, 21–32. [Google Scholar] [CrossRef]
- Ewoldt, R.H.; Hosoi, A.E.; McKinley, G.H. New Measures for Characterizing Nonlinear Viscoelasticity in Large Amplitude Oscillatory Shear. J. Rheol. 2007, 52, 1427–1458. [Google Scholar] [CrossRef] [Green Version]
- Ward, I.M.; Sweeney, J. Mechanical Properties of Solid Polymers; John Wiley & Sons, Ltd.: Chichester, UK, 2012; ISBN 9781119967125. [Google Scholar]
- Anwar, M.; Turci, F.; Schilling, T. Crystallization mechanism in melts of short n-alkane chains. J. Chem. Phys. 2013, 139, 214904. [Google Scholar] [CrossRef] [Green Version]
- Anwar, M.; Berryman, J.T.; Schilling, T. Crystal nucleation mechanism in melts of short polymer chains under quiescent conditions and under shear flow. J. Chem. Phys. 2014, 141, 124910. [Google Scholar] [CrossRef] [Green Version]
- Anwar, M.; Schilling, T. Crystallization of polyethylene: A molecular dynamics simulation study of the nucleation and growth mechanisms. Polymer 2015, 76, 307–312. [Google Scholar] [CrossRef] [Green Version]
- Castillo, J.J.; Torres, M.H.; Molina, D.R.; Castillo-León, J.; Svendsen, W.E.; Escobar, P.; Martínez, O.F. Monitoring the Functionalization of Single-Walled Carbon Nanotubes with Chitosan and Folic Acid by Two-Dimensional Diffusion-Ordered NMR Spectroscopy. Carbon 2012, 50, 2691–2697. [Google Scholar] [CrossRef] [Green Version]
- Liaw, D.-J.; Wang, K.-L.; Huang, Y.-C.; Lee, K.-R.; Lai, J.-Y.; Ha, C.-S. Advanced Polyimide Materials: Syntheses, Physical Properties and Applications. Prog. Polym. Sci. 2012, 37, 907–974. [Google Scholar] [CrossRef]
- Hughes, M.; Hill, C.A.S.; Hague, J.R.B. The Fracture Toughness of Bast Fibre Reinforced Polyester Composites: Part 1 Evaluation and Analysis. J. Mater. Sci. 2002, 37, 4669–4676. [Google Scholar] [CrossRef]
- Marcuello, C.; Foulon, L.; Chabbert, B.; Aguié-Béghin, V.; Molinari, M. Atomic Force Microscopy Reveals How Relative Humidity Impacts the Young’s Modulus of Lignocellulosic Polymers and Their Adhesion with Cellulose Nanocrystals at the Nanoscale. Int. J. Biol. Macromol. 2020, 147, 1064–1075. [Google Scholar] [CrossRef] [PubMed]







| Sample | Strength σ, MPa | Deformation at Break ε, % | Young’s Modulus E, GPa |
|---|---|---|---|
| R-BAPB | 138 ± 11 | 104 ± 13 | 2.82 ± 0.07 |
| R-BAPB + 0.05% SWCNT | 163 ± 15 | 90 ± 13 | 3.01 ± 0.36 |
| R-BAPB + 0.1% SWCNT | 160 ± 11 | 88 ± 22 | 3.12 ± 0.36 |
| Direction of Applying Deformation | E, GPa | σy, MPa |
|---|---|---|
| Along the SWCNT | 2.1 ± 0.3 | 110 ± 10 |
| Perpendicularly to the SWCNT | 7.0 ± 0.2 | 380 ± 13 |
| Average values for R-BAPB sample ordered by SWCNT | 3.7 ± 0.2 | 200 ± 6 |
| Average values for unfilled amorphous sample [41] | 2.7 ± 0.3 | 169 ± 4 |
Publisher’s Note: MDPI stays neutral with regard to jurisdictional claims in published maps and institutional affiliations. |
© 2022 by the authors. Licensee MDPI, Basel, Switzerland. This article is an open access article distributed under the terms and conditions of the Creative Commons Attribution (CC BY) license (https://creativecommons.org/licenses/by/4.0/).
Share and Cite
Nazarychev, V.M.; Vaganov, G.V.; Larin, S.V.; Didenko, A.L.; Elokhovskiy, V.Y.; Svetlichnyi, V.M.; Yudin, V.E.; Lyulin, S.V. Rheological and Mechanical Properties of Thermoplastic Crystallizable Polyimide-Based Nanocomposites Filled with Carbon Nanotubes: Computer Simulations and Experiments. Polymers 2022, 14, 3154. https://doi.org/10.3390/polym14153154
Nazarychev VM, Vaganov GV, Larin SV, Didenko AL, Elokhovskiy VY, Svetlichnyi VM, Yudin VE, Lyulin SV. Rheological and Mechanical Properties of Thermoplastic Crystallizable Polyimide-Based Nanocomposites Filled with Carbon Nanotubes: Computer Simulations and Experiments. Polymers. 2022; 14(15):3154. https://doi.org/10.3390/polym14153154
Chicago/Turabian StyleNazarychev, Victor M., Gleb V. Vaganov, Sergey V. Larin, Andrey L. Didenko, Vladimir Yu. Elokhovskiy, Valentin M. Svetlichnyi, Vladimir E. Yudin, and Sergey V. Lyulin. 2022. "Rheological and Mechanical Properties of Thermoplastic Crystallizable Polyimide-Based Nanocomposites Filled with Carbon Nanotubes: Computer Simulations and Experiments" Polymers 14, no. 15: 3154. https://doi.org/10.3390/polym14153154
APA StyleNazarychev, V. M., Vaganov, G. V., Larin, S. V., Didenko, A. L., Elokhovskiy, V. Y., Svetlichnyi, V. M., Yudin, V. E., & Lyulin, S. V. (2022). Rheological and Mechanical Properties of Thermoplastic Crystallizable Polyimide-Based Nanocomposites Filled with Carbon Nanotubes: Computer Simulations and Experiments. Polymers, 14(15), 3154. https://doi.org/10.3390/polym14153154

