Triblock Copolymer Compatibilizers for Enhancing the Mechanical Properties of a Renewable Bio-Polymer
Abstract
:1. Introduction
2. Experimental
2.1. Materials
2.2. Preparation of Composites
2.3. Characterizations
3. Results and Discussion
3.1. Structural Characterization of PLA-Based Binary and Ternary Blends
3.2. Mechanical Properties of PLA-Based Binary and Ternary Blends
3.3. Fracture Morphology of PLA-Based Binary and Ternary Blends
3.4. Fatigue Mechanical Analysis
4. Conclusions
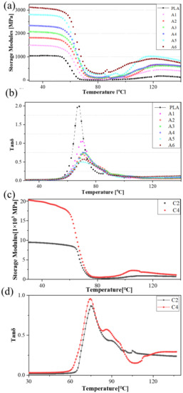
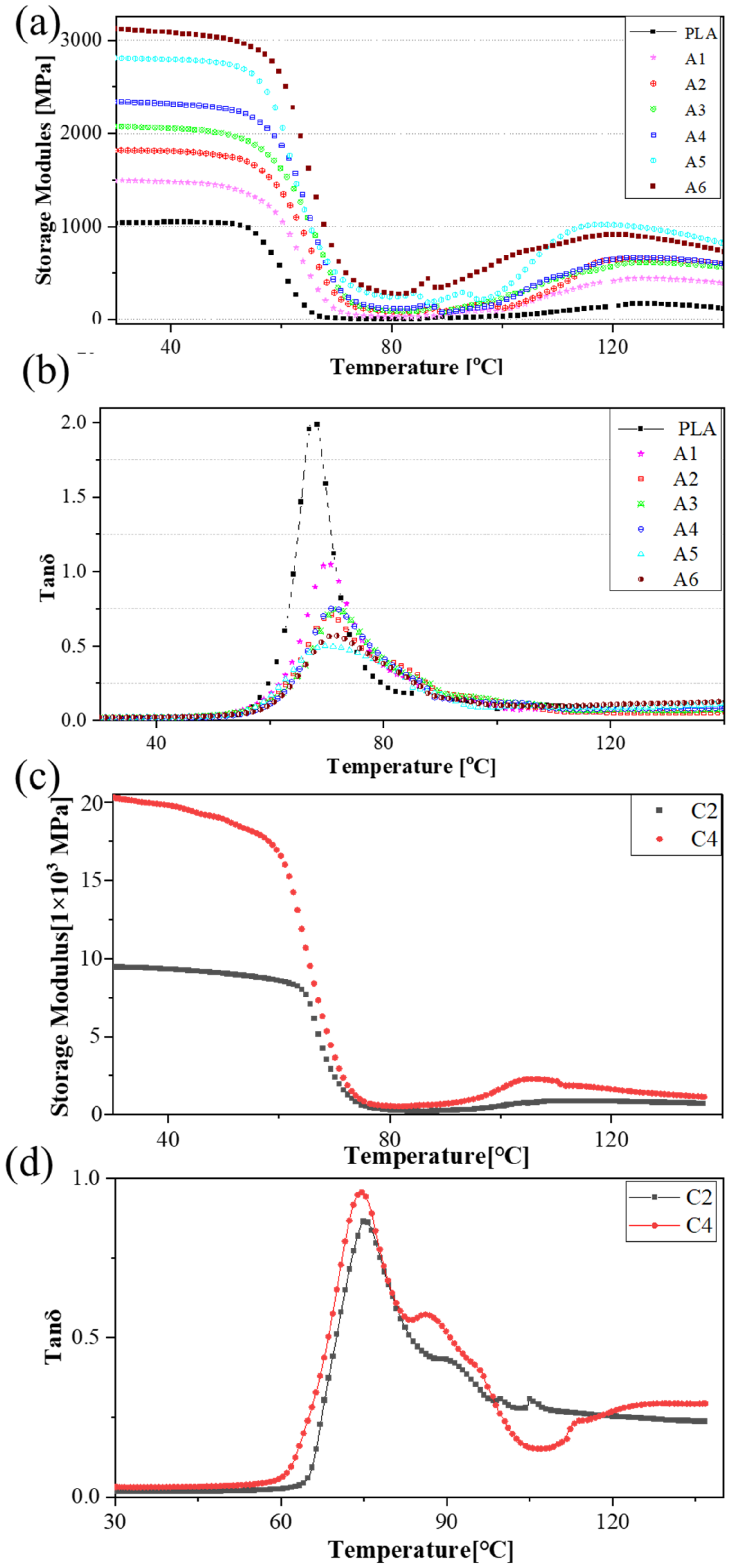
- The thermal behavior of the PLA-bio binary and ternary polymers was examined by DSC and DMA. DSC analyses and the increase in the crystallinity and storage modulus in the DMA tests indicated that the triblock copolymers played an auxiliary role in the crystallization, and furthermore improved the mechanical properties and stability of the relationship between the mass fraction and tensile properties of the polymers. These are important for the design and performance predictions in future work.
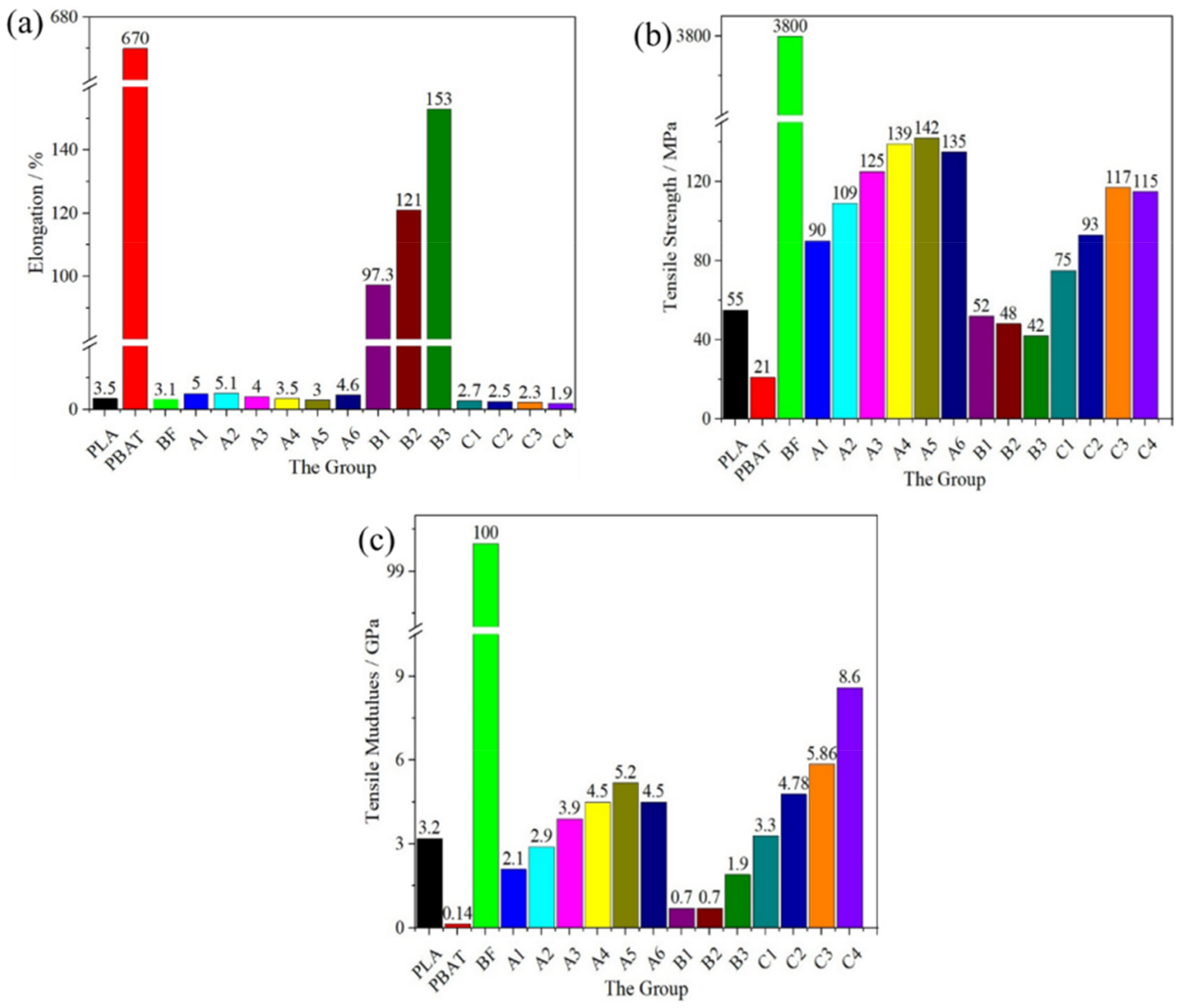
- The tensile tests indicated that the tensile strength of the polymers gradually increased in accordance with the content of BF, thus BF played an important role in enhancing the properties of PLA. The tension–tension fatigue tests indicated that the triblock copolymers could exhibit an improved fatigue life; the fatigue lives of B1 and B2 were much lower than that of group C. C4 exhibited synergistic mechanical properties with high extensibility based on the comprehensive analyses of the tensile tests, fatigue tests, and the failure mechanism.
- Substantial interfacial compatibility and excellent mixing homogeneity were observed between BF, PBAT, and PLA; the scheme of the polymerization and the failure mechanism of the polymers support these observations. This research deduced important connections between the morphology, crystallinity, and mechanical properties of PLA ternary polymers with triblock copolymers, which can be utilized to reinforce and toughen PLA and optimize its degradation.
- The results described herein established that the materials yielded by this novel processing method exhibited similar properties to those of the original polymers. Thus, one can use BF to increase the strength of PLA, and triblock copolymers can facilitate the tension–tension fatigue properties of the PLA/BF polymers. Excellent mechanical properties expand the toughness and strength of PLA, and thus its applications such as to biodegradable battery covers.
Author Contributions
Funding
Institutional Review Board Statement
Informed Consent Statement
Data Availability Statement
Conflicts of Interest
References
- Moustafa, H.; Youssef, A.M.; Darwish, N.A.; Abou-Kandil, A.I. Eco-friendly polymer composites for green packaging: Future vision and challenges. Compos. B Eng. 2019, 172, 16–25. [Google Scholar] [CrossRef]
- Zhao, Y.; Zhu, B.; Wang, Y.; Liu, C.; Shen, C. Effect of different sterilization methods on the properties of commercial biodegradable polyesters for single-use, disposable medical devices. Mater. Sci. Eng. C 2019, 105, 110041. [Google Scholar] [CrossRef] [PubMed]
- Hua, X.; Liu, X.; Cui, D. Degradation Behavior of Poly(lactide-co-carbonate)s Controlled by Chain Sequences. Macromolecules 2020, 53, 13. [Google Scholar] [CrossRef]
- Sun, Q.; Ding, Y.; Stoliarov, S.I.; Sun, J.; Fontaine, G.; Bourbigot, S. Development of a pyrolysis model for an intumescent flame retardant system: Poly (lactic acid) blended with melamine and ammonium polyphosphate. Compos. B Eng. 2020, 194, 108055. [Google Scholar] [CrossRef]
- Zhao, T.; Yuan, W.; Li, Y.; Weng, Y.; Zeng, J. Relating Chemical Structure to Toughness via Morphology Control in Fully Sustainable Sebacic Acid Cured Epoxidized Soybean Oil Toughened Polylactide Polymers. Macromolecules 2018, 51, 2027–2037. [Google Scholar] [CrossRef]
- Gheluwe, L.V.; Buchy, E.; Chourpa, I.; Munnier, E. Three-Step Synthesis of a Redox-Responsive Blend of PEG-block-PLA and PLA and Application to the Nanoencapsulation of Retinol. Polymers 2020, 12, 2350. [Google Scholar] [CrossRef]
- Khosravani, M.R.; Bozic, Z.; Zolfagharian, A.; Reinicke, T. Failure analysis of 3D-printed PLA components: Impact of manufacturing defects and thermal ageing. Eng. Fail. Anal. 2022, 136, 106214. [Google Scholar] [CrossRef]
- Pinto, V.C.; Ramos, T.; Alves, A.S.F.; Xavier, J.; Tavares, P.J.; Moreira, P.M.G.P.; Guedesa, R.M. Dispersion and failure analysis of PLA, PLA/GNP and PLA/CNT-COOH biodegradable nanocomposites by SEM and DIC inspection. Eng. Fail. Anal. 2017, 71, 63–71. [Google Scholar] [CrossRef]
- Fuseini, M.; Zaghloul, M.Y.M.; Elkady, M.F.; El-Shazly, A.H. Evaluation of synthesized polyaniline nanofibers as corrosion protection film coating on coppersubstrate by electrophoretic deposition. J. Mater. Sci. 2022, 57, 6085–6101. [Google Scholar] [CrossRef]
- Castellano, A.; Fraddosio, A.; Piccioni, M.D. Quantitative analysis of QSI and LVI damage in GFRP unidirectional composite laminates by a new ultrasonic approach. Compos. B Eng. 2018, 151, 106–117. [Google Scholar] [CrossRef]
- Alao, P.F.; Press, R.; Kallakas, H.; Ruponen, J.; Poltimae, T.; Kers, J. QiuInvestigation of Efficient Alkali Treatment and the Effect of Flame Retardant on the Mechanical and Fire Performance of Frost-Retted Hemp Fiber Reinforced PLA. Polymers 2022, 14, 2280. [Google Scholar] [CrossRef]
- Zaghloul, M.Y.M.; Zaghloul, M.M.Y.; Zaghloul, M.M.Y. Developments in polyester composite materials—An in-depth review on natural fibres and nano fillers. Compos. Struct. 2021, 278, 114698. [Google Scholar]
- Liang, L.; Huang, T.; Yu, S.; Cao, W.; Xu, T. Study on 3D printed graphene/carbon fiber multi-scale reinforced PLA composites. Mater. Lett. 2021, 300, 130173. [Google Scholar] [CrossRef]
- Azlin, M.N.M.; Sapuan, S.M.; Zuhri, M.Y.M.; Zainudin, E.S. Mechanical, Morphological and Thermal Properties of Woven Polyester Fiber Reinforced Polylactic Acid (PLA) Composites. Fiber. Polym. 2022, 23, 234–242. [Google Scholar] [CrossRef]
- Jang, K.S. Mechanics and rheology of basalt fiber-reinforced polycarbonate composites. Polymer 2018, 147, 133–141. [Google Scholar] [CrossRef]
- Zaghloul, M.M.Y.; Mohamed, Y.S.; El-Gamal, H. Fatigue and tensile behaviors of fiber-reinforced thermosetting composites embedded with nanoparticles. J. Compos. Mater. 2019, 53, 709–718. [Google Scholar] [CrossRef]
- Yeo, J.C.C.; Muiruri, J.K.; Koh, J.J.; Thitsartarn, W.; Zhang, X.; Kong, J.; Lin, T.T.; Li, Z.; He, C. Bend, Twist, and Turn: First Bendable and Malleable Toughened PLA Green Composites. Adv. Funct. Mater. 2020, 30, 2001565. [Google Scholar] [CrossRef]
- Zaghloul, M.M.Y. Mechanical properties of linear low-density polyethylene fire-retarded with melamine polyphosphate. J. Appl. Polym. Sci. 2018, 135, 46770. [Google Scholar] [CrossRef]
- Zaghloul, M.M.Y.; Zaghloul, M.M.Y. Influence of flame retardant magnesium hydroxide on the mechanical properties of high density polyethylene composites. J. Reinf. Plast. Comp. 2017, 36, 1802–1816. [Google Scholar] [CrossRef]
- Zaghloul, M.M.Y.; Zaghloul, M.Y.M.; Zaghloul, M.M.Y. Experimental and modeling analysis of mechanical-electrical behaviors of polypropylene composites filled with graphite and MWCNT fillers. Polym. Test. 2017, 63, 467–474. [Google Scholar] [CrossRef]
- Ding, Y.; Feng, W.; Lu, B.; Wang, P.; Wang, G.; Ji, J. PLA-PEG-PLA tri-block copolymers: Effective compatibilizers for promotion of the interfacial structure and mechanical properties of PLA/PBAT blends. Polymer 2018, 146, 179–187. [Google Scholar] [CrossRef]
- Moradi, S.; Yeganeh, J.K. Highly toughened poly(lactic acid) (PLA) prepared through melt blending with ethylene-co-vinyl acetate (EVA) copolymer and simultaneous addition of hydrophilic silica nanoparticles and block copolymer compatibilizer. Polym. Test. 2020, 91, 106735. [Google Scholar] [CrossRef]
- Olaiya, N.G.; Maraveas, C.; Salem, M.A.; Raja, S.; Rashedi, A.; Alzahrani, A.Y.; El-Bahy, Z.M.; Olaiya, F.G. Viscoelastic and Properties of Amphiphilic Chitin in Plasticised Polylactic Acid/Starch Biocomposite. Polymers 2022, 14, 2268. [Google Scholar] [CrossRef] [PubMed]
- Kim, D.Y.; Lee, J.B.; Lee, D.Y.; Seo, K.H. Plasticization Effect of Poly (Lactic Acid) in the Poly (Butylene Adipate-co-Terephthalate) Blown Film for Tear Resistance Improvement. Polymers 2020, 12, 1904. [Google Scholar] [CrossRef]
- Jeong, J.; Ayyoob, M.; Kim, J.H.; Nam, S.W.; Kim, Y.J. In situ formation of PLA-grafted alkoxysilanes for toughening a biodegradable PLA stereocomplex thin film. RSC. Adv. 2019, 9, 21748. [Google Scholar] [CrossRef] [Green Version]
- Li, D.; Zhao, X.; Jia, Y.; He, L.; Wang, X.; Wang, Y. Simultaneously enhance both the flame retardancy and toughness of polylactic acid by the cooperation of intumescent flame retardant and bio-based unsaturated polyester. Polym. Degrad. Stabil. 2019, 168, 108961. [Google Scholar] [CrossRef]
- Ding, Y.; Lu, B.; Wang, P.; Wang, G.; Ji, J. PLA-PBAT-PLA tri-block copolymers: Effective compatibilizers for promotion of the mechanical and rheological properties of PLA/PBAT blends. Polym. Degrad. Stabil. 2018, 147, 41–48. [Google Scholar] [CrossRef]
- Nomadolo, N.; Dada, O.E.; Swanepoel, A.; Mokhena, T.; Muniyasamy, S. A Comparative Study on the Aerobic Biodegradation of the Biopolymer Blends of Poly(butylene succinate), Poly(butylene adipate terephthalate) and Poly(lactic acid). Polymers 2022, 14, 1894. [Google Scholar] [CrossRef]
- Wang, S.; Daelemans, L.; D’hooge, D.R.; Couck, L.; Broeck, W.V.D.; Cornillie, P.; Gou, M.; Clerck, K.D.; Cardon, L. Lifting the quality of fused filament fabrication of polylactic acid based composites. Compos. B Eng. 2021, 210, 108613. [Google Scholar] [CrossRef]
- Voorde, K.; Pokorski, J.K.; Korley, L. Exploring morphological effects on the mechanics of blended poly (lactic acid)/poly(ε-caprolactone) extruded fibers fabricated using multilayer coextrusion. Macromolecules 2020, 53, 5047–5055. [Google Scholar] [CrossRef]
- Fenni, S.E.; Wang, J.; Haddaoui, N. Nucleation of Poly(lactide) Partially Wet Droplets in Ternary Polymers with Poly (butylene succinate) and Poly (ε-caprolactone). Macromolecules 2020, 53, 1726–1735. [Google Scholar] [CrossRef]
- Priselac, D.; Poljaček, S.M.; Tomašegović, T.; Leskovac, M. Blends Based on Poly(ε-Caprolactone) with Addition of Poly (Lactic Acid) and Coconut Fibers: Thermal Analysis, Ageing Behavior and Application for Embossing Process. Polymers 2022, 14, 1792. [Google Scholar] [CrossRef]
- Li, B.; Zhao, G.; Wang, G.; Zhang, L.; Shi, Z. Biodegradable PLA/PBS open-cell foam fabricated by supercritical CO2 foaming for selective oil-adsorption. Sep. Purif. Technol. 2020, 257, 117949. [Google Scholar] [CrossRef]
- Rossato, A.; Romano, A.; Totaro, G.; Celli, A.; Fava, F.; Zanaroli, G.; Sisti, L. Enzymatic Degradation of the Most Common Aliphatic Bio-Polyesters and Evaluation of the Mechanisms Involved: An Extended Study. Polymers 2022, 14, 1850. [Google Scholar] [CrossRef]
- Hajikhani, M.; Emam-Djomeh, Z.; Askari, G. Fabrication and characterization of mucoadhesive bioplastic patch via coaxial polylactic acid (PLA) based electrospun nanofibers with antimicrobial and wound healing application. Int. J. Biol. Macromol. 2021, 172, 143–153. [Google Scholar] [CrossRef]
- Kubisa, P.; Lapienis, G.; Biela, T. Star-shaped copolymers with PLA-PEG arms and their potential applications as biomedical materials. Polym. Adv. Technol. 2021, 32, 3857–3866. [Google Scholar] [CrossRef]
- Ren, F.; Yang, S.; Wu, Y.; Guo, F.; Zhou, F. Comparative Study on Macro-Tribological Properties of PLL-g-PEG and PSPMA Polymer Brushes. Polymers 2022, 14, 1917. [Google Scholar] [CrossRef]
- Pan, H.; Li, Z.; Yang, J.; Li, X.; Ai, X.; Hao, Y.; Zhang, H.; Dong, L. Analytical study on the 3D-printed structure and mechanical properties of basalt fiber-reinforced PLA composites using X-ray microscopy. Compos. Sci. Technol. 2019, 175, 18–27. [Google Scholar]
- Xiang, S.; Feng, L.; Bian, X.; Li, G.; Chen, X. Evaluation of PLA content in PLA/PBAT polymers using TGA. Polym. Test. 2020, 81, 106211. [Google Scholar] [CrossRef]
- Wang, W.; Ye, G.; Fan, D.; Lu, Y.; Shi, P.; Wang, X.; Bateer, B. Photo-oxidative resistance and adjustable degradation of poly-lactic acid (PLA) obtained by biomass addition and interfacial construction. Polym. Degrad. Stabil. 2021, 194, 109762. [Google Scholar] [CrossRef]
- Turco, R.; Zannini, D.; Mallardo, S.; Poggetto, G.D.; Tesser, R.; Santagata, G.; Malinconico, M.; Serio, M.D. Biocomposites based on Poly(lactic acid), Cynara Cardunculus seed oil and fibrous presscake: A novel eco-friendly approach to hasten PLA biodegradation in common soil. Polym. Degrad. Stabil. 2021, 188, 109576. [Google Scholar] [CrossRef]
- Xue, J.; Niu, Y.; Gong, M.; Shi, R.; Chen, D.; Zhang, L.; Lvov, Y. Electrospun microfiber membranes embedded with drug-loaded clay nanotubes for sustained antimicrobial protection. Acs Nano 2015, 9, 1600–1612. [Google Scholar] [CrossRef]
- Lin, Y.; Liu, C.; Chin, M.; Wang, C.; Wang, S.; Tsai, H.; Chen, J.; Ngai, E.; Ramachandran, R. Characterization of Shock-Sensitive Deposits from the Hydrolysis of Hexachlorodisilane. ACS Omega 2019, 4, 1416–1424. [Google Scholar] [CrossRef]
- Lesaffre, N.; Bellayer, S.; Vezin, H.; Fontaine, G.; Jimenez, M.; Bourbigot, S. Recent advances on the ageing of flame retarded PLA: Effect of UV-light and/or relative humidity. Polym. Degrad. Stabil. 2017, 139, 143–164. [Google Scholar] [CrossRef]
- Pan, H.; Li, Z.; Yang, J.; Li, X.; Ai, X.; Hao, Y.; Zhang, H.; Dong, L. The effect of MDI on the structure and mechanical properties of poly(lactic acid) and poly(butylene adipate-co-butylene terephthalate) blends. RSC. Adv. 2018, 8, 4610–4623. [Google Scholar] [CrossRef] [Green Version]












| Materials | Density (g/cm3) | Tensile Strength (MPa) | Tensile Modulus (GPa) | Elongation/% |
|---|---|---|---|---|
| PLA | 1.85 | 55 | 3.2 | 3.5 |
| PBAT | 1.22 | 21 | 0.14 | 670 |
| BF | 2.5–2.65 | 3200–4200 | 91–110 | 3.1 |
Publisher’s Note: MDPI stays neutral with regard to jurisdictional claims in published maps and institutional affiliations. |
© 2022 by the authors. Licensee MDPI, Basel, Switzerland. This article is an open access article distributed under the terms and conditions of the Creative Commons Attribution (CC BY) license (https://creativecommons.org/licenses/by/4.0/).
Share and Cite
Xue, G.; Sun, B.; Han, L.; Liu, B.; Liang, H.; Pu, Y.; Tang, H.; Ma, F. Triblock Copolymer Compatibilizers for Enhancing the Mechanical Properties of a Renewable Bio-Polymer. Polymers 2022, 14, 2734. https://doi.org/10.3390/polym14132734
Xue G, Sun B, Han L, Liu B, Liang H, Pu Y, Tang H, Ma F. Triblock Copolymer Compatibilizers for Enhancing the Mechanical Properties of a Renewable Bio-Polymer. Polymers. 2022; 14(13):2734. https://doi.org/10.3390/polym14132734
Chicago/Turabian StyleXue, Guilian, Bohua Sun, Lu Han, Baichuan Liu, Hongyu Liang, Yongfeng Pu, Hongming Tang, and Fangwu Ma. 2022. "Triblock Copolymer Compatibilizers for Enhancing the Mechanical Properties of a Renewable Bio-Polymer" Polymers 14, no. 13: 2734. https://doi.org/10.3390/polym14132734
APA StyleXue, G., Sun, B., Han, L., Liu, B., Liang, H., Pu, Y., Tang, H., & Ma, F. (2022). Triblock Copolymer Compatibilizers for Enhancing the Mechanical Properties of a Renewable Bio-Polymer. Polymers, 14(13), 2734. https://doi.org/10.3390/polym14132734

