Preparation and Characterization of Hydrophilic Polymer Based Sustained-Release Matrix Tablets of a High Dose Hydrophobic Drug
Abstract
1. Introduction
- Reduced dose frequency, leading to no chance of a missed dose and subsequent enhancement in the patients’ compliance [5];
- Fluctuations in concentration of the drug in blood are overcome and a uniform level is maintained [6];
- Potent drugs can be administered in a safe way by controlling their release [5].
- Diffusion;
- Erosion;
- Mixed release (combination of diffusion and erosion).
2. Material and Methods
2.1. Material and Instrumentation
2.2. Evaluation of Compatibility of Drug and Polymer
2.3. Preparation of Clarithromycin Matrix Tablets
2.4. Pre Compression Evaluation
2.5. Evaluation of Matrix Tablets
2.5.1. Physical Parameters of Tablets
2.5.2. Mechanical Strength of Tablets
2.5.3. Determination of Drug Content
2.5.4. Determination of Dissolution Rate
2.5.5. Comparison of Dissolution Profiles
3. Results and Discussion
3.1. Selection of Excipients
3.2. Pre-Compression Evaluation
3.3. Post-Compression Evaluation
Physical Parameters of Matrix Tablets
3.4. Mechanical Strength of Tablets
3.5. Drug Release from Polymeric Matrix Tablets
3.6. Comparison of Dissolution Profiles
4. Conclusions
5. Future Prospect of the Study
Author Contributions
Funding
Institutional Review Board Statement
Informed Consent Statement
Data Availability Statement
Acknowledgments
Conflicts of Interest
References
- Khan, A.; Qayum, M.; Ahmad, L.; Khan, S.A.; Abbas, M. Optimization of diluents on the basis of SeDeM-ODT expert system for formulation development of ODTs of glimepiride. Adv. Powder Technol. 2022, 33, 103389. [Google Scholar] [CrossRef]
- Rao, T.; Nalluri, N. Effect of Recrystallization Technique on Oral Bioavailability of Valsartan. J. Drug Deliv. Ther. 2021, 11, 88–93. [Google Scholar] [CrossRef]
- Khan, A.; Iqbal, Z.; Rehman, Z.; Nasir, F.; Khan, A.; Ismail, M.; Mohammad, A. Application of SeDeM Expert system in formulation development of effervescent tablets by direct compression. Saudi Pharm. J. 2014, 22, 433–444. [Google Scholar] [CrossRef] [PubMed]
- Xu, Q.; Yang, N.; Feng, S.; Guo, J.; Liu, Q.B.; Hu, M. Cost-effectiveness analysis of combining traditional Chinese medicine in the treatment of hypertension: Compound Apocynum tablets combined with Nifedipine sustained-release tablets vs Nifedipine sustained-release tablets alone. BMC Complement. Med. Ther. 2020, 20, 1–10. [Google Scholar] [CrossRef] [PubMed]
- Gadhe, S. Formulation and evaluation of bilayer tablets of NSAID as an immediate release layer and sustained release layer. World J. Pharm. Res. 2017, 66, 952–961. [Google Scholar] [CrossRef][Green Version]
- Gunda, R.K.; Manchineni, P.R. Formulation Development and Evaluation of Rosuvastatin Sustained Release Tablets. J. Pharm. Ther. 2019, 5, 238–247. [Google Scholar] [CrossRef]
- Kulkarni, V.S.; Butte, K.D.; Rathod, S.S. Natural polymers—A comprehensive review. Int. J. Res. Pharm. Biomed. Sci. 2012, 3, 1597–1613. [Google Scholar]
- Patil, M.B.; Avish, D.M.; Jayshree, S.B. Formulation and Evaluation of Sustained Release Bilayer Matrix Tablet of Glimepiride and Metformin Hydrochloride. Asian J. Res. Pharm. Sci. 2021, 11, 4. [Google Scholar] [CrossRef]
- Rahamathulla, M.; Saisivam, S.; Alshetaili, A.; Hani, U.; Gangadharappa, H.V.; Alshehri, S.; Ghoneim, M.M.; Shakeel, F. Design and Evaluation of Losartan Potassium Effervescent Floating Matrix Tablets: In Vivo X-ray Imaging and Pharmacokinetic Studies in Albino Rabbits. Polymers 2021, 13, 3476. [Google Scholar] [CrossRef] [PubMed]
- Shaikh, M.; Desai, N.; Momin, M.; Bhatt, L.K. Formulation Development and In-vitro/Ex-vivo Evaluation for a Polysaccharide-based Colon Targeted Matrix Tablet. Curr. Drug Deliv. 2021, 18, 1563–1573. [Google Scholar] [CrossRef]
- Shete, N.A.; Lokhande, V.; Mane, P.; Yelawande, S. Formulation, Development and Evaluation of Sustained Release Matrix Tablet of Antihypertensive Drugs. Int. J. Drug Dev. Res. 2021, 13, 1–4. [Google Scholar]
- Nigusse, B.; Gebre-Mariam, T.; Belete, A. Design, development and optimization of sustained release floating, bioadhesive and swellable matrix tablet of ranitidine hydrochloride. PLoS ONE 2021, 16, e0253391. [Google Scholar] [CrossRef] [PubMed]
- Yang, M.; Xu, B.; Wang, X.; Li, W.; Cao, J.; Li, W.; Qiao, Y. Effect of Spray Drying Conditions on Physical Properties of Panax notoginseng Saponin (PNS) Powder and the Intra-Batch Dissolution Variability of PNS Hydrophilic Matrix Tablet. Drug Des. Dev. Ther. 2021, 15, 1425. [Google Scholar] [CrossRef] [PubMed]
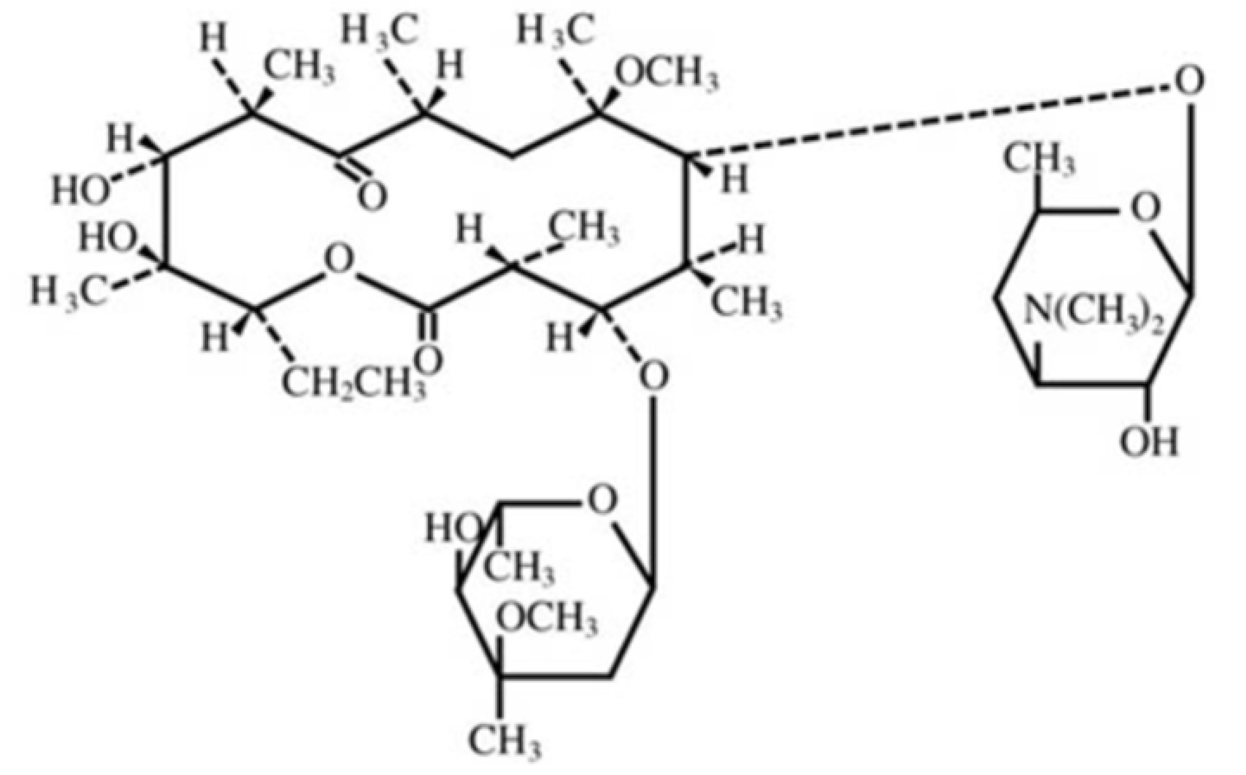
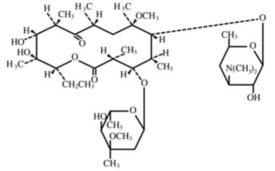
- Gedikli, M.A.; Tuzun, B.; Aktas, A.; Sayin, K.; Ataseven, H. Are clarithromycin, azithromycin and their analogues effective in the treatment of COVID19? Bratisl. Med. J. 2021, 122, 101–110. [Google Scholar] [CrossRef] [PubMed]
- Kocsmár, É.; Buzás, G.M.; Szirtes, I.; Kocsmár, I.; Kramer, Z.; Szijártó, A.; Lotz, G. Primary and secondary clarithromycin resistance in Helicobacter pylori and mathematical modeling of the role of macro-lides. Nat. Commun. 2021, 12, 2255. [Google Scholar] [CrossRef] [PubMed]
- Khan, A.; Iqbal, Z.; Khan, A.; Ullah, Z.; Ismail., I.; Hassan, M.; Shanbaz, N.; Khan, S.I.; Khan, I. Formulation and evaluation of taste masked orally disintegrating tablets of itopride HCl using hydrophillic polymers as drug carrier. Lat. Am. J. Pharm. 2015, 34, 1364–1372. [Google Scholar]
- USP-43/NF-38; The United States Pharmacopoeia. United States Pharmacopeial Convention, Inc.: Rockville, MD, USA, 2020.
- Paulo, C.; Jose, M.S.L. Modeling and comparison of dissolution profiles. Eur. J. Pharm. Sci. 2001, 13, 123–133. [Google Scholar]
- Bashar, A.A.; Hatim, S.A.; Ayman, A.K. Comparative dissolution of diltiazem immediate and extended release products using conventional USP and innovative dissolution paddles. Open Drug Deliv. J. 2010, 4, 48–54. [Google Scholar]
- Yousef, J.; Baharak, J.; Ali, N. Liquisolid technique for dissolution rate enhancement of a high dose water-insoluble drug (carbamazepine). Int. J. Pharm. 2007, 341, 26–34. [Google Scholar]
- Raymond, C.R.; Paul, J.S.; Marian, E.Q. Handbook of Pharmaceutical Excipients, 6th ed.; American Pharmaceutical Association; Pharmaceutical Press: London, UK, 2009.
- Sabbagh, F.; Muhamad, I.I.; Pa’e, N.; Hashim, Z. Strategies in improving properties of cellulose-based hydrogels for smart applications. In Cellulose-Based Superabsorbent Hydrogels; Mondal, M., Ed.; Springer: Cham, Switzerland, 2019; pp. 887–908. [Google Scholar]





| Sample | Composition |
|---|---|
| Sample-1 | Pure clarithromycin |
| Sample-2 | Clarithromycin + HPMC in 1:1 by weight |
| Sample-3 | Mixture of clarithromycin, HPMC and all the excipients in 1:1 by weight |
| Ingredients | Formulation-1 | Formulation-2 | Formulation-3 |
|---|---|---|---|
| Clarithromycin | 55.56 | 55.56 | 55.56 |
| HPMC | 10.00 | 15.00 | 20.00 |
| Lactose Monohydrate | 29.94 | 24.94 | 19.94 |
| Talcum | 3.00 | 3.00 | 3.00 |
| Mg. stearate | 1.50 | 1.50 | 1.50 |
| Purified water | QS | QS | QS |
| Analysis Time | Characteristic | Sample-1 | Sample-2 | Sample-3 | Sample-4 |
|---|---|---|---|---|---|
| Before subjecting to stress conditions | Drug Content | * 100.03 ± 0.38 | _ | 99.69 ± 0.73 | 99.81 ± 0.49 |
| IR Spectra | † Complied | Complied | Complied | Complied | |
| Physical State | Complied | Complied | Complied | Complied | |
| After subjecting to stress conditions | Drug Content | 100.01 ± 0.93 | _ | 99.81 ± 0.70 | 99.96 ± 0.37 |
| IR Spectra | Complied | Complied | Complied | Complied | |
| Physical State | Complied | Complied | Complied | Complied |
| Properties (Unit) | Formulation-1 | Formulation-2 | Formulation-3 |
|---|---|---|---|
| Angle of repose (°) | 23.19 ± 0.05 | 20.93 ± 0.05 | 20.56 ± 0.03 |
| Bulk density (g/mL) | 0.292 ± 0.04 | 0.301 ± 0.02 | 0.312 ± 0.02 |
| Taped density (g/mL) | 0.339 ± 0.03 | 0.352 ± 0.05 | 0.362 ± 0.04 |
| Car’s Index (%) | 15.55 ± 0.04 | 15.73 ± 0.02 | 16.44 ± 0.03 |
| Hausner Ratio | 1.16 ± 0.03 | 1.17 ± 0.06 | 1.16 ± 0.05 |
| Status | Parameters (Unit) | Formulation-1 | Formulation-2 | Formulation-3 |
|---|---|---|---|---|
| Physical Parameters | Weight (mg) | 910 | 917 | 909 |
| Weight variation (%) | 0.98 | 1.06 | 1.19 | |
| Diameter (mm) | 19 | 18.98 | 19.05 | |
| Thickness (mm) | 6.49 | 6.66 | 6.53 | |
| Drug content (%) | 1.16 | 1.04 | 1.02 | |
| Mechanical strength | Hardness (Kg) | 22 | 18 | 23.5 |
| Specific crushing strength (kg/Nmm2) | 0.056 | 0.045 | 0.06 | |
| Tensile strength (kg/Nmm2) | 0.113 | 0.0907 | 0.12 | |
| Friability (%) | 0.14 | 0.21 | 0.16 |
| Products | Conventional Tablets | Formulation-1 | Formulation-2 | Formulation-3 |
|---|---|---|---|---|
| Conventional Tablets | 100 | 13 | 11 | 6 |
| Formulation-1 | 13 | 100 | 29 | 17 |
| Formulation-2 | 11 | 29 | 100 | 43 |
| Formulation-3 | 6 | 17 | 43 | 100 |
Publisher’s Note: MDPI stays neutral with regard to jurisdictional claims in published maps and institutional affiliations. |
© 2022 by the authors. Licensee MDPI, Basel, Switzerland. This article is an open access article distributed under the terms and conditions of the Creative Commons Attribution (CC BY) license (https://creativecommons.org/licenses/by/4.0/).
Share and Cite
Khan, N.A.; Khan, A.; Ullah, R.; Ullah, M.; Alotaibi, A.; Ullah, R.; Haider, A. Preparation and Characterization of Hydrophilic Polymer Based Sustained-Release Matrix Tablets of a High Dose Hydrophobic Drug. Polymers 2022, 14, 1985. https://doi.org/10.3390/polym14101985
Khan NA, Khan A, Ullah R, Ullah M, Alotaibi A, Ullah R, Haider A. Preparation and Characterization of Hydrophilic Polymer Based Sustained-Release Matrix Tablets of a High Dose Hydrophobic Drug. Polymers. 2022; 14(10):1985. https://doi.org/10.3390/polym14101985
Chicago/Turabian StyleKhan, Niaz Ali, Amjad Khan, Rooh Ullah, Majeed Ullah, Amal Alotaibi, Riaz Ullah, and Adnan Haider. 2022. "Preparation and Characterization of Hydrophilic Polymer Based Sustained-Release Matrix Tablets of a High Dose Hydrophobic Drug" Polymers 14, no. 10: 1985. https://doi.org/10.3390/polym14101985
APA StyleKhan, N. A., Khan, A., Ullah, R., Ullah, M., Alotaibi, A., Ullah, R., & Haider, A. (2022). Preparation and Characterization of Hydrophilic Polymer Based Sustained-Release Matrix Tablets of a High Dose Hydrophobic Drug. Polymers, 14(10), 1985. https://doi.org/10.3390/polym14101985

