Thermal Stability, Dynamic Mechanical Analysis and Flammability Properties of Woven Kenaf/Polyester-Reinforced Polylactic Acid Hybrid Laminated Composites
Abstract
:1. Introduction
2. Materials and Methods
2.1. Material
2.2. Material Preparation
2.3. Fabrication of Composite Laminates
2.4. Thermogravimetric Analysis (TGA)
2.5. Differential Scanning Calorimetry (DSC)
2.6. Dynamic Mechanical Analysis (DMA)
2.7. Flammability (UL-94)
3. Results
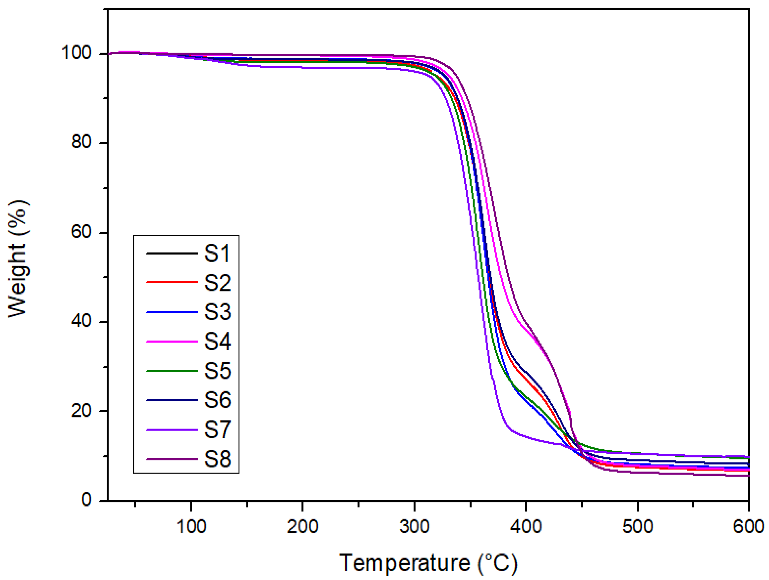
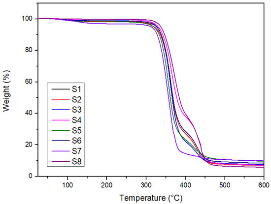
3.1. Thermogravimetric Analysis (TGA)
3.2. Differential Scanning Calorimetry (DSC)
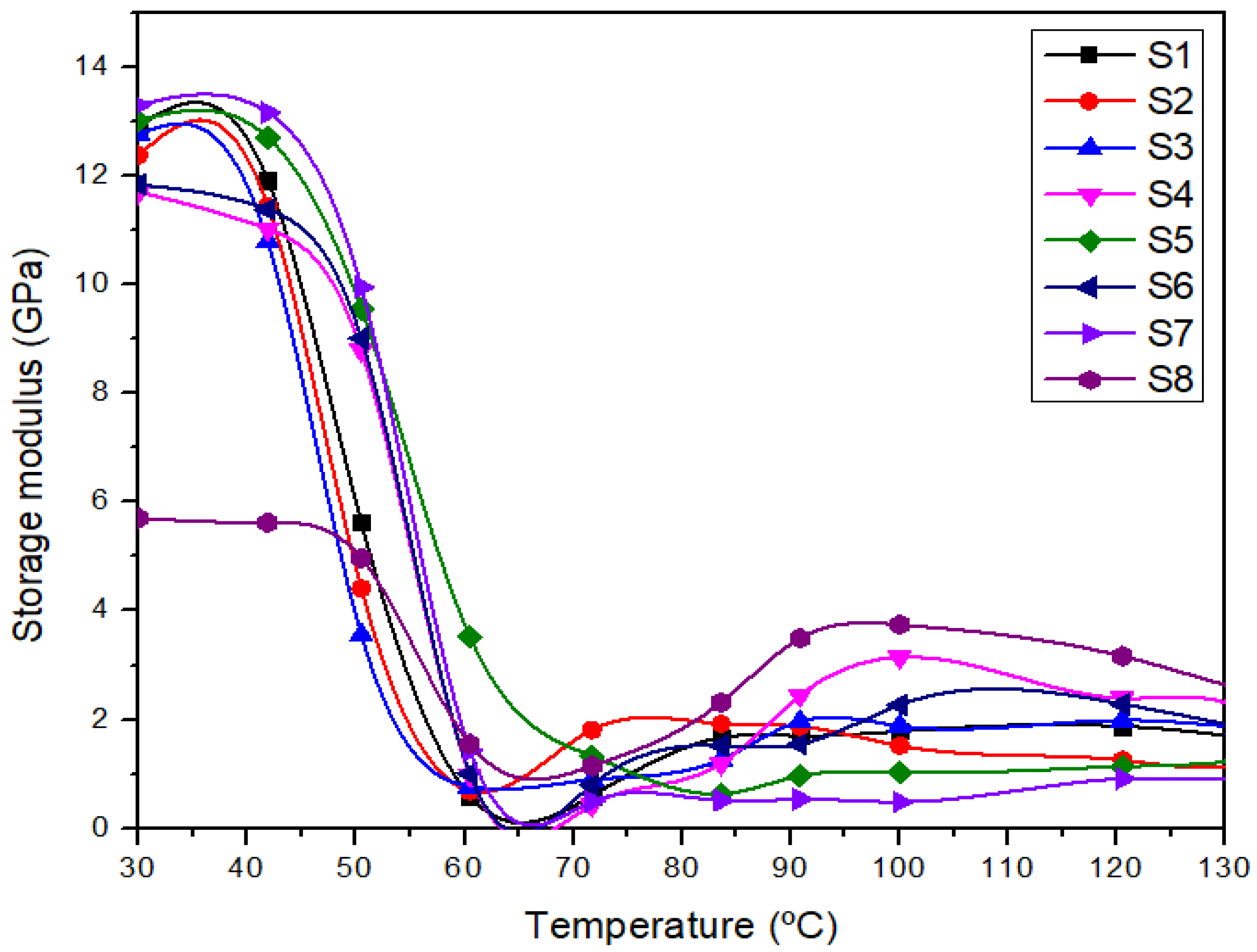
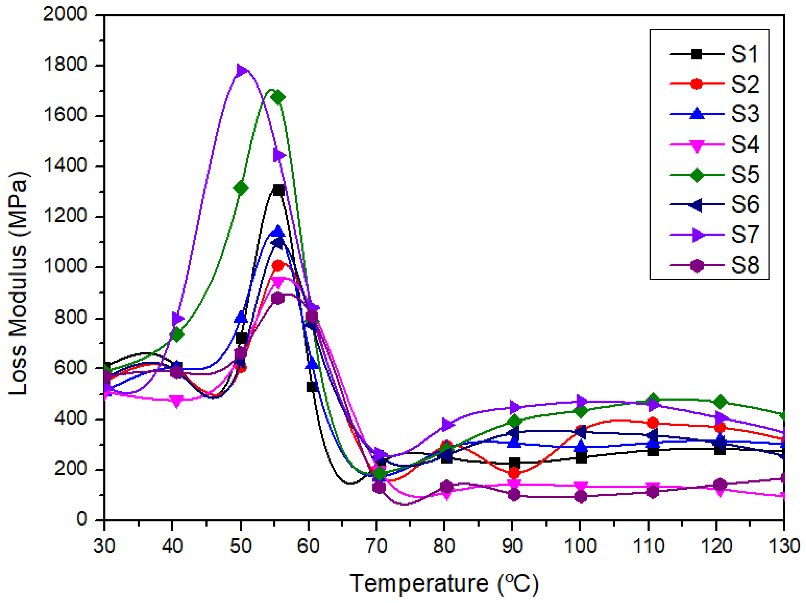
3.3. Dynamic Mechanical ANALYSIS (DMA)
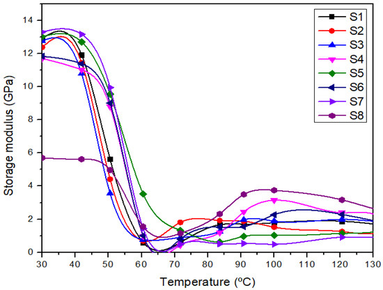
3.3.1. Storage Modulus (E′)
3.3.2. Loss Modulus (E″)
3.3.3. Damping (Tan δ)
3.4. Flammability Test
4. Conclusions
Author Contributions
Funding
Institutional Review Board Statement
Informed Consent Statement
Data Availability Statement
Acknowledgments
Conflicts of Interest
References
- Azman, M.A.; Asyraf, M.R.M.; Khalina, A.; Petrů, M.; Ruzaidi, C.M.; Sapuan, S.M.; Wan Nik, W.B.; Ishak, M.R.; Ilyas, R.A.; Suriani, M.J. Natural Fiber Reinforced Composite Material for Product Design: A Short Review. Polymers 2021, 13, 1917. [Google Scholar] [CrossRef]
- Thyavihalli Girijappa, Y.G.; Mavinkere Rangappa, S.; Parameswaranpillai, J.; Siengchin, S. Natural Fibers as Sustainable and Renewable Resource for Development of Eco-Friendly Composites: A Comprehensive Review. Front. Mater. 2019, 6, 226. [Google Scholar] [CrossRef]
- Väisänen, T.; Batello, P.; Lappalainen, R.; Tomppo, L. Modification of hemp fibers (Cannabis Sativa L.) for composite applications. Ind. Crop. Prod. 2018, 111, 422–429. [Google Scholar] [CrossRef]
- Bifulco, A.; Silvestri, B.; Passaro, J.; Boccarusso, L.; Roviello, V.; Branda, F.; Durante, M. A New Strategy to Produce Hemp Fibers through a Waterglass-Based Ecofriendly Process. Materials 2020, 13, 1844. [Google Scholar] [CrossRef]
- Alao, P.; Marrot, L.; Kallakas, H.; Just, A.; Poltimäe, T.; Kers, J. Effect of Hemp Fiber Surface Treatment on the Moisture/Water Resistance and Reaction to Fire of Reinforced PLA Composites. Materials 2021, 14, 4332. [Google Scholar] [CrossRef]
- Senthilkumar, K.; Saba, N.; Chandrasekar, M.; Jawaid, M.; Rajini, N.; Alothman, O.Y.; Siengchin, S. Evaluation of mechanical and free vibration properties of the pineapple leaf fibre reinforced polyester composites. Constr. Build. Mater. 2019, 195, 423–431. [Google Scholar] [CrossRef]
- Siakeng, R.; Jawaid, M.; Ariffin, H.; Sapuan, S.M. Thermal properties of coir and pineapple leaf fibre reinforced polylactic acid hybrid composites. IOP Conf. Ser. Mater. Sci. Eng. 2018, 368, 012019. [Google Scholar] [CrossRef] [Green Version]
- Akonda, M.; Alimuzzaman, S.; Shah, D.U.; Rahman, A.M. Physico-Mechanical, Thermal and Biodegradation Performance of Random Flax/Polylactic Acid and Unidirectional Flax/Polylactic Acid Biocomposites. Fibers 2018, 6, 98. [Google Scholar] [CrossRef] [Green Version]
- Rayung, M.; Ibrahim, N.A.; Zainuddin, N.; Saad, W.Z.; Razak, N.I.A.; Chieng, B.W. The Effect of Fiber Bleaching Treatment on the Properties of Poly(lactic acid)/Oil Palm Empty Fruit Bunch Fiber Composites. Int. J. Mol. Sci. 2014, 15, 14728–14742. [Google Scholar] [CrossRef] [Green Version]
- Sherwani, S.F.K.; Zainudin, E.S.; Sapuan, S.M.; Leman, Z.; Khalina, A. Physical, Mechanical, and Morphological Properties of Treated Sugar Palm/Glass Reinforced Poly(Lactic Acid) Hybrid Composites. Polymers 2021, 13, 3620. [Google Scholar] [CrossRef]
- Norizan, M.N.; Malaysia, M.U.P.; Abdan, K.; Salit, M.S.; Mohamed, R.; Mara, M.U.T. Physical, Mechanical and Thermal Properties of Sugar Palm Yarn Fibre Loading on Reinforced Unsaturated Polyester Composite. J. Phys. Sci. 2017, 28, 115–136. [Google Scholar] [CrossRef] [Green Version]
- Ali, A.; Rassiah, K.; Ahmad, M.M. The Effect of Stacking Sequence of Woven Bamboo on Mechanical Behavior of Fiber-Reinforced Composites. J. Southwest Jiaotong Univ. 2021, 56, 591–604. [Google Scholar] [CrossRef]
- Widiastuti, I.; Pratiwi, Y.R.; Cahyo, D.N. A Study on Water Absorption and Mechanical Properties in Epoxy-Bamboo Laminate Composite with Varying Immersion Temperatures. Open Eng. 2020, 10, 814–819. [Google Scholar] [CrossRef]
- Khan, G.A.; Terano, M.; Gafur, M.; Alam, M.S. Studies on the mechanical properties of woven jute fabric reinforced poly(l-lactic acid) composites. J. King Saud Univ. Eng. Sci. 2016, 28, 69–74. [Google Scholar] [CrossRef] [Green Version]
- Ahmad, H.; Rahim, S. Notched Strength of Woven Fabric Kenaf Composites with Different Fiber Orientations. MATEC Web Conf. 2017, 97, 01088. [Google Scholar] [CrossRef] [Green Version]
- Salman, S.D.; Sharba, M.J.; Leman, Z.; Sultan, M.T.H.; Ishak, M.R.; Cardona, F. Physical, Mechanical, and Morphological Properties of Woven Kenaf/Polymer Composites Produced Using a Vacuum Infusion Technique. Int. J. Polym. Sci. 2015, 2015, 1–10. [Google Scholar] [CrossRef] [Green Version]
- Ismail, A.; Aziz, M.C.A. Tensile strength of woven yarn kenaf fiber reinforced polyester composites. J. Mech. Eng. Sci. 2015, 9, 1695–1704. [Google Scholar] [CrossRef]
- Gunge, A.; Koppad, P.G.; Nagamadhu, M.; Kivade, S.; Murthy, K.S. Study on mechanical properties of alkali treated plain woven banana fabric reinforced biodegradable composites. Compos. Commun. 2019, 13, 47–51. [Google Scholar] [CrossRef]
- Alavudeen, A.; Rajini, N.; Karthikeyan, S.; Thiruchitrambalam, M.; Venkateshwaren, N. Mechanical properties of banana/kenaf fiber-reinforced hybrid polyester composites: Effect of woven fabric and random orientation. Mater. Des. 2015, 66, 246–257. [Google Scholar] [CrossRef]
- Azlin, M.N.M.; Sapuan, S.M.; Zuhri, M.Y.M.; Zainudin, E.S. Mechanical, Morphological and Thermal Properties of Woven Polyester Fiber Reinforced Polylactic Acid (PLA) Composites. Fibers Polym. 2022, 23, 234–242. [Google Scholar] [CrossRef]
- Ilyas, R.A.; Sapuan, S.M.; Harussani, M.M.; Hakimi, M.Y.A.Y.; Haziq, M.Z.M.; Atikah, M.S.N. Polylactic acid (PLA) biocomposite: Processing, additive manufacturing and advanced applications. Polymers 2021, 13, 1326. [Google Scholar]
- Nagarajan, V.; Mohanty, A.K.; Misra, M. Perspective on Polylactic Acid (PLA) based Sustainable Materials for Durable Applications: Focus on Toughness and Heat Resistance. ACS Sustain. Chem. Eng. 2016, 4, 2899–2916. [Google Scholar] [CrossRef]
- Sawpan, M.A.; Pickering, K.; Fernyhough, A. Flexural properties of hemp fibre reinforced polylactide and unsaturated polyester composites. Compos. Part A Appl. Sci. Manuf. 2012, 43, 519–526. [Google Scholar] [CrossRef]
- García del Pino, G.; Kieling, A.C.; Bezazi, A.; Boumediri, H.; de Souza, J.F.R.; Díaz, F.V.; Rivera, J.L.V.; Dehaini, J.; Panzera, T.H. Hybrid Polyester Composites Reinforced with Curauá Fibres and Nanoclays. Fibers Polym. 2020, 21, 399–406. [Google Scholar] [CrossRef]
- Ben Mlik, Y.; Jaouadi, M.; Rezig, S.; Khoffi, F.; Slah, M.; Durand, B. Kenaf fibre-reinforced polyester composites: Flexural characterization and statistical analysis. J. Text. Inst. 2018, 109, 713–722. [Google Scholar] [CrossRef]
- Das, S.; Singha, A.K.; Chaudhuri, A.; Ganguly, P.K. Lengthwise jute fibre properties variation and its effect on jute–polyester composite. J. Text. Inst. 2019, 110, 1695–1702. [Google Scholar] [CrossRef]
- Bagherpour, S. Fibre reinforced polyester composites. In Polyester; Saleh, H.E.-D.M., Ed.; IntechOpen: Rijeka, Croatia, 2012; pp. 135–166. [Google Scholar] [CrossRef] [Green Version]
- Neto, J.S.S.; de Queiroz, H.F.M.; Aguiar, R.A.A.; Banea, M.D. A Review on the Thermal Characterisation of Natural and Hybrid Fiber Composites. Polymers 2021, 13, 4425. [Google Scholar] [CrossRef]
- Sathyaseelan, P.; Sellamuthu, P.; Palanimuthu, L. Dynamic mechanical analysis of areca/kenaf fiber reinforced epoxy hybrid composites fabricated in different stacking sequences. Mater. Today Proc. 2020, 39, 1202–1205. [Google Scholar] [CrossRef]
- Oliveira, M.S.; Filho, F.D.C.G.; Da Luz, F.S.; Demosthenes, L.C.D.C.; Pereira, A.C.; Colorado, H.; Nascimento, L.F.C.; Monteiro, S.N. Evaluation of Dynamic Mechanical Properties of Fique Fabric/Epoxy Composites. Mater. Res. 2019, 22, 1–6. [Google Scholar] [CrossRef]
- Pellicer, E.; Nikolic, D.; Sort, J.; Baró, M.; Zivic, F.; Grujovic, N.; Grujic, R.; Pelemis, S. Advances in Applications of Industrial Biomaterials; Springer: Cham, Switzerland, 2017; pp. 1–214. [Google Scholar] [CrossRef]
- Karaduman, N.S.; Karaduman, Y.; Ozdemir, H.; Ozdemir, G. Textile reinforced structural composites for advanced applications. In Textiles for Advanced Applications; Kumar, B., Thakur, S., Eds.; IntechOpen: Rijeka, Croatia, 2017. [Google Scholar] [CrossRef] [Green Version]
- Kandola, B.; Mistik, S.; Pornwannachai, W.; Anand, S. Natural fibre-reinforced thermoplastic composites from woven-nonwoven textile preforms: Mechanical and fire performance study. Compos. Part B Eng. 2018, 153, 456–464. [Google Scholar] [CrossRef]
- Mingzhu, P.; Hailan, L.; Changtong, M. Flammability of nano silicon dioxide–wood fiber–polyethylene composites. J. Compos. Mater. 2012, 47, 1471–1477. [Google Scholar] [CrossRef]
- Soutis, C. Introduction. In Polymer Composites in the Aerospace Industry; Irving, P.E., Soutis, C., Eds.; Elsevier: Amsterdam, The Netherlands, 2015; pp. 1–18. [Google Scholar] [CrossRef]
- Yancey, R.N. Challenges, opportunities, and perspectives on lightweight composite structures. In Lightweight Composite Structures in Transport; Njuguna, J., Ed.; Elsevier: Amsterdam, The Netherlands, 2016; pp. 35–52. [Google Scholar] [CrossRef]
- Jamal, S.K.; Hassan, S.A.; Jye, W.K.; Hanan, U.A. The Influence of Woven Density on Tensile Properties of Hybrid Kenaf/Glass Composites. J. Appl. Environ. Biol. Sci. 2017, 7, 160–166. [Google Scholar]
- Thiruchitrambalam, M.; Alavudeen, A.; Athijayamani, A.; Venkateshwaran, N.; Perumal, A.E. Improving mechanical properties of banana/kenaf polyester hybrid composites using sodium laulryl sulfate treatment. Mater. Phys. Mech. 2009, 8, 165–173. [Google Scholar]
- Yahaya, R.; Sapuan, S.; Jawaid, M.; Leman, Z.; Zainudin, E. Effect of layering sequence and chemical treatment on the mechanical properties of woven kenaf–aramid hybrid laminated composites. Mater. Des. 2015, 67, 173–179. [Google Scholar] [CrossRef]
- Hanan, F.; Jawaid, M.; Paridah, T.; Naveen, J. Characterization of Hybrid Oil Palm Empty Fruit Bunch/Woven Kenaf Fabric-Reinforced Epoxy Composites. Polymers 2020, 12, 2052. [Google Scholar] [CrossRef]
- Singh, M.K.; Zafar, S. Effect of layering sequence on mechanical properties of woven kenaf/jute fabric hybrid laminated microwave-processed composites. J. Ind. Text 2020, 1528083720911219. [Google Scholar] [CrossRef]
- Zuhudi, N.Z.M.; Lin, R.J.; Jayaraman, K. Flammability, thermal and dynamic mechanical properties of bamboo–glass hybrid composites. J. Thermoplast. Compos. Mater. 2016, 29, 1210–1228. [Google Scholar] [CrossRef]
- Chee, S.S.; Jawaid, M.; Sultan, M.T.H.; Alothman, O.Y.; Abdullah, L.C. Thermomechanical and dynamic mechanical properties of bamboo/woven kenaf mat reinforced epoxy hybrid composites. Compos. Part B Eng. 2019, 163, 165–174. [Google Scholar] [CrossRef]
- Khan, T.; Sultan, M.T.H.; Jawaid, M.; Safri, S.N.A.; Shah, A.U.M.; Majid, M.S.A.; Zulkepli, N.N.; Jaya, H. The Effects of Stacking Sequence on Dynamic Mechanical Properties and Thermal Degradation of Kenaf/Jute Hybrid Composites. J. Renew. Mater. 2021, 9, 73–84. [Google Scholar] [CrossRef]
- Sreenivasan, V.; Rajini, N.; Alavudeen, A.; Arumugaprabu, V. Dynamic mechanical and thermo-gravimetric analysis of Sansevieria cylindrica/polyester composite: Effect of fiber length, fiber loading and chemical treatment. Compos. Part B Eng. 2015, 69, 76–86. [Google Scholar] [CrossRef]
- Jawaid, M.; Khalil, H.A.; Alattas, O.S. Woven hybrid biocomposites: Dynamic mechanical and thermal properties. Compos. Part A Appl. Sci. Manuf. 2012, 43, 288–293. [Google Scholar] [CrossRef]
- ASTM D635-18; ASTM International. Standard Test Method for Rate of Burning and/or Extent and Time of Burning of Plastics in a Horizontal Position. ASTM International: West Conshohocken, PA, USA, 2018. [CrossRef]
- Izwan, S.M.; Sapuan, S.; Zuhri, M.; Mohamed, A. Thermal Stability and Dynamic Mechanical Analysis of Benzoylation Treated Sugar Palm/Kenaf Fiber Reinforced Polypropylene Hybrid Composites. Polymers 2021, 13, 2961. [Google Scholar] [CrossRef]
- Asim, M.; Paridah, M.; Saba, N.; Jawaid, M.; Alothman, O.Y.; Nasir, M.; Almutairi, Z. Thermal, physical properties and flammability of silane treated kenaf/pineapple leaf fibres phenolic hybrid composites. Compos. Struct. 2018, 202, 1330–1338. [Google Scholar] [CrossRef]
- Sherwani, S.F.K.; Zainudin, E.S.; Sapuan, S.M.; Leman, Z.; Abdan, K. Mechanical Properties of Sugar Palm (Arenga pinnata Wurmb. Merr)/Glass Fiber-Reinforced Poly(lactic acid) Hybrid Composites for Potential Use in Motorcycle Components. Polymers 2021, 13, 3061. [Google Scholar] [CrossRef]
- Ilyas, R.A.; Sapuan, S.M.; Ishak, M.R.; Zainudin, E.S. Development and characterization of sugar palm nanocrystalline cellulose reinforced sugar palm starch bionanocomposites. Carbohydr. Polym. 2018, 202, 186–202. [Google Scholar] [CrossRef]
- Tarique, J.; Sapuan, S.M.; Khalina, A. Effect of glycerol plasticizer loading on the physical, mechanical, thermal, and barrier properties of arrowroot (Maranta arundinacea) starch biopolymers. Sci. Rep. 2021, 11, 13900. [Google Scholar] [CrossRef]
- Hazrati, K.; Sapuan, S.; Zuhri, M.; Jumaidin, R. Effect of plasticizers on physical, thermal, and tensile properties of thermoplastic films based on Dioscorea hispida starch. Int. J. Biol. Macromol. 2021, 185, 219–228. [Google Scholar] [CrossRef]
- Yang, H.; Yan, R.; Chen, H.; Lee, D.H.; Zheng, C. Characteristics of hemicellulose, cellulose and lignin pyrolysis. Fuel 2007, 86, 1781–1788. [Google Scholar] [CrossRef]
- Lv, D.; Xu, M.; Liu, X.; Zhan, Z.; Li, Z.; Yao, H. Effect of cellulose, lignin, alkali and alkaline earth metallic species on biomass pyrolysis and gasification. Fuel Process. Technol. 2010, 91, 903–909. [Google Scholar] [CrossRef]
- Varhegyi, G.; Antal, M.J.; Jakab, E.; Szabó, P. Kinetic modeling of biomass pyrolysis. J. Anal. Appl. Pyrolysis 1997, 42, 73–87. [Google Scholar] [CrossRef] [Green Version]
- Qu, T.; Guo, W.; Shen, L.; Xiao, J.; Zhao, K. Experimental Study of Biomass Pyrolysis Based on Three Major Components: Hemicellulose, Cellulose, and Lignin. Ind. Eng. Chem. Res. 2011, 50, 10424–10433. [Google Scholar] [CrossRef]
- Silverajah, V.S.G.; Ibrahim, N.A.; Yunus, W.M.Z.W.; Hassan, H.A.; Woei, C.B. A Comparative Study on the Mechanical, Thermal and Morphological Characterization of Poly(lactic acid)/Epoxidized Palm Oil Blend. Int. J. Mol. Sci. 2012, 13, 5878–5898. [Google Scholar] [CrossRef] [Green Version]
- Adánez, J.; García-Labiano, F. Factors affecting the thermogravimetric technique in the characterization of sorbents for AFBC. Thermochim. Acta 1993, 217, 99–113. [Google Scholar] [CrossRef]
- Aisyah, H.A.; Paridah, M.T.; Sapuan, S.M.; Khalina, A.; Berkalp, O.B.; Lee, S.H.; Lee, C.H.; Nurazzi, N.M.; Ramli, N.; Wahab, M.S.; et al. Thermal Properties of Woven Kenaf/Carbon Fibre-Reinforced Epoxy Hybrid Composite Panels. Int. J. Polym. Sci. 2019, 2019, 5258621. [Google Scholar]
- Teh, P.L.; Ng, H.T.; Yeoh, C.K. Recycled Copper as the Conductive Filler in Polyester Composites. Malays. Polym. J. 2011, 6, 98–108. [Google Scholar]
- Achagri, G.; Essamlali, Y.; Amadine, O.; Majdoub, M.; Chakir, A.; Zahouily, M. Surface modification of highly hydrophobic polyester fabric coated with octadecylamine-functionalized graphene nanosheets. RSC Adv. 2020, 10, 24941–24950. [Google Scholar] [CrossRef]
- Frone, A.N.; Nicolae, C.A.; Gabor, R.A.; Panaitescu, D.M. Thermal properties of water-resistant starch–polyvinyl alcohol films modified with cellulose nanofibers. Polym. Degrad. Stab. 2015, 121, 385–397. [Google Scholar] [CrossRef]
- Beg, M.D.H.; Pickering, K.L. Accelerated weathering of unbleached and bleached Kraft wood fibre reinforced polypropylene composites. Polym. Degrad. Stab. 2008, 93, 1939–1946. [Google Scholar] [CrossRef]
- Kabir, M.; Wang, H.; Lau, K.; Cardona, F.; Aravinthan, T. Mechanical properties of chemically-treated hemp fibre reinforced sandwich composites. Compos. Part B Eng. 2012, 43, 159–169. [Google Scholar] [CrossRef]
- Izani, M.N.; Paridah, M.; Anwar, U.; Nor, M.M.; H’Ng, P. Effects of fiber treatment on morphology, tensile and thermogravimetric analysis of oil palm empty fruit bunches fibers. Compos. Part B Eng. 2013, 45, 1251–1257. [Google Scholar] [CrossRef] [Green Version]
- Farah, S.; Anderson, D.G.; Langer, R. Physical and mechanical properties of PLA, and their functions in widespread applications—A comprehensive review. Adv. Drug Deliv. Rev. 2016, 107, 367–392. [Google Scholar] [CrossRef] [Green Version]
- Su, S.; Kopitzky, R.; Tolga, S.; Kabasci, S. Polylactide (PLA) and Its Blends with Poly(butylene succinate) (PBS): A Brief Review. Polymers 2019, 11, 1193. [Google Scholar] [CrossRef] [Green Version]
- Tsujimoto, Y.; Sakurai, T.; Ono, Y.; Nagano, S.; Seki, S. Cold Crystallization of Ferrocene-Hinged π-Conjugated Molecule Induced by the Limited Conformational Freedom of Ferrocene. J. Phys. Chem. B 2019, 123, 8325–8332. [Google Scholar] [CrossRef]
- Mysiukiewicz, O.; Barczewski, M. Crystallization of polylactide-based green composites filled with oil-rich waste fillers. J. Polym. Res. 2020, 27, 1–17. [Google Scholar] [CrossRef]
- Iannace, S.; Sorrentino, L.; Di Maio, E. Biodegradable biomedical foam scaffolds. In Biomedical Foams for Tissue Engineering Applications; Netti, P.A., Ed.; Woodhead Publishing Limited: Sawston, UK, 2014. [Google Scholar] [CrossRef]
- Kmetty, Á.; Litauszki, K. Development of poly (lactide acid) foams with thermally expandable microspheres. Polymers 2020, 12, 463. [Google Scholar] [CrossRef] [Green Version]
- Olam, M.; Tosun, N. 3D-printed polylactide/hydroxyapatite/titania composite filaments. Mater. Chem. Phys. 2022, 276, 125267. [Google Scholar] [CrossRef]
- Pruitt, L.A. Structural biomedical polymers (Nondegradable). In Comprehensive Biomaterials; Ducheyne, P., Ed.; Elsevier: Amsterdam, The Netherlands, 2011; Volume 1, pp. 373–379. [Google Scholar] [CrossRef]
- Nurazzi, N.M.; Khalina, A.; Sapuan, S.; Ilyas, R.; Rafiqah, S.A.; Hanafee, Z. Thermal properties of treated sugar palm yarn/glass fiber reinforced unsaturated polyester hybrid composites. J. Mater. Res. Technol. 2020, 9, 1606–1618. [Google Scholar] [CrossRef]
- Khalid, M.F.S.; Abdullah, A.H. Storage Modulus Capacity of Untreated Aged Arenga pinnata Fibre-Reinforced Epoxy Composite. Appl. Mech. Mater. 2013, 393, 171–176. [Google Scholar] [CrossRef]
- Bachtiar, D.; Sapuan, S.; Khalina, A.; Zainudin, E.; Dahlan, K. The Flexural, Impact and Thermal Properties of Untreated Short Sugar Palm Fibre Reinforced High Impact Polystyrene (HIPS) Composites. Polym. Polym. Compos. 2012, 20, 493–502. [Google Scholar] [CrossRef]
- Jesuarockiam, N.; Jawaid, M.; Zainudin, E.S.; Sultan, M.T.H.; Yahaya, R. Enhanced Thermal and Dynamic Mechanical Properties of Synthetic/Natural Hybrid Composites with Graphene Nanoplateletes. Polymers 2019, 11, 1085. [Google Scholar] [CrossRef] [Green Version]
- Barkoula, N.M.; Alcock, B.; Cabrera, N.O.; Peijs, T. Flame-Retardancy Properties of Intumescent Ammonium Poly(Phosphate) and Mineral Filler Magnesium Hydroxide in Combination with Graphene. Polym. Polym. Compos. 2008, 16, 101–113. [Google Scholar] [CrossRef]
- Hameed, N.; Sreekumar, P.; Francis, B.; Yang, W.; Thomas, S. Morphology, dynamic mechanical and thermal studies on poly(styrene-co-acrylonitrile) modified epoxy resin/glass fibre composites. Compos. Part A Appl. Sci. Manuf. 2007, 38, 2422–2432. [Google Scholar] [CrossRef]
- Saba, N.; Jawaid, M.; Alothman, O.Y.; Paridah, M.T. A review on dynamic mechanical properties of natural fibre reinforced polymer composites. Constr. Build. Mater. 2016, 106, 149–159. [Google Scholar] [CrossRef]
- Kumar, S.; Satapathy, B.K.; Patnaik, A. Viscoelastic interpretations of erosion performance of short aramid fibre reinforced vinyl ester resin composites. J. Mater. Sci. 2011, 46, 7489–7500. [Google Scholar] [CrossRef]
- Akil, H.M.; Mazuki, A.A.M.; Safiee, S.; Ishak, Z.A.M.; Bakar, A.A. Study on dynamic mechanical properties of pultruded kenaf fiber reinforced composites. In Proceedings of the 7th Asian-Australasian Conference on Composite Materials 2010, ACCM 2010, Taipei, Taiwan, 15–18 November 2010; Volume 1, pp. 71–74. [Google Scholar]
- Jeyaraman, J.; Jesuretnam, B.R.; Ramar, K. Effect of stacking sequence on dynamic mechanical properties of Indian almond—Kenaf fiber reinforced hybrid composites. J. Nat. Fibers 2020, 1–12. [Google Scholar] [CrossRef]
- Bindu, P.; Thomas, S. Viscoelastic Behavior and Reinforcement Mechanism in Rubber Nanocomposites in the Vicinity of Spherical Nanoparticles. J. Phys. Chem. B 2013, 117, 12632–12648. [Google Scholar] [CrossRef]
- Haris, N.I.N.; Ilyas, R.A.; Hassan, M.Z.; Sapuan, S.M.; Afdzaluddin, A.; Jamaludin, K.R.; Zaki, S.A.; Ramlie, F. Dynamic Mechanical Properties and Thermal Properties of Longitudinal Basalt/Woven Glass Fiber Reinforced Unsaturated Polyester Hybrid Composites. Polymers 2021, 13, 3343. [Google Scholar] [CrossRef]
- Jabbar, A.; Militký, J.; Wiener, J.; Kale, B.M.; Ali, U.; Rwawiire, S. Nanocellulose coated woven jute/green epoxy composites: Characterization of mechanical and dynamic mechanical behavior. Compos. Struct. 2017, 161, 340–349. [Google Scholar] [CrossRef]
- Jawaid, M.; Khalil, H.P.S.A. Effect of layering pattern on the dynamic mechanical properties and thermal degradation of oil palm-jute fibers reinforced epoxy hybrid composite. BioResources 2011, 6, 2309–2322. [Google Scholar] [CrossRef]
- Ghori, S.W.; Rao, G.S. Mechanical and thermal properties of date palm/kenaf fiber-reinforced epoxy hybrid composites. Polym. Compos. 2021, 42, 2217–2224. [Google Scholar] [CrossRef]
- Lee, C.; Khalina, A.; Lee, S. Importance of Interfacial Adhesion Condition on Characterization of Plant-Fiber-Reinforced Polymer Composites: A Review. Polymers 2021, 13, 438. [Google Scholar] [CrossRef]
- Ho, M.P.; Wang, H.; Lau, K.-T.; Leng, J. Effect of silk fiber to the mechanical and thermal properties of its biodegradable composites. J. Appl. Polym. Sci. 2013, 127, 2389–2396. [Google Scholar] [CrossRef]
- Idicula, M.; Malhotra, S.; Joseph, K.; Thomas, S. Dynamic mechanical analysis of randomly oriented intimately mixed short banana/sisal hybrid fibre reinforced polyester composites. Compos. Sci. Technol. 2005, 65, 1077–1087. [Google Scholar] [CrossRef]
- Jawaid, M.; Khalil, H.A.; Hassan, A.; Dungani, R.; Hadiyane, A. Effect of jute fibre loading on tensile and dynamic mechanical properties of oil palm epoxy composites. Compos. Part B Eng. 2013, 45, 619–624. [Google Scholar] [CrossRef]
- Mandal, S.; Alam, S. Dynamic mechanical analysis and morphological studies of glass/bamboo fiber reinforced unsaturated polyester resin-based hybrid composites. J. Appl. Polym. Sci. 2012, 125, 2658–2667. [Google Scholar] [CrossRef]
- Prabhakar, M.; Shah, A.U.R.; Song, J.-I. A Review on the Flammability and Flame Retardant Properties of Natural Fibers and Polymer Matrix Based Composites. Compos. Res. 2015, 28, 29–39. [Google Scholar] [CrossRef] [Green Version]
- Karunakaran, S.; Majid, D.L.; Tawil, M.L.M. Flammability of self-extinguishing kenaf/ABS nanoclays composite for aircraft secondary structure. IOP Conf. Ser. Mater. Sci. Eng. 2016, 152, 012068. [Google Scholar] [CrossRef] [Green Version]
- Suriani, M.; Zainudin, H.; Ilyas, R.; Petrů, M.; Sapuan, S.; Ruzaidi, C.; Mustapha, R. Kenaf Fiber/Pet Yarn Reinforced Epoxy Hybrid Polymer Composites: Morphological, Tensile, and Flammability Properties. Polymers 2021, 13, 1532. [Google Scholar] [CrossRef]
- Bar, M.; Alagirusamy, R.; Das, A. Flame retardant polymer composites. Fibers Polym. 2015, 16, 705–717. [Google Scholar] [CrossRef]
- Subasinghe, A.; Das, R.; Bhattacharyya, D. Study of thermal, flammability and mechanical properties of intumescent flame retardant PP/kenaf nanocomposites. Int. J. Smart Nano Mater. 2016, 7, 202–220. [Google Scholar] [CrossRef] [Green Version]








| Content | Percentage (%) | |
|---|---|---|
| 1 | Hemicellulose | 21.75 | 
| 2 | Lignin | 3.29 | 
| 3 | Cellulose | 68.48 | 
| Weight (%) of Constituent | |||||
|---|---|---|---|---|---|
| Code | Laminate Configuration | Woven Polyester (P) | Woven Kenaf (K) | PLA | Thickness (mm) | 
| S1 | K/P/K/P/K | 16.5 | 23.5 | 60 | 2.97 ± 0.05 b | 
| S2 | P/K/P/K/P | 24.5 | 15.5 | 60 | 2.93 ± 0.04 b | 
| S3 | P/K/K/K/P | 16.5 | 23.5 | 60 | 2.85 ± 0.01 a | 
| S4 | P/P/K/P/P | 32.3 | 7.7 | 60 | 3.06 ± 0.05 d | 
| S5 | K/K/P/K/K | 8.3 | 31.7 | 60 | 2.94 ± 0.05 b | 
| S6 | K/P/P/P/K | 24.5 | 15.5 | 60 | 3.01 ± 0.01 c | 
| S7 | K/K/K/K/K | 0 | 40 | 60 | 2.85 ± 0.03 a | 
| S8 | P/P/P/P/P | 40 | 0 | 60 | 2.84 ± 0.02 a | 
| Code | T5% (wt.%) | Tmax1 (°C) | Tmax2 (°C) | Tmaxt3 (°C) | Residue (wt.%) | |
|---|---|---|---|---|---|---|
| 1 | S1 | 318.7 | 97.2 | 362.8 | 431.2 | 8.3 | 
| 2 | S2 | 327.2 | 93.7 | 362.4 | 432.8 | 7.9 | 
| 3 | S3 | 317.1 | 96.8 | 363.1 | 431.5 | 7.7 | 
| 4 | S4 | 330.2 | 91.2 | 366.7 | 437.7 | 7.1 | 
| 5 | S5 | 316.8 | 98.3 | 359.4 | 427.3 | 9.6 | 
| 6 | S6 | 326.8 | 94.1 | 364.9 | 433.1 | 8.2 | 
| 7 | S7 | 314.3 | 106.8 | 358.8 | 426.1 | 10.0 | 
| 8 | S8 | 337.5 | 91.4 | 369.8 | 438.2 | 5.8 | 
| Code | Tg (°C) | Tm (°C) | Tc (°C) | |
|---|---|---|---|---|
| 1 | S1 | 58.79 | 93.15 | 168.80 | 
| 2 | S2 | 59.83 | 93.80 | 169.12 | 
| 3 | S3 | 59.21 | 93.27 | 169.09 | 
| 4 | S4 | 59.92 | 96.00 | 169.54 | 
| 5 | S5 | 58.90 | 95.49 | 168.17 | 
| 6 | S6 | 59.58 | 94.71 | 168.95 | 
| 7 | S7 | 58.51 | 92.65 | 167.92 | 
| 8 | S8 | 60.19 | 96.70 | 170.45 | 
| Code | Time for the Flame Front to Reach 100 mm Mark (sec) | Remarks | |
|---|---|---|---|
| 1 | S1 | 127.5 ± 12.859 * | Fully burnt | 
| 2 | S2 | 103.6 ± 3.067 * | Fully burnt | 
| 3 | S3 | 112.2 ± 10.256 * | Fully burnt | 
| 4 | S4 | 103.2 ± 0.322 * | Fully burnt | 
| 5 | S5 | 156.2 ± 7.491 * | Fully burnt | 
| 6 | S6 | 152.9 ± 12.693 * | Fully burnt | 
| 7 | S7 | 171.4 ± 7.407 * | Fully burnt | 
| 8 | S8 | 116.3 ± 13.850 * | Fully burnt | 
| Publisher’s Note: MDPI stays neutral with regard to jurisdictional claims in published maps and institutional affiliations. | 
© 2022 by the authors. Licensee MDPI, Basel, Switzerland. This article is an open access article distributed under the terms and conditions of the Creative Commons Attribution (CC BY) license (https://creativecommons.org/licenses/by/4.0/).
Share and Cite
Azlin, M.N.M.; Sapuan, S.M.; Zuhri, M.Y.M.; Zainudin, E.S.; Ilyas, R.A. Thermal Stability, Dynamic Mechanical Analysis and Flammability Properties of Woven Kenaf/Polyester-Reinforced Polylactic Acid Hybrid Laminated Composites. Polymers 2022, 14, 2690. https://doi.org/10.3390/polym14132690
Azlin MNM, Sapuan SM, Zuhri MYM, Zainudin ES, Ilyas RA. Thermal Stability, Dynamic Mechanical Analysis and Flammability Properties of Woven Kenaf/Polyester-Reinforced Polylactic Acid Hybrid Laminated Composites. Polymers. 2022; 14(13):2690. https://doi.org/10.3390/polym14132690
Chicago/Turabian StyleAzlin, M. N. M., S. M. Sapuan, M. Y. M. Zuhri, E. S. Zainudin, and R. A. Ilyas. 2022. "Thermal Stability, Dynamic Mechanical Analysis and Flammability Properties of Woven Kenaf/Polyester-Reinforced Polylactic Acid Hybrid Laminated Composites" Polymers 14, no. 13: 2690. https://doi.org/10.3390/polym14132690
APA StyleAzlin, M. N. M., Sapuan, S. M., Zuhri, M. Y. M., Zainudin, E. S., & Ilyas, R. A. (2022). Thermal Stability, Dynamic Mechanical Analysis and Flammability Properties of Woven Kenaf/Polyester-Reinforced Polylactic Acid Hybrid Laminated Composites. Polymers, 14(13), 2690. https://doi.org/10.3390/polym14132690
 
        





 
       