Processing of Holographic Hydrogels in Liquid Media: A Study by High-Performance Liquid Chromatography and Diffraction Efficiency
Abstract
:1. Introduction
2. Materials and Methods
2.1. Material Preparation
2.2. Holographic Setup
2.3. Washing Stages
2.4. High-pePrformance Liquid Chromatography (HPLC) and UV-Visible Analysis
3. Results
3.1. Study of the Composition of the Washing Solutions by HPLC and UV-Visible Analysis
3.2. Behaviour of the Diffraction Efficiency as a Function of the Washing Stages
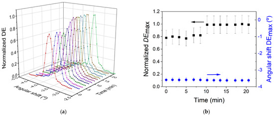
3.3. Temporal Stability of the Transmission Gratings
4. Conclusions
Author Contributions
Funding
Institutional Review Board Statement
Informed Consent Statement
Data Availability Statement
Acknowledgments
Conflicts of Interest
References
- Kostuk, R.K. Holography Principles and Applications; CRC Press: Boca Raton, FL, USA, 2019. [Google Scholar]
- Barachevsky, V.A. The Current Status of the Development of Light-Sensitive Media for Holography (a Review). Opt. Spectroc. 2018, 124, 373–407. [Google Scholar] [CrossRef]
- Fernández, E.; Fuentes, R.; Ortuño, M.; Beléndez, A.; Pascual, I. Holographic grating stability: Influence of 4,4′-azobis (4-cyanopentanoic acid) on various spatial frequencies. Appl. Opt. 2013, 52, 6322–6331. [Google Scholar] [CrossRef] [PubMed] [Green Version]
- Mora, M.P.; Ramírez, M.G.; Brocal, F.; Ortuño, M.; Beléndez, A.; Pascual, I. Influence of Tert-Butylthiol and Tetrahydrofuran on the Holographic Characteristics of a Polymer Dispersed Liquid Crystal: A Research Line Toward a Specific Sensor for Natural Gas and Liquefied Petroleum Gas. Polymers 2019, 11, 254. [Google Scholar] [CrossRef] [PubMed] [Green Version]
- Ramírez, M.G.; Lucío, M.I.; Morales-Vidal, M.; Beléndez, A.; Bañuls, M.J.; Maquieira, A.; Pascual, I. Holographic Transmission Gratings Stored in a Hydrogel Matrix. In Proceedings of the SPIE 113670, Photosensitive Materials and their Applications, Strasbourg, France, 1 April 2020. [Google Scholar]
- Bianco, G.; Ferrara, M.A.; Borbone, F.; Zuppardi, F.; Roviello, A.; Striano, V.; Coppola, G. Volume Holographic Gratings as Optical Sensor for Heavy Metal in Bathing Waters. In Proceedings of the SPIE 9506, Optical Sensors, Prague, Czech Republic, 5 May 2015. [Google Scholar]
- Millington, R.B.; Mayes, A.G.; Blyth, J.; Lowe, C.R. A Holographic Sensor for Proteases. Anal. Chem. 1995, 67, 4229–4233. [Google Scholar] [CrossRef]
- Blanche, P.A.; Tay, S.; Voorakaranam, R.; Saint-Hilaire, P.; Christenson, C.; Gu, T.; Lin, W.; Flores, D.; Wang, P.; Yamamoto, M.; et al. An Updatable Holographic Display for 3D Visualization. J. Disp. 2009, 4, 424–430. [Google Scholar] [CrossRef]
- Zawadzka, M.; Mikulchyk, T.; Cody, D.; Martin, S.; Yetisen, A.; Hurtado, J.; Butt, H.; Mihaylova, E.; Awala, H.; Mintova, S.; et al. Photonic Materials for Holographic Sensing. In Photonic Materials for Sensing, Biosensing and Display Devices; Serpe, M.J., Kang, Y., Zhang, Q.M., Eds.; Springer International Publishing: Cham, Switzerland, 2016; pp. 315–319. [Google Scholar]
- Tavakoli, J.; Tang, Y. Hydrogel based sensors for biomedical applications: An updated review. Polymers 2017, 9, 364. [Google Scholar] [CrossRef] [Green Version]
- Sun, X.; Agate, S.; Salem, K.S.; Lucia, L.; Pal, L. Hydrogel-Based Sensor Networks: Compositions, Properties, and Applications: A Review. ACS Appl. Bio. Mater. 2021, 4, 140–162. [Google Scholar] [CrossRef]
- Caló, E.; Khutoryanskiy, V.V. Biomedical applications of hydrogels: A review of patents and commercial products. Eur. Polym. J. 2015, 65, 252–267. [Google Scholar] [CrossRef] [Green Version]
- Merino, S.; Martín, C.; Kostarelos, K.; Prato, M.; Vázquez, E. Nanocomposite hydrogels: 3D polymer–nanoparticle synergies for on-demand drug delivery. ACS Nano 2015, 9, 4686–4697. [Google Scholar] [CrossRef] [Green Version]
- Sabbagh, F.; Muhamad, I.I. Acrylamide-based hydrogel drug delivery systems: Release of acyclovir from MgO nanocomposite hydrogel. J. Taiwan Inst. Chem. Eng. 2017, 72, 182–193. [Google Scholar] [CrossRef]
- Sabbagh, F.; Muhamad, I.I.; Nazari, Z.; Mobini, P.; Taraghdari, S.B. From formulation of acrylamide-based hydrogels to their optimization for drug release using response surface methodology. Mater. Sci. Eng. C 2018, 92, 20–25. [Google Scholar] [CrossRef] [PubMed]
- Yetisen, K.A.; Butt, H.; Volpatti, R.L.; Pavlichenko, I.; Humar, M.; Kwok, S.J.; Koo, H.; Kim, K.S.; Naydenova, I.; Khademhosseini, A.; et al. Photonic hydrogel sensors. Biotechnol. Adv. 2016, 34, 250–271. [Google Scholar] [CrossRef] [PubMed] [Green Version]
- Kim, J.; Singh, N.; Lyon, L.A. Label-free biosensing with hydrogel microlenses. Angew. Chem. Int. Ed. Engl. 2006, 45, 1446–1449. [Google Scholar] [CrossRef] [PubMed]
- Dean, K.E.S.; Horgan, A.M.; Marshall, A.J.; Kabilan, S.; Pritchard, J. Selective holographic detection of glucose using tertiary amines. Chem. Commun. 2006, 3507–3509. [Google Scholar] [CrossRef] [PubMed]
- Kabilan, S.; Blyth, J.; Lee, M.C.; Marshall, A.J.; Hussain, A.; Yang, X.; Lowe, C.R. Glucose-sensitive holographic sensors. J. Mol. Recognit. 2004, 17, 162–166. [Google Scholar] [CrossRef] [PubMed]
- Kabilan, S.; Marshall, A.J.; Sartain, F.K.; Lee, M.C.; Hussain, A.; Yang, X.; Blyth, J.; Karangu, N.; James, K.; Zeng, J.; et al. Holographic glucose sensors. Biosens. Bioelectron. 2005, 20, 1602–1610. [Google Scholar] [CrossRef] [PubMed]
- Horgan, A.M.; Marshall, A.J.; Kew, S.J.; Dean, K.E.S.; Creasey, C.D.; Kabilan, S. Crosslinking of phenylboronic acid receptors as a means of glucose selective holographic detection. Biosens. Bioelectron. 2006, 21, 1838–1845. [Google Scholar] [CrossRef]
- Lee, M.C.; Kabilan, S.; Hussain, A.; Yang, X.; Blyth, J.; Lowe, C.R. Glucose-sensitive holographic sensors for monitoring bacterial growth. Anal. Chem. 2004, 76, 5748–5755. [Google Scholar] [CrossRef]
- Asher, S.A.; Alexeev, V.L.; Goponenko, A.V.; Sharma, A.C.; Lednev, I.K.; Wilcox, C.S.; Finegold, D.N. Photonic crystal carbohydrate sensors: Low ionic strength sugar sensing. J. Am. Chem. Soc. 2003, 125, 3322–3329. [Google Scholar] [CrossRef]
- Alexeev, V.L.; Sharma, A.C.; Goponenko, A.V.; Das, S.; Lednev, I.K.; Wilcox, C.S.; Finegold, D.N.; Asher, S.A. High ionic strength glucose-sensing photonic crystal. Anal. Chem. 2003, 75, 2316–2323. [Google Scholar] [CrossRef]
- Yetisen, A.K.; Jiang, N.; Fallahi, A.; Montelongo, Y.; Ruiz-Esparza, G.U.; Tamayol, A.; Zhang, Y.S.; Mahmood, I.; Yang, S.A.; Kim, K.S.; et al. Glucose-sensitive hydrogel optical fibers functionalized with phenylboronic acid. Adv. Mater. 2017, 29, 1606380. [Google Scholar] [CrossRef] [PubMed]
- Tierney, S.; Falch, B.M.; Hjelme, D.R.; Stokke, B.T. Determination of glucose levels using a functionalized hydrogel-optical fiber biosensor: Toward continuous monitoring of blood glucose in vivo. Anal. Chem. 2009, 81, 3630–3636. [Google Scholar] [CrossRef] [PubMed]
- Elsherif, M.; Hassan, M.U.; Yetisen, A.K.; Butt, H. Hydrogel optical fibers for continuous glucose monitoring. Biosens. Bioelectron 2019, 137, 25–32. [Google Scholar] [CrossRef] [PubMed]
- Lucío, M.I.; Cubells-Gómez, A.; Maquieira, A.; Bañuls, M.-J. Hydrogel-based holographic sensors and biosensors: Past, present, and future. Anal. Bioanal. Chem. 2022, 414, 993–1014. [Google Scholar] [CrossRef]
- Wang, X.; Liu, X.; Wang, X. Hydrogel diffraction grating as sensor: A tool for studying volume phase transition of thermo-responsive hydrogel. Sens. Actuators B Chem. 2014, 204, 611–616. [Google Scholar] [CrossRef]
- Peng, H.Y.; Wang, W.; Gao, F.; Lin, S.; Liu, L.Y.; Pu, X.Q.; Liu, Z.; Ju, X.J.; Xie, R.; Chu, L.Y. Ultrasensitive diffraction gratings based on smart hydrogels for highly selective and rapid detection of trace heavy metal ions. J. Mater. Chem. C 2018, 6, 11356–11367. [Google Scholar] [CrossRef]
- Peng, H.Y.; Wang, W.; Gao, F.H.; Lin, S.; Ju, X.J.; Xie, R.; Liu, Z.; Faraj, Y.; Chu, L.Y. Smart hydrogel gratings for sensitive, facile, and rapid detection of ethanol concentration. Ind. Ing. Chem. Res. 2019, 58, 17833–17841. [Google Scholar]
- Goh, J.B.; Loo, R.W.; McAloney, R.A.; Goh, M.C. Diffraction-based assay for detecting multiple analytes. Anal. Bioanal. Chem. 2002, 374, 54–56. [Google Scholar] [CrossRef]
- Avella-Oliver, M.; Carrascosa, J.; Puchades, R.; Maquieira, A. Diffractive protein gratings as optically active transducers for high-throughput label-free immunosensing. Anal. Chem. 2017, 89, 9002–9008. [Google Scholar] [CrossRef]
- Juste-Doltz, A.; Delgado-Pinar, M.; Avella-Oliver, M.; Fernández, E.; Pastor, D.; Andrés, M.V.; Maquieira, A. BIO Bragg gratings on microfibers for label-free biosensing. Biosens. Bioelectron. 2021, 176, 112916. [Google Scholar] [CrossRef]
- Biosensors Market Size, Share & Trends Analysis Report by Technology (Thermal, Electrochemical, Optical), by Application (Medical, Agriculture), by End User (POC Testing, Food Industry), by Region, and Segment Forecasts, 2022–2030. Available online: https://www.grandviewresearch.com/industry-analysis/biosensors-market (accessed on 25 April 2022).
- Wang, X.; Wang, X. Aptamer-functionalized hydrogel diffraction gratings for the human Thrombin detection. Chem. Commun. 2013, 49, 5957–5959. [Google Scholar] [CrossRef] [PubMed]
- Ye, G.; Wang, X. Glucose sensing through diffraction grating of hydrogel bearing phenylboronic acid groups. Biosens. Bioelectron. 2010, 26, 772–777. [Google Scholar] [CrossRef] [PubMed]
- Zhao, J.J.; Wang, W.; Wang, F.; Zhao, Y.; Cai, Q.W.; Xie, R.; Ju, X.J.; Liu, Z.; Faraj, Y.; Chu, L.Y. Smart hydrogel grating immunosensors for highly selective and sensitive detection of human-IgG. Ind. Eng. Chem. Res. 2020, 59, 10469–10474. [Google Scholar] [CrossRef]
- Lucío, M.I.; Hernández-Montoto, A.; Fernández, E.; Alamri, S.; Kunze, T.; Banuls, M.J.; Maquieira, A. Label-free detection of C-Reactive protein using bioresponsive hydrogel-based surface relief diffraction gratings. Biosens. Bioelectron. 2021, 193, 113561. [Google Scholar] [CrossRef] [PubMed]
- Blyth, J.; Millington, R.B.; Mayes, A.G.; Lowe, C.R. A diffusion method for making silver bromide based holographic recording material. Imaging Sci. J. 1999, 47, 87–91. [Google Scholar] [CrossRef]
- Lippmann, G. Sur la théorie de la photographie des couleurs simples et composées par la méthode interférentielle. J. Phys. Theor. Appl. 1894, 3, 97–107. [Google Scholar] [CrossRef]
- Cody, D.; Gul, S.; Mikulchyk, T.; Irfan, M.; Kharchenko, A.; Goldyn, K.; Martin, S.; Mintova, S.; Cassidy, J.; Naydenova, I. Self-processing photopolymer materials for versatile design and fabrication of holographic sensors and interactive holograms. Appl. Opt. 2018, 57, E173–E183. [Google Scholar] [CrossRef]
- Ramirez, G.M.; Sirvent, D.; Morales-Vidal, M.; Ortuño, M.; Martinez-Guardiola, F.J.; Francés, J.; Pascual, I. LED-Cured Reflection Gratings Stored in an Acrylate-Based Photopolymer. Polymers 2019, 11, 632. [Google Scholar] [CrossRef] [Green Version]
- Ortuño, M.; Fernández, E.; Fuentes, R.; Gallego, S.; Pascual, I.; Beléndez, A. Improving the performance of PVA/AA photopolymers for holographic recording. Opt. Mat. 2013, 35, 668–673. [Google Scholar] [CrossRef]
- Ortuño, M.; Gallego, S.; García, C.; Pascual, I.; Neipp, C.; Beléndez, A. Holographic characteristics of an acrylamide/bisacrylamide photopolymer in 40–1000 µm thick layers. Phys. Scr. 2005, T118, 66–68. [Google Scholar] [CrossRef]
- Malallah, R.; Li, H.; Kelly, D.P.; Healy, J.J.; Sheridan, J.T. A review of hologram storage and self-written waveguides formation in photopolymer media. Polymers 2017, 9, 337. [Google Scholar] [CrossRef] [PubMed]
- Jiang, N.; Davies, S.; Jiao, Y.; Blyth, J.; Butt, H.; Montelongo, Y.; Yetisen, A.K. Doubly photopolymerized holographic sensors. ACS Sens. 2021, 6, 915–924. [Google Scholar] [CrossRef] [PubMed]
- Oliveira, N.C.L.; El Khoury, G.; Versnel, J.M.; Moghaddam, G.K.; Leite, L.S.; Lima-Filho, J.L.; Lowe, C.R. A holographic sensor based on a biomimetic affinity ligand for the detection of cocaine. Sens. Actuators B Chem. 2018, 270, 216–222. [Google Scholar] [CrossRef]
- Navarro-Fuster, V.; Ortuño, M.; Fernández, R.; Gallego, S.; Márquez, A.; Beléndez, A.; Pascual, I. Peristrophic multiplexed holograms recorded in a low toxicity photopolymer. Opt. Mater. Express 2017, 7, 133–147. [Google Scholar] [CrossRef] [Green Version]
- Jenney, J.A. Holographic recording with photopolymers. J. Opt. Soc. Am. 1970, 60, 1155–1161. [Google Scholar] [CrossRef]
- Tipton, M.D.; Armstrong, S.S. Improved Process of Reflection Holography Replication and Heat Processing. In Proceedings of the IS&T/SPIE 1994 International Symposium on Electronic Imaging: Science and Technology, San Jose, CA, USA, 6–10 February 1994; Volume 2176, pp. 172–183. [Google Scholar]
- Hossain, A.; Rayhan, A.B.M.S.; Raihan, M.J.; Nargis, A.; Ismail, I.M.I.; Habib, A.; Mahmood, A.J. Kinetics of Degradation of Eosin Y by One of the Advanced Oxidation Processes (AOPs)—Fenton’s Process. Am. J. Anal. Chem. 2016, 7, 863–879. [Google Scholar] [CrossRef] [Green Version]
- Reichardt, C. Solvatochromic Dyes as Solvent Polarity Indicators. Chem. Rev. 1994, 94, 2319–2358. [Google Scholar] [CrossRef]
- Trevor, R.G.; Donald, C.P. Correlations among solvent polarity scales, dielectric constant and dipole moment, and a means to reliable predictions of polarity scale values from cu. Coord. Chem. Rev. 1979, 29, 129–211. [Google Scholar]
- Yang, L.-J.; Yang, X.-Q.; Huang, K.-M.; Jia, G.-Z.; Shang, H. Dielectric Properties of Binary Solvent Mixtures of Dimethyl Sulfoxide with Water. Int. J. Mol. Sci. 2009, 10, 1261–1270. [Google Scholar] [CrossRef] [Green Version]
- Kubota, T. The Bending of Interference Fringes inside a Hologram. Opt. Acta: Int. J. Opt. 1979, 26, 731–743. [Google Scholar] [CrossRef]
- Park, K.; Park, H. Encyclopedia of Polymer Science and Technology; CRC Press: New York, NY, USA, 1996; Volume 10, p. 7785. [Google Scholar]
- Samchenko, Y.; Ulberg, Z.; Korotych, Z. Multipurpose smart hydrogel systems. Adv. Colloid Interface Sci. 2011, 168, 247–262. [Google Scholar] [CrossRef] [PubMed]
- Murat, O.M.; Okay, O. Swelling behavior of strong polyelectrolyte poly(N-t-butylacrylamide-co-acrylamide) hydrogels. Eur. Polym. J. 2003, 39, 877–886. [Google Scholar] [CrossRef]
- Mina, M.F.; Alam, M.M. Swelling behavior of acrylamide hydrogel in different solvents and pHs. Chin. J. Polym. Sci. 2005, 23, 269–274. [Google Scholar] [CrossRef]










Publisher’s Note: MDPI stays neutral with regard to jurisdictional claims in published maps and institutional affiliations. |
© 2022 by the authors. Licensee MDPI, Basel, Switzerland. This article is an open access article distributed under the terms and conditions of the Creative Commons Attribution (CC BY) license (https://creativecommons.org/licenses/by/4.0/).
Share and Cite
Berramdane, K.; G. Ramírez, M.; Zezza, P.; Lucío, M.I.; Bañuls, M.-J.; Maquieira, Á.; Morales-Vidal, M.; Beléndez, A.; Pascual, I. Processing of Holographic Hydrogels in Liquid Media: A Study by High-Performance Liquid Chromatography and Diffraction Efficiency. Polymers 2022, 14, 2089. https://doi.org/10.3390/polym14102089
Berramdane K, G. Ramírez M, Zezza P, Lucío MI, Bañuls M-J, Maquieira Á, Morales-Vidal M, Beléndez A, Pascual I. Processing of Holographic Hydrogels in Liquid Media: A Study by High-Performance Liquid Chromatography and Diffraction Efficiency. Polymers. 2022; 14(10):2089. https://doi.org/10.3390/polym14102089
Chicago/Turabian StyleBerramdane, Kheloud, Manuel G. Ramírez, Paola Zezza, María Isabel Lucío, María-José Bañuls, Ángel Maquieira, Marta Morales-Vidal, Augusto Beléndez, and Inmaculada Pascual. 2022. "Processing of Holographic Hydrogels in Liquid Media: A Study by High-Performance Liquid Chromatography and Diffraction Efficiency" Polymers 14, no. 10: 2089. https://doi.org/10.3390/polym14102089
APA StyleBerramdane, K., G. Ramírez, M., Zezza, P., Lucío, M. I., Bañuls, M.-J., Maquieira, Á., Morales-Vidal, M., Beléndez, A., & Pascual, I. (2022). Processing of Holographic Hydrogels in Liquid Media: A Study by High-Performance Liquid Chromatography and Diffraction Efficiency. Polymers, 14(10), 2089. https://doi.org/10.3390/polym14102089

