Odor and Constituent Odorants of HDPE–Lignin Blends of Different Lignin Origin
Abstract
:1. Introduction
2. Materials and Methods
2.1. Sample Material
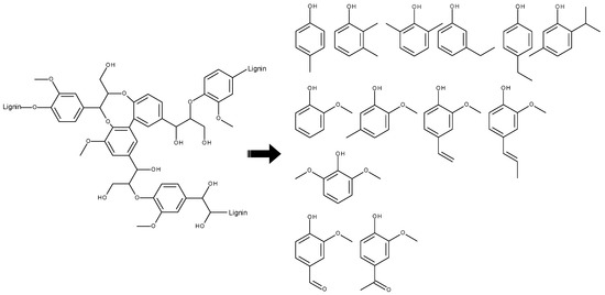
2.1.1. Origin and Characteristics of Raw Materials
2.1.2. Production of HDPE-Lignin Blends
2.2. Sensory Evaluation
2.3. Instrumental–Olfactometric Analyses
2.3.1. Solvent Extraction and Isolation of Volatiles
2.3.2. GC-O and Odor Extract Dilution Analysis (OEDA)
2.3.3. GC-MS/O and Two-Dimensional GC-MS/O
3. Results
3.1. Sensory Evaluation
3.2. Identification of Odor-Active Compounds via Instrumental Analyses
3.2.1. Carboxylic Acids
3.2.2. Saturated and Unsaturated Aldehydes
3.2.3. Phenolic Compounds
3.2.4. Compounds with a Furan-Derived Core Structure
3.2.5. Alkylated 2-Cyclopenten-1-Ones
3.2.6. Sulfur Compounds
4. Discussion
4.1. Correlation of Sensory Results with Analytically Identified Odorants
4.2. Influence of Raw Materials and Processing on the Odor Profiles
4.2.1. Influence of Raw Materials
4.2.2. Influence of Processing
5. Conclusions
Author Contributions
Funding
Institutional Review Board Statement
Informed Consent Statement
Data Availability Statement
Acknowledgments
Conflicts of Interest
Appendix A
Chemicals and Reference Substances
References
- Boerjan, W.; Ralph, J.; Baucher, M. Lignin Biosynthesis. Annu. Rev. Plant Biol. 2003, 54, 519–546. [Google Scholar] [CrossRef] [PubMed]
- Lucia, L.A.; Argyropoulos, D.S.; Adamopoulos, L.; Gaspar, A.R. Chemicals and energy from biomass. Can. J. Chem. 2006, 84, 960–970. [Google Scholar] [CrossRef] [Green Version]
- Feldman, D. Lignin and Its Polyblends—A Review. In Chemical Modification, Properties, and Usage of Lignin; Hu, T.Q., Ed.; Springer: New York, NY, USA, 2002; pp. 81–99. [Google Scholar]
- Stewart, D. Lignin as a base material for materials applications: Chemistry, application and economics. Ind. Crops Prod. 2008, 27, 202–207. [Google Scholar] [CrossRef]
- Naseem, A.; Tabasum, S.; Zia, K.M.; Zuber, M.; Ali, M.; Noreen, A. Lignin-derivatives based polymers, blends and composites: A review. Int. J. Biol. Macromol. 2016, 93, 296–313. [Google Scholar] [CrossRef] [PubMed]
- Whetten, R.; Sederoff, R. Lignin Biosynthesis. Plant Cell 1995, 7, 1001–1013. [Google Scholar] [CrossRef] [PubMed]
- Upton, B.M.; Kasko, A.M. Strategies for the Conversion of Lignin to High-Value Polymeric Materials: Review and Perspective. Chem. Rev. 2016, 116, 2275–2306. [Google Scholar] [CrossRef]
- Doherty, W.O.S.; Mousavioun, P.; Fellows, C.M. Value-adding to cellulosic ethanol: Lignin polymers. Ind. Crops Prod. 2011, 33, 259–276. [Google Scholar] [CrossRef] [Green Version]
- Strassberger, Z.; Tanase, S.; Rothenberg, G. The pros and cons of lignin valorisation in an integrated biorefinery. RSC Adv. 2014, 4, 25310–25318. [Google Scholar] [CrossRef] [Green Version]
- Thakur, V.K.; Thakur, M.K.; Raghavan, P.; Kessler, M.R. Progress in Green Polymer Composites from Lignin for Multifunctional Applications: A Review. ACS Sustain. Chem. Eng. 2014, 2, 1072–1092. [Google Scholar] [CrossRef]
- Tuck, C.O.; Pérez, E.; Horváth, I.T.; Sheldon, R.A.; Poliakoff, M. Valorization of Biomass: Deriving More Value from Waste. Science 2012, 337, 695–699. [Google Scholar] [CrossRef]
- Dehne, L.; Vila Babarro, C.; Saake, B.; Schwarz, K.U. Influence of lignin source and esterification on properties of lignin-polyethylene blends. Ind. Crops Prod. 2016, 86, 320–328. [Google Scholar] [CrossRef]
- Pucciariello, R.; Villani, V.; Bonini, C.; D’Auria, M.; Vetere, T. Physical properties of straw lignin-based polymer blends. Polymer 2004, 45, 4159–4169. [Google Scholar] [CrossRef]
- Ten, E.; Vermerris, W. Recent developments in polymers derived from industrial lignin. J. Appl. Polym. Sci. 2015, 132, 42069. [Google Scholar] [CrossRef] [Green Version]
- Sen, S.; Patil, S.; Argyropoulos, D.S. Thermal properties of lignin in copolymers, blends, and composites: A review. Green Chem. 2015, 17, 4862–4887. [Google Scholar] [CrossRef]
- Kadla, J.F.; Kubo, S. Lignin-based polymer blends: Analysis of intermolecular interactions in lignin–synthetic polymer blends. Compos. Part A 2004, 35, 395–400. [Google Scholar] [CrossRef]
- Erdmann, J.; Engelmann, G.; Ganster, J. Thermoplastic Polymer Compounds with Low Molecular Weight Lignins, Process for Their Preparation, Moldings and Uses. Wipo (Wo2014122089a1). 2014. Available online: https://patentscope.wipo.int/search/en/detail.jsf?docId=WO2014122089&_cid=P21-KQKYT5-96364-1 (accessed on 5 December 2021).
- Sameni, J.; Jaffer, S.A.; Sain, M. Thermal and mechanical properties of soda lignin/HDPE blends. Compos. Part A 2018, 115, 104–111. [Google Scholar] [CrossRef]
- Kai, D.; Tan, M.J.; Chee, P.L.; Chua, Y.K.; Yap, Y.L.; Loh, X.J. Towards lignin-based functional materials in a sustainable world. Green Chem. 2016, 18, 1175–1200. [Google Scholar] [CrossRef]
- Collins, M.N.; Nechifor, M.; Tanasă, F.; Zănoagă, M.; McLoughlin, A.; Stróżyk, M.A.; Culebras, M.; Teacă, C.-A. Valorization of lignin in polymer and composite systems for advanced engineering applications–A review. Int. J. Biol. Macromol. 2019, 131, 828–849. [Google Scholar] [CrossRef] [PubMed]
- Treimanis, A.; Laka, M.; Chernyavskaya, S.; Ganster, J.; Erdmann, J.; Ziegler, L.; Birska, I. Microcrystalline Cellulose Fillers for Use in Hybrid Composites With Polyethylene and Lignin. Cellul. Chem. Technol. 2016, 50, 117–125. [Google Scholar]
- Erdmann, J.; Engelmann, G.; Ganster, J. Micro-Structured Composite Material, Method for Producing Same, Mouldings Made of Same, and Uses Thereof. Wipo (Wo2014121967 (A1)). 2014. Available online: https://worldwide.espacenet.com/publicationDetails/biblio?DB=EPODOC&II=4&ND=4&adjacent=true&locale=de_EP&FT=D&date=20140814&CC=WO&NR=2014121967A1&KC=A1# (accessed on 5 December 2021).
- Reynolds, W.; Baudron, V.; Kirsch, C.; Schmidt, L.M.; Singer, H.; Zenker, L.; Zetzl, C.; Smirnova, I. Odor-Free Lignin from Lignocellulose by Means of High Pressure Unit Operations: Process Design, Assessment and Validation. Chem. Ing. Tech. 2016, 88, 1513–1517. [Google Scholar] [CrossRef]
- Karnofski, M.A. Odor generation in the kraft process. J. Chem. Educ. 1975, 52, 490–492. [Google Scholar] [CrossRef]
- Yoon, S.H.; Chai, X.S.; Zhu, J.Y.; Li, J.; Malcolm, E.W. In-digester reduction of organic sulfur compounds in kraft pulping. Adv. Environ. Res. 2001, 5, 91–98. [Google Scholar] [CrossRef]
- Kouisni, L.; Gagné, A.; Maki, K.; Holt-Hindle, P.; Paleologou, M. LignoForce System for the Recovery of Lignin from Black Liquor: Feedstock Options, Odor Profile, and Product Characterization. ACS Sustain. Chem. Eng. 2016, 4, 5152–5159. [Google Scholar] [CrossRef]
- Czerny, M.; Christlbauer, M.; Christlbauer, M.; Fischer, A.; Granvogl, M.; Hammer, M.; Hartl, C.; Hernandez, N.M.; Schieberle, P. Re-investigation on odour thresholds of key food aroma compounds and development of an aroma language based on odour qualities of defined aqueous odorant solutions. Eur. Food Res. Technol. 2008, 228, 265–273. [Google Scholar] [CrossRef]
- Kalliola, A.K.; Savolainen, A.; Ohra-aho, T.; Faccio, G.; Tamminen, T. Reducing the content of VOCs of softwood kraft lignins for material applications. BioResources 2012, 7, 2871–2882. [Google Scholar]
- Engel, W.; Bahr, W.; Schieberle, P. Solvent assisted flavour evaporation–a new and versatile technique for the careful and direct isolation of aroma compounds from complex food matrices. Eur. Food Res. Technol. 1999, 209, 237–241. [Google Scholar] [CrossRef]
- Bemelmans, J.M.H. Review of isolation and concentration techniques. Prog. Flavour Res. 1979, 8, 79–98. [Google Scholar]
- Grosch, W. Evaluation of the key odorants of foods by dilution experiments, aroma models and omission. Chem. Senses 2001, 26, 533–545. [Google Scholar] [CrossRef]
- Buettner, A.; Schieberle, P. Application of a comparative aroma extract dilution analysis to monitor changes in orange juice aroma compounds during processing. ACS Symp. Ser. 2001, 782, 33–45. [Google Scholar] [CrossRef]
- Van den Dool, H.; Kratz, P.D. A generalization of the retention index system including linear temperature programmed gas-liquid partition chromatography. J. Chromatogr. A 1963, 11, 463–471. [Google Scholar] [CrossRef]
- Buck, N.; Goblirsch, T.; Beauchamp, J.; Ortner, E. Key Aroma Compounds in Two Bavarian Gins. Appl. Sci. 2020, 10, 7269. [Google Scholar] [CrossRef]
- Masanetz, C.; Grosch, W. Hay-like off-flavour of dry parsley. Z. Lebensm. Unters. F A 1998, 206, 114–120. [Google Scholar] [CrossRef]
- Sapers, G.M.; Pamasiuk, O.; Talley, F.B.; Osman, S.F.; Shaw, R.L. Flavor quality and stability of potato flakes. J. Food Sci. 1972, 37, 579–583. [Google Scholar] [CrossRef]
- Murray, K.E.; Shipton, J.; Whitfield, F.B.; Last, J.H. The volatiles of off-flavoured unblanched green peas (Pisum sativum). J. Sci. Food Agric. 1976, 27, 1093–1107. [Google Scholar] [CrossRef]
- Wasserman, A.E. Organoleptic Evaluation of Three Phenols Present in Wood Smoke. J. Food Sci. 1966, 31, 1005–1010. [Google Scholar] [CrossRef]
- Fiddler, W.; Doerr, R.C.; Wasserman, A.E.; Salay, J.M. Composition of Hickory Sawdust Smoke. Furans and Phenols. J. Agric. Food. Chem. 1966, 14, 659–662. [Google Scholar] [CrossRef]
- Frauendorfer, F.; Christlbauer, M.; Chetschik, I.; Schaller, J.-P. Chapter 100-Elucidation of Ashtray Odor. In Flavour Science; Ferreira, V., Lopez, R., Eds.; Academic Press: Cambridge, MA, USA, 2014; pp. 547–551. [Google Scholar]
- Levins, P.L.; Kendall, D.A.; Caragay, A.B.; Leonardos, G.; Oberholtzer, J.E. Chemical Analysis of Diesel Exhaust Odor Species. SAE Trans. 1974, 83, 985–995. [Google Scholar]
- Arnarp, J.; Bielawski, J.; Dahlin, B.-M.; Dahlman, O.; Enzell, R.C.; Pettersson, T. Tobacco smoke chemistry. Alkyl and alkenyl substituted guaiacols found in cigarette smoke condensate. Acta Chem. Scand. 1989, 43, 44–50. [Google Scholar] [CrossRef] [PubMed] [Green Version]
- Schutz, H.G. A matching-standards method for characterizing odor qualities. Ann. N. Y. Acad. Sci. 1964, 116, 517–526. [Google Scholar] [CrossRef]
- Schranz, M.; Lorber, K.; Klos, K.; Kerschbaumer, J.; Buettner, A. Influence of the chemical structure on the odor qualities and odor thresholds of guaiacol-derived odorants, Part 1: Alkylated, alkenylated and methoxylated derivatives. Food Chem. 2017, 232, 808–819. [Google Scholar] [CrossRef]
- Holladay, J.E.; White, J.F.; Bozell, J.J.; Johnson, D. Top Value-Added Chemicals from Biomass-Volume II—Results of Screening for Potential Candidates from Biorefinery Lignin; Pacific Northwest National Laboratory: Richland, WA, USA, 2007.
- Buettner, A.; Schieberle, P. Influence of mastication on the concentrations of aroma volatiles—Some aspects of flavour release and flavour perception. Food Chem. 2000, 71, 347–354. [Google Scholar] [CrossRef]
- Guadagni, D.G.; Buttery, R.G.; Okano, S.; Burr, H.K. Additive effect of sub-threshold concentrations of some organic compounds associated with food aromas. Nature 1963, 200, 1288–1289. [Google Scholar] [CrossRef] [PubMed]
- Newth, F.H. The Formation of Furan Compounds from Hexoses. In Advances in Carbohydrate Chemistry; Hudso, C.S., Canto, S.M., Eds.; Academic Press: Cambridge, MA, USA, 1951; pp. 83–106. [Google Scholar]
- Crews, C.; Castle, L. A review of the occurrence, formation and analysis of furan in heat-processed foods. Trends Food Sci. Technol. 2007, 18, 365–372. [Google Scholar] [CrossRef]




| Sample Name | Supplier | Commercial Name | Characteristics According to the Supplier’s Specification |
|---|---|---|---|
| virgin HDPE | Sabic | HDPE M80064 | injection molding grade; narrow molecular weight distribution; MFR = 8.0 g/10 min |
| compatibilizer | DuPont | Fusabond E-MB 100D | maleic anhydride grafted HDPE; MFR = 2.0 g/10 min |
| soda lignin | PLT Innovations | Protobind 1000 | sulfur free (>90%) soda lignin from agricultural fibrous feedstocks (wheat straw/Sarkanda grass) |
| kraft pine lignin | Ingevity | Indulin AT | kraft softwood lignin resulting from pinewood only; highly purified; free of all hemicellulose materials |
| kraft softwood lignin | UPM Biochemicals | BioPiva 100 | kraft softwood lignin resulting from different softwoods, sulfur content < 3% |
| No. a | Odorant | Odor Quality b | RI c on | OD d | |||||||
|---|---|---|---|---|---|---|---|---|---|---|---|
| DB-FFAP | DB-5 | Soda Lignin | Kraft Pine Lignin | Kraft Softwood Lignin | Identification Criteria e | ||||||
| HDPE-Lignin Blend | Pure Lignin | HDPE-Lignin Blend | Pure Lignin | HDPE-Lignin Blend | Pure Lignin | ||||||
| 1 | 2,3-butanedione | butter-like | 984 | 601 | 27 | 1 | 1 | <1 | 1 | <1 | RI, O, MS, RC |
| 2 | 2,3-pentanedione | butter-like | 1056 | 698 | 1 | <1 | <1 | <1 | <1 | <1 | RI, O, RC |
| 3 | dimethyl disulfide | cabbage-like | 1077 | 708 | <1 | <1 | <1 | <1 | 1 | 9 | RI, O, MS, RC |
| 4 | hexanal | grassy | 1080 | 801 | 1 | 27 | <1 | <1 | <1 | <1 | RI, O, MS, RC |
| 5 | unknown | sulfurous | 1113 | n.d. | 1 | <1 | 1 | <1 | 1 | 1 | - |
| 6 | 4-methoxy-2-methyl-2-butanethiol | blackcurrant-like | 1206 | 925 | <1 | <1 | <1 | <1 | 9 | 3 | RI, O, RC |
| 7 | unknown | garlic-like, sulfurous | 1239 | n.d. | <1 | <1 | <1 | 1 | <1 | 3 | - |
| 8 | (Z)-4-heptenal | fishy, fatty | 1231 | 896 | 9 | 27 | <1 | <1 | <1 | <1 | RI, O, MS, RC |
| 9 | bis(methylthio)methane | sulfurous, garlic-like | 1271 | 898 | <1 | <1 | <1 | <1 | 9 | 9 | RI, O, MS, RC |
| 10 | octanal | citrus-like, soapy | 1281 | 1002 | 1 | 3 | <1 | <1 | <1 | <1 | RI, O, MS, RC |
| 11 | 1-octen-3-one | mushroom-like | 1292 | 979 | 3 | 9 | <1 | <1 | <1 | <1 | RI, O, RC |
| 12 | 1-methoxy-3-methyl-3-pentanethiol | blackcurrant-like | 1324 | 1036 | <1 | <1 | 1 | <1 | 9 | <1 | RI, O |
| 13 | 2-acetyl-1-pyrroline | popcorn-like, roasty | 1327 | 928 | 1 | 3 | 1 | 1 | <1 | <1 | RI, O, RC |
| 14 | dimethyl trisulfide | garlic-like, cabbage-like | 1365 | 970 | 27 | 9 | 243 | 3 | 81 | 81 | RI, O, MS, RC |
| 15 | 4-mercapto-4-methyl-2-pentanone | blackcurrant-like, sulfurous | 1374 | 943 | <1 | <1 | <1 | <1 | <1 | 9 | RI, O, RC |
| 16 | nonanal | citrus-like, soapy | 1383 | 1103 | <1 | 1 | <1 | <1 | <1 | <1 | RI, O, MS, RC |
| 17 | 1,1-bis(ethylthio)ethane | sulfurous | 1387 | 1082 | <1 | <1 | <1 | <1 | <1 | 27 | RI, O |
| 18 | (E)-2-octenal | fatty | 1418 | 1057 | 1 | 27 | <1 | <1 | <1 | <1 | RI, O, MS, RC |
| 19 | 2-furfurylthiol (2-furanmethanethiol) | roasted coffee bean-like | 1428 | 914 | 81 | 3 | 81 | 1 | 243 | 27 | RI, O, MS, RC |
| 20 | acetic acid | vinegar-like | 1445 | 619 | 3 | 27 | 1 | 27 | <1 | 3 | RI, O, MS, RC |
| 21 | 2-ethyl-3,5-dimethylpyrazine | earthy | 1449 | 1095 | 1 | 9 | 3 | <1 | <1 | <1 | RI, O, MS, RC |
| 22 | (E,E)-2,4-heptadienal | fatty, cucumber-like | 1483 | 1016 | <1 | 1 | <1 | <1 | <1 | <1 | RI, O, MS, RC |
| 23 | (Z)-2-nonenal | green, fatty | 1493 | 1145 | 3 | 27 | 3 | 3 | 9 | 1 | RI, O, MS, RC |
| 24 | (E)-2-nonenal | fatty, cardboard-like | 1523 | 1160 | 81 | 729 | 9 | 3 | 81 | 1 | RI, O, MS, RC |
| 25 | 3,5-dimethyl-2-vinylpyrazine | earthy | 1548 | 1109 | 3 | <1 | 1 | <1 | <1 | <1 | RI, O, RC |
| 26 | (E,Z)-2,6-nonadienal | cucumber-like | 1573 | 1159 | 27 | 243 | 9 | 9 | 3 | <1 | RI, O, MS, RC |
| 27 | unknown | blackcurrant-like | 1600 | n.d. | 1 | <1 | 3 | <1 | 9 | 9 | - |
| 28 | 2-acetylpyrazine | popcorn-like, roasty | 1610 | 1023 | 1 | 1 | 3 | <1 | 3 | 1 | RI, O, RC |
| 29 | butanoic acid | cheesy, sweaty | 1618 | 808 | 1 | 27 | 1 | 9 | <1 | 3 | RI, O, MS, RC |
| 30 | 4-mercapto-2-butanol | leek-like, burnt, onion-like | 1623 | 919 | <1 | <1 | 3 | <1 | 9 | 1 | RI, O, RC |
| 31 | phenylacetaldehyde | honey-like, flowery | 1638 | 1050 | 9 | 3 | <1 | <1 | 1 | 1 | RI, O, MS, RC |
| 32 | 2-/3-methylbutanoic acid | cheesy, sweaty | 1650 | 870 | 1 | 81 | <1 | 3 | <1 | 9 | RI, O, MS, RC |
| 33 | 2-methyl-3-(methylthio)furan | meat-like, cabbage-like | 1656 | 943 | 3 | 3 | 3 | <1 | 9 | 1 | RI, O |
| 34 | 2-methyl-3-(methyldithio)furan | broth-like, meat-like | 1667 | 1178 | 27 | <1 | 81 | <1 | 81 | 1 | RI, O |
| 35 | unknown | coriander-like, geranium-like | 1689 | 1290 | 27 | 81 | <1 | <1 | <1 | <1 | - |
| 36 | (E,E)-2,4-nonadienal | fatty, nutty | 1692 | 1212 | 9 | 81 | 1 | <1 | 3 | 1 | RI, O, MS, RC |
| 37 | pentanoic acid | cheesy, fruity | 1725 | 894 | <1 | 9 | <1 | 1 | <1 | 1 | RI, O, MS, RC |
| 38 | 2-acetyl-2-thiazoline | popcorn-like, roasty | 1735 | 1108 | <1 | <1 | <1 | <1 | <1 | 3 | RI, O, RC |
| 39 | dimethyl tetrasulfide | sulfurous, cabbage-like | 1738 | 1223 | 1 | <1 | 27 | <1 | 27 | <1 | RI, O, MS |
| 40 | (E)-2-undecenal | coriander-like | 1744 | 1365 | 27 | 27 | 9 | 3 | 9 | 3 | RI, O, MS, RC |
| 41 | 3-methylpentanoic acid | cheesy, fruity | 1777 | 950 | <1 | 1 | <1 | 1 | <1 | <1 | RI, O, RC |
| 42 | 3-ethyl-2-hydroxy-2-cyclopenten-1-one | caramel-like | 1792 | 1053 | 27 | 2187 | 9 | 243 | 27 | 2187 | RI, O, MS, RC |
| 43 | (E,E)-2,4-decadienal | fatty | 1801 | 1317 | 3 | 1 | 3 | <1 | 9 | <1 | RI, O, MS, RC |
| 44 | (E)-β-damascenone | grape juice-like | 1809 | 1387 | 3 | 27 | <1 | <1 | <1 | <1 | RI, O, MS, RC |
| 45 | cycloten (2-hydroxy-3-methyl-2-cyclopenten-1-one) | lovage-like | 1827 | 1029 | 81 | 243 | 27 | 243 | 27 | 729 | RI, O, MS, RC |
| 46 | unknown | caramel-like | 1850 | 1142 | 81 | 729 | 27 | 243 | 27 | 729 | - |
| 47 | 2-methoxyphenol (guaiacol) | smoky, smoked ham-like | 1862 | 1087 | 243 | 2187 | 2187 | 2187 | 2187 | >2187 | RI, O, MS, RC |
| 48 | 2,6-dimethylphenol | rubber-like | 1904 | 1106 | <1 | 3 | 9 | 3 | 9 | 27 | RI, O, MS, RC |
| 49 | 2-phenylethanol | rosy, flowery | 1908 | 1115 | 3 | 27 | <1 | <1 | 1 | 81 | RI, O, MS, RC |
| 50 | 2-methoxy-5-methylphenol | smoky, clove-like | 1935 | 1191 | 1 | 1 | <1 | <1 | 1 | 3 | RI, O, MS, RC |
| 51 | 5-methylhexanoic acid | cheesy, sweaty | 1957 | 1020 | <1 | <1 | <1 | <1 | <1 | 9 | RI, O, RC |
| 52 | unknown | broth-like, meat-like | 1963 | n.d. | 81 | <1 | 729 | <1 | 729 | <1 | - |
| 53 | 4-hydroxy-2,5-dimethyl-3(2H)-furanone (furaneol) | caramel-like | 2022 | 1076 | 243 | 3 | 27 | <1 | 81 | 1 | RI, O, MS, RC |
| 54 | γ-nonalactone | coconut-like | 2026 | 1360 | <1 | 27 | 1 | 81 | <1 | 81 | RI, O, MS, RC |
| 55 | 4-methylphenol (p-cresol) | horse stable-like, fecal | 2078 | 1068 | 3 | 27 | 3 | 3 | 3 | 9 | RI, O, MS, RC |
| 56 | 2,3-dimethylphenol | phenolic, leather-like | 2141 | 1200 | <1 | 1 | <1 | <1 | 1 | 3 | RI, O, MS, RC |
| 57 | 4-ethylphenol | fecal, phenolic | 2169 | 1171 | <1 | <1 | <1 | <1 | <1 | 3 | RI, O, MS, RC |
| 58 | 3-ethylphenol | leather-like, phenolic | 2172 | 1179 | 27 | 729 | 3 | 9 | 3 | 27 | RI, O, MS, RC |
| 59 | 2-isopropyl-5-methylphenol (thymol) | thyme-like | 2178 | 1297 | <1 | 1 | <1 | <1 | 3 | 9 | RI, O, MS, RC |
| 60 | 2-methoxy-4-vinylphenol | clove-like, smoked ham-like | 2195 | 1326 | 2187 | 243 | 729 | 1 | 81 | 3 | RI, O, MS, RC |
| 61 | wine lacton | coconut-like, dill-like | 2213 | 1458 | <1 | <1 | 3 | 3 | 9 | 27 | RI, O, RC |
| 62 | 2,6-dimethoxyphenol | smoked ham-like, smoky | 2260 | 1363 | 243 | 2187 | 27 | 81 | 3 | 9 | RI, O, MS, RC |
| 63 | cinnamyl alcohol | flowery | 2287 | 1313 | <1 | <1 | <1 | 1 | <1 | 27 | RI, O, MS, RC |
| 64 | isoeugenol | clove-like, smoky | 2311 | 1453 | 9 | <1 | 27 | 1 | 9 | <1 | RI, O, MS, RC |
| 65 | γ-dodecalactone | peach-like | 2374 | 1679 | 27 | 81 | 1 | 3 | 1 | 1 | RI, O, MS, RC |
| 66 | unknown | smoky, clove-like | 2452 | n.d. f | 9 | <1 | 9 | 3 | 9 | <1 | - |
| 67 | 3-methylindole (skatole) | fecal, mothball-like | 2496 | 1391 | 9 | 9 | 9 | <1 | <1 | <1 | RI, O, MS, RC |
| 68 | phenylacetic acid | honey-like, beeswax-like | 2541 | 1254 | 27 | 243 | <1 | 3 | <1 | 27 | RI, O, MS, RC |
| 69 | vanillin | vanilla-like | 2563 | 1400 | 2187 | >2187 | 243 | 729 | 243 | 243 | RI, O, MS, RC |
| 70 | 3-phenylpropanoic acid | honey-like, flowery | 2626 | 1339 | 1 | 9 | <1 | 1 | <1 | 1 | RI, O, MS, RC |
| 71 | 4-acetyl-2-methoxyphenol | vanilla-like | 2640 | 1486 | 27 | 729 | 9 | 3 | 1 | 27 | RI, O, MS, RC |
Publisher’s Note: MDPI stays neutral with regard to jurisdictional claims in published maps and institutional affiliations. |
© 2022 by the authors. Licensee MDPI, Basel, Switzerland. This article is an open access article distributed under the terms and conditions of the Creative Commons Attribution (CC BY) license (https://creativecommons.org/licenses/by/4.0/).
Share and Cite
Lok, B.; Mueller, G.; Ganster, J.; Erdmann, J.; Buettner, A.; Denk, P. Odor and Constituent Odorants of HDPE–Lignin Blends of Different Lignin Origin. Polymers 2022, 14, 206. https://doi.org/10.3390/polym14010206
Lok B, Mueller G, Ganster J, Erdmann J, Buettner A, Denk P. Odor and Constituent Odorants of HDPE–Lignin Blends of Different Lignin Origin. Polymers. 2022; 14(1):206. https://doi.org/10.3390/polym14010206
Chicago/Turabian StyleLok, Bianca, Gunnar Mueller, Johannes Ganster, Jens Erdmann, Andrea Buettner, and Philipp Denk. 2022. "Odor and Constituent Odorants of HDPE–Lignin Blends of Different Lignin Origin" Polymers 14, no. 1: 206. https://doi.org/10.3390/polym14010206
APA StyleLok, B., Mueller, G., Ganster, J., Erdmann, J., Buettner, A., & Denk, P. (2022). Odor and Constituent Odorants of HDPE–Lignin Blends of Different Lignin Origin. Polymers, 14(1), 206. https://doi.org/10.3390/polym14010206

