Effect of PLA Active Packaging Containing Monoterpene-Cyclodextrin Complexes on Berries Preservation
Abstract
1. Introduction
2. Materials and Methods
2.1. Materials
2.2. Packaging Preparation and Characteristics
2.3. Design and Application of Storage Tests
- PLA/β-CD—thymol, 2.5% containing blackberries and raspberries
- PLA/β-CD—thymol, 5.0% containing blackberries and raspberries
- PLA/β-CD—carvacrol 2.5% containing blackberries and raspberries
- PLA/β-CD—carvacrol 5.0% containing blackberries and raspberries
- PLA/C (packaging control) containing blackberries and raspberries
- Commercial clamshell (control) containing blackberries and raspberries
2.4. Physicochemical Analyses
2.4.1. Weight Loss
2.4.2. Color
2.4.3. Soluble Solids Content
2.4.4. Total Phenolic Content
2.5. Study on the Sustained Release of Carvacrol and Thymol
2.6. Microbial Analysis
2.7. Sensory Atributes Analysis
2.8. Statistical Data Treatment
3. Results and Discussion
3.1. Weight Loss
3.2. Color
3.3. Soluble Solids and Total Phenolic Content
3.4. Headspace Analysis
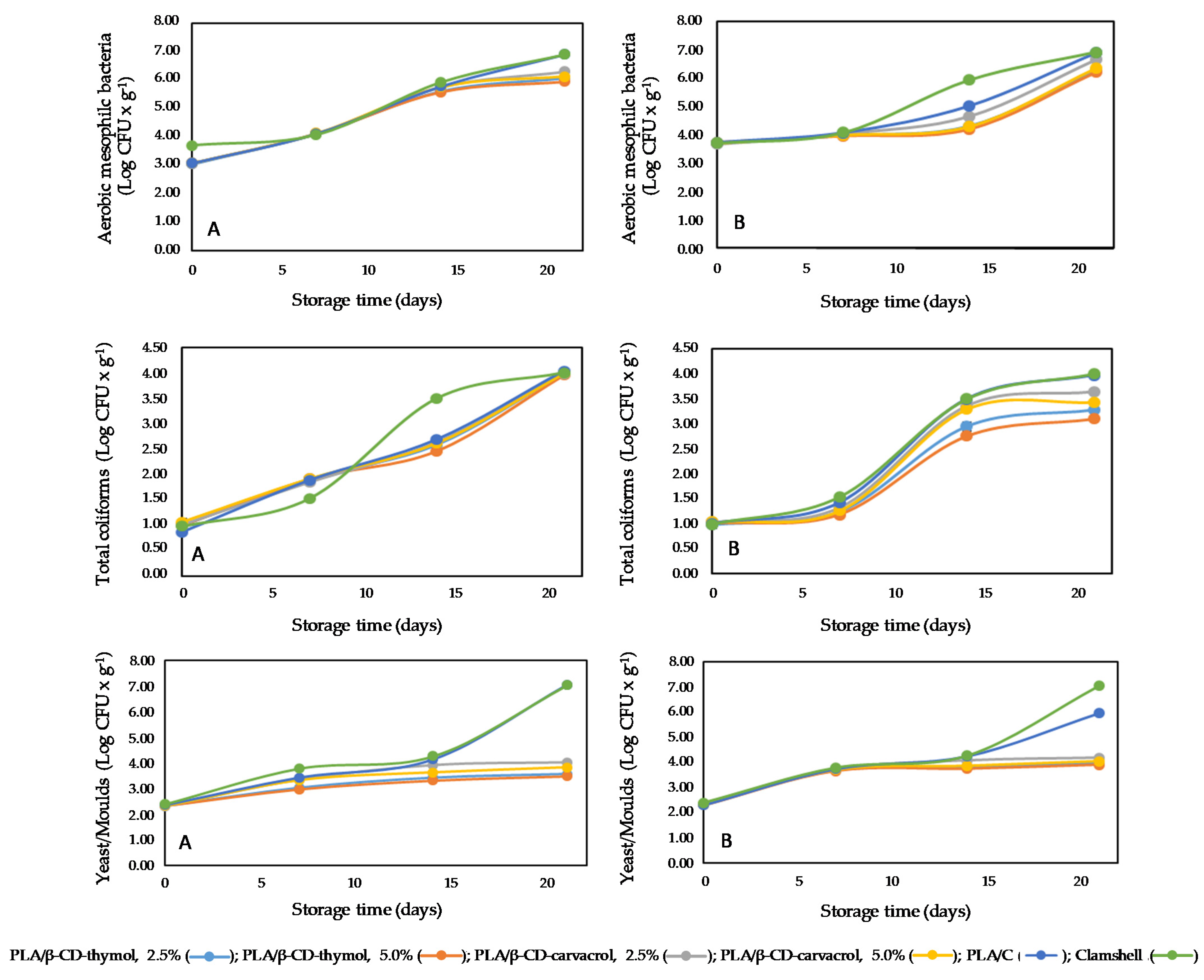
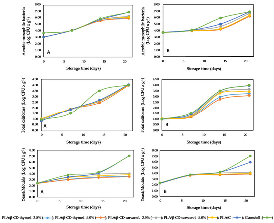
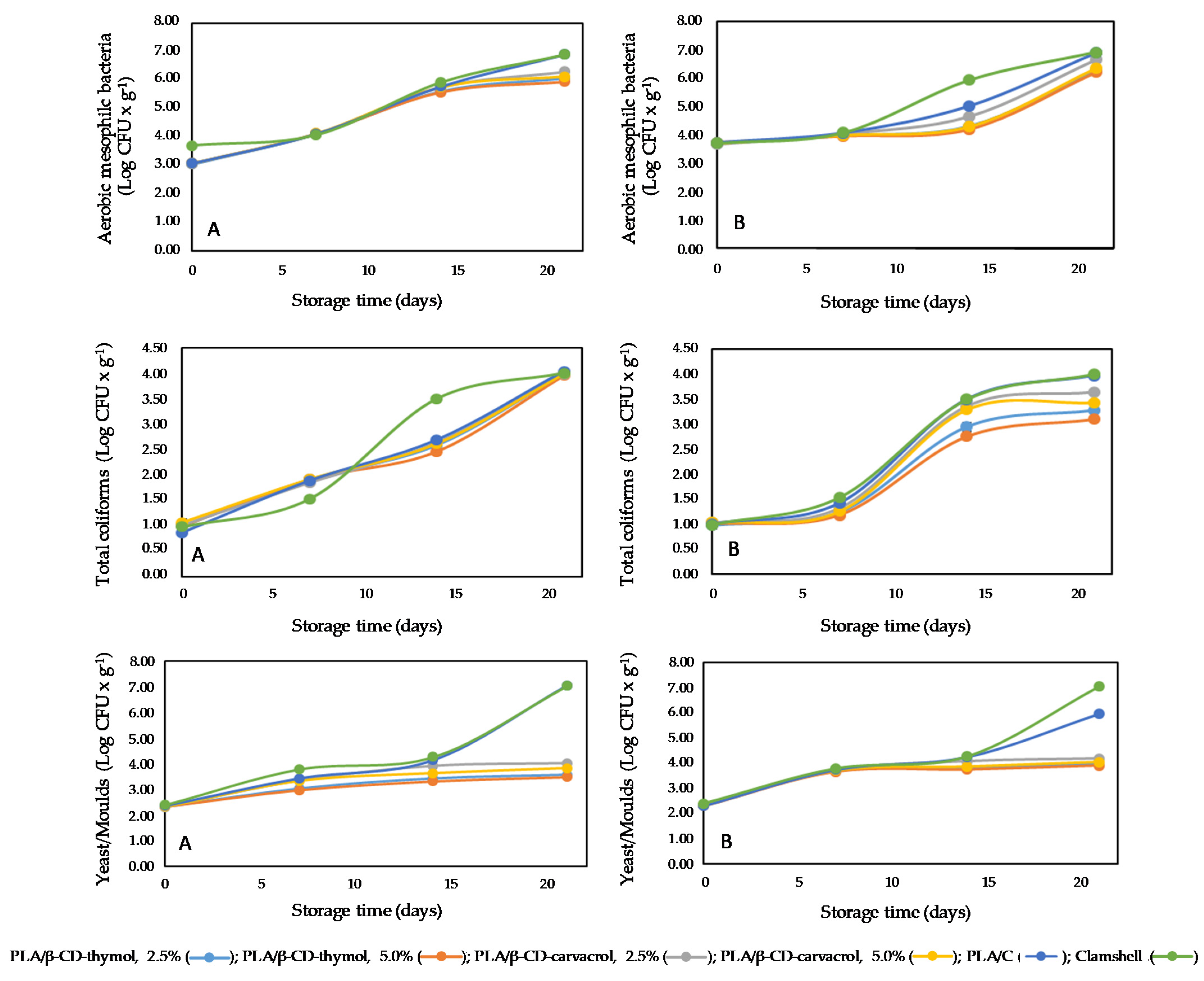
3.5. Microbiological Quality
3.6. Sensory Atributes
4. Conclusions
Author Contributions
Funding
Institutional Review Board Statement
Informed Consent Statement
Conflicts of Interest
References
- Nile, S.H.; Park, S.W. Edible berries: Bioactive components and their effect on human health. Nutrition 2014, 30, 134–144. [Google Scholar] [CrossRef] [PubMed]
- Kim, M.J.; Lee, M.Y.; Shon, J.C.; Kwon, Y.S.; Liu, K.H.; Lee, C.H.; Ku, K.M. Untargeted and targeted metabolomics analyses of blackberries. Understanding postharvest red drupelet disorder. Food Chem. 2019, 300, 125169. [Google Scholar] [CrossRef] [PubMed]
- Krüger, E.; Dietrich, H.; Schöpplein, E.; Rasim, S.; Kürbel, P. Cultivar, storage conditions and ripening effects on physical and chemical qualities of red raspberry fruit. Postharvest Biol. Technol. 2011, 60, 31–37. [Google Scholar] [CrossRef]
- Perkins-Veazie, P.; Pattison, J.; Fernandez, G.; Ma, G. Fruit quality and composition of two advanced North Carolina strawberry selections. Int. J. Fruit Sci. 2016, 16, 220–227. [Google Scholar] [CrossRef]
- Kumar, S.; Baghel, M.; Yadav, A.; Dhakar, M.K. Postharvest biology and technology of berries. In Postharvest Biology and Technology of Temperate Fruits; Mir, S.A., Shah, M.A., Mir, M.M., Eds.; Springer International Publishing: Berlin/Heidelberg, Germany, 2018; pp. 349–370. [Google Scholar]
- Giuggioli, N.R.; Briano, R.; Baudino, C.; Peano, C. Effects of packaging and storage conditions on quality and volatile compounds of raspberry fruits. CyTA J. Food. 2015, 13, 512–521. [Google Scholar] [CrossRef]
- Matar, C.; Guillard, V.; Gauche, K.; Costa, S.; Gontard, N.; Guilbert, S.; Gaucel, S. Consumer behaviour in the prediction of postharvest losses reduction for fresh strawberries packed in modified atmosphere packaging. Postharvest Biol. Technol. 2020, 163, 111119. [Google Scholar] [CrossRef]
- Almenar, E.; Samsudin, H.; Auras, R.; Harte, B.; Rubino, M. Postharvest shelf life extension of blueberries using a biodegradable package. Food Chem. 2008, 110, 120–127. [Google Scholar] [CrossRef]
- Fortunati, E.; Luzi, F.; Puglia, D.; Petrucci, R.; Kenny, J.M.; Torre, L. Processing of PLA nanocomposites with cellulose nanocrystals extracted from Posidonia oceanica waste: Innovative reuse of coastal plant. Ind. Crop. Prod. 2015, 67, 439–447. [Google Scholar] [CrossRef]
- Geyer, R.; Jambeck, J.R.; Law, K.L. Production, use, and fate of all plastics ever made. Sci. Adv. 2017, 3, e1700782. [Google Scholar] [CrossRef] [PubMed]
- Karan, H.; Funk, C.; Grabert, M.; Oey, M.; Hankamer, B. Green bioplastics as part of a circular bioeconomy. Trend Plant Sci. 2019, 24, 237–249. [Google Scholar] [CrossRef]
- European Commission. Communication from the Commission to the European Parliament, the Council, the European Economic and Social Committee and the Committee of the Regions. A New Circular Economy Action Plan For a Cleaner and More Competitive Europe; COM(2020) 98 Final; European Commission: Brussels, Belgium, 2020; Available online: https://eur-lex.europa.eu/legal-content/EN/TXT/?uri=COM:2020:98:FIN&WT.mc_id=Twitter (accessed on 1 April 2021).
- Ioannidou, S.M.; Pateraki, C.; Ladakis, D.; Papapostolou, H.; Tsakona, M.; Vlysidis, A.; Kookos, I.K.; Koutinas, A. Sustainable production of bio-based chemicals and polymers via integrated biomass refining and bioprocessing in a circular bioeconomy context. Bioresour. Technol. 2020, 307, 123093. [Google Scholar] [CrossRef]
- Jancikova, S.; Dordevic, D.; Jamroz, E.; Behalova, H.; Tremlova, B. Chemical and physical characteristics of edible films, based on κ-and ι-carrageenans with the addition of lapacho tea extract. Foods 2020, 9, 357. [Google Scholar] [CrossRef]
- Valdés, A.; Ramos, M.; Beltrán, A.; Jiménez, A.; Garrigós, M. State of the art of antimicrobial edible coatings for food packaging applications. Coatings 2017, 7, 56. [Google Scholar] [CrossRef]
- Scaffaro, R.; Lopresti, F.; Marino, A.; Nostro, A. Antimicrobial additives for poly (lactic acid) materials and their applications: Current state and perspectives. Appl. Microbiol. Biotechnol. 2018, 102, 7739–7756. [Google Scholar] [CrossRef] [PubMed]
- Rodríguez-López, M.I.; Mercader-Ros, M.T.; Pellicer, J.A.; Gomez-Lopez, V.M.; Martínez-Romero, D.; Núñez-Delicado, E.; Gabaldon, J.A. Evaluation of monoterpene-cyclodextrin complexes as bacterial growth effective hurdles. Food Control 2020, 108, 106814. [Google Scholar] [CrossRef]
- Muller, J.; González-Martínez, C.; Chiralt, A. Poly(lactic) acid (PLA) and starch bilayer films, containing cinnamaldehyde, obtained by compression moulding. Eur. Polym. J. 2017, 95, 56–70. [Google Scholar] [CrossRef]
- Wen, P.; Zhu, D.H.; Feng, K.; Liu, F.J.; Lou, W.Y.; Li, N.; Zong, M.H.; Wu, H. Fabrication of electrospun polylactic acid nanofilm incorporating cinnamon essential oil/β-cyclodextrin inclusion complex for antimicrobial packaging. Food Chem. 2016, 196, 996–1004. [Google Scholar] [CrossRef]
- Velázquez-Contreras, F.; Acevedo-Parra, H.; Nuño-Donlucas, S.M.; Núñez-Delicado, E.; Gabaldón, J.A. Development and characterization of a biodegradable PLA food packaging hold monoterpene-cyclodextrin complexes against Alternaria altern. Polymers 2019, 11, 1720. [Google Scholar] [CrossRef]
- López, P.; Sánchez, C.; Batlle, R.; Nerín, C. Development of flexible antimicrobial films using essential oils as active agents. J. Agric. Food Chem. 2007, 55, 8814–8824. [Google Scholar] [CrossRef]
- Taghavi, T.; Kim, C.; Rahemi, A. Role of natural volatiles and essential oils in extending shelf life and controlling postharvest microorganisms of small fruits. Microorganisms 2018, 6, 104. [Google Scholar] [CrossRef]
- Bajpai, V.K.; Baek, K.H.; Kang, S.C. Control of Salmonella in foods by using essential oils: A review. Food Res. Int. 2012, 45, 722–734. [Google Scholar] [CrossRef]
- Pérez-Alfonso, C.O.; Martínez-Romero, D.; Zapata, P.J.; Serrano, M.; Valero, D.; Castillo, S. The effects of essential oils carvacrol and thymol on growth of Penicillium digitatum and Penicillium italicum involved in lemon decay. Int. J. Food Microbiol. 2012, 158, 101–106. [Google Scholar] [CrossRef] [PubMed]
- Zhang, J.; Ma, S.; Du, S.; Chen, S.; Sun, H. Antifungal activity of thymol and carvacrol against postharvest pathogens Botrytis cinerea. J. Food Sci. Technol. 2019, 56, 2611–2620. [Google Scholar] [CrossRef]
- Serna-Escolano, V.; Serrano, M.; Valero, D.; Rodríguez-López, M.I.; Gabaldón, J.A.; Castillo, S.; Guillén, F.; Zapata, P.J.; Martínez-Romero, D. Effect of thymol and carvacrol encapsulated in Hp-β-cyclodextrin by two inclusion methods against Geotrichum citri-aurantii. J. Food Sci. 2019, 84, 1513–1521. [Google Scholar] [CrossRef]
- Pathare, P.B.; Opara, U.L.; Al-Said, F.A.J. Colour measurement and analysis in fresh and processed foods: A review. Food Bioproc. Technol. 2013, 6, 36–60. [Google Scholar] [CrossRef]
- Almenar, E.; Hernández-Muñoz, P.; Lagarón, J.M.; Catalá, R.; Gavara, R. Controlled atmosphere storage of wild strawberry fruit (Fragaria vesca L.). J. Agric. Food Chem. 2006, 54, 86–91. [Google Scholar] [CrossRef]
- López-Miranda, S.; Serrano-Martínez, A.; Hernández-Sánchez, P.; Guardiola, L.; Pérez-Sánchez, H.; Fortea, I.; Gabaldón, J.A.; Núñez-Delicado, E. Use of cyclodextrins to recover catechin and epicatechin from red grape pomace. Food Chem. 2016, 203, 379–385. [Google Scholar] [CrossRef]
- ISO–ISO 7954:1987–Microbiology. General Guidance for Enumeration of Yeasts and Moulds-Colony Count Technique at 25 Degrees C. Available online: https://www.iso.org/standard/14931.html (accessed on 4 April 2021).
- Stone, H.; Bleibaum, R.N.; Thomas, H.A. Sensory Evaluation Practices; Elsevier Inc: London, UK, 2020; pp. 1–457. [Google Scholar]
- Paniagua, A.C.; East, A.R.; Hindmarsh, J.P.; Heyes, J.A. Moisture loss is the major cause of firmness change during postharvest storage of blueberry. Postharvest Biol. Technol. 2013, 79, 13–19. [Google Scholar] [CrossRef]
- Robbins, J.; Sjulin, T.M.; Patterson, M. Postharvest storage characteristics and respiration rates in five cultivars of red raspberry. Hort. Sci. 1989, 24, 980–982. Available online: http://pascal-francis.inist.fr/vibad/index.php?action=getRecordDetail&idt=6712045 (accessed on 1 April 2021).
- Pathare, P.B.; Opara, U.L.; Vigneault, C.; Delele, M.A.; Al-Said, F.A.J. Design of packaging vents for cooling fresh horticultural produce. Food Bioproc. Technol. 2012, 5, 2031–2045. [Google Scholar] [CrossRef]
- Van der Steen, C.; Jacxsens, L.; Devlieghere, F.; Debevere, J. Combining high oxygen atmospheres with low oxygen modified atmosphere packaging to improve the keeping quality of strawberries and raspberries. Postharvest Biol. Technol. 2002, 26, 49–58. [Google Scholar] [CrossRef]
- Wu, Y.; Qin, Y.; Yuan, M.; Li, L.; Chen, H.; Cao, J.; Yang, J. Characterization of an antimicrobial poly (lactic acid) film prepared with poly (ε -caprolactone) and thymol for active packaging. Polym. Adv. Technol. 2014, 25, 948–954. [Google Scholar] [CrossRef]
- Mannozzi, C.; Tylewicz, U.; Chinnici, F.; Siroli, L.; Rocculi, P.; Dalla-Rosa, M.; Romani, S. Effects of chitosan based coatings enriched with procyanidin by-product on quality of fresh blueberries during storage. Food Chem. 2018, 251, 18–24. [Google Scholar] [CrossRef]
- Valero, D.; Valverde, J.M.; Martínez-Romero, D.; Guillén, F.; Castillo, S.; Serrano, M. The combination of modified atmosphere packaging with eugenol or thymol to maintain quality, safety and functional properties of table grapes. Postharvest Biol. Tech. 2006, 41, 317–327. [Google Scholar] [CrossRef]
- Cortés Rodríguez, M.; Villegas Yépez, C.; Gil González, J.H.; Ortega-Toro, R. Effect of a multifunctional edible coating based on cassava starch on the shelf life of Andean blackberry. Heliyon 2020, 6, e03974. [Google Scholar] [CrossRef] [PubMed]
- Forney, C.F.; Kalt, W.; Jordan, M.A.; Vinqvist-Tymchuk, M.R.; Fillmore, S.A. Blueberry and cranberry fruit composition during development. J. Berry Res. 2012, 2, 169–177. [Google Scholar] [CrossRef]
- Huang, H.; Huang, C.; Yin, C.; Khan, M.R.; Zhao, H.; Xu, Y.; Huang, L.; Zheng, D.; Qi, M. Preparation and characterization of β-cyclodextrin–oregano essential oil microcapsule and its effect on storage behavior of purple yam. J. Sci. Food Agric. 2020, 100, 4849–4857. [Google Scholar] [CrossRef] [PubMed]
- Ramos, M.; Beltrán, A.; Valdés, A.; Peltzer, M.A.; Jiménez, A.; Garrigós, M.C.; Zaikov, G.E. Carvacrol and thymol for fresh food packaging. J. Bioequiv. Availab. 2013, 5, 154–160. [Google Scholar] [CrossRef]
- Higueras, L.; López-Carballo, G.; Hernández-Muñoz, P.; Catalá, R.; Gavara, R. Antimicrobial packaging of chicken fillets based on the release of carvacrol from chitosan/cyclodextrin films. Int. J. Food Microbiol. 2014, 188, 53–59. [Google Scholar] [CrossRef]
- Llana-Ruiz-Cabello, M.; Pichardo, S.; Bermudez, J.M.; Banos, A.; Nunez, C.; Guillamon, E.; Aucejo, S.; Camean, A.M. Development of PLA films containing oregano essential oil (Origanum vulgare L. virens) intended for use in food packaging. Food Addit. Contam. A 2016, 33, 1374–1386. [Google Scholar] [CrossRef]
- Marchese, A.; Orhan, I.E.; Daglia, M.; Barbieri, R.; Di Lorenzo, A.; Nabavi, S.F.; Gortzi, O.; Izadi, M.; Nabavi, S.M. Antibacterial and antifungal activities of thymol: A brief review of the literature. Food Chem. 2016, 210, 402–414. [Google Scholar] [CrossRef]
- Magi, G.; Marini, E.; Facinelli, B. Antimicrobial activity of essential oils and carvacrol, and synergy of carvacrol and erythromycin, against clinical, erythromycin-resistant Group A Streptococci. Front. Microbiol. 2015, 6, 165. [Google Scholar] [CrossRef] [PubMed]
- Leyva-López, N.; Gutiérrez-Grijalva, E.P.; Vázquez-Olivo, G.; Heredia, J.B. Essential oils of oregano: Biological activity beyond their antimicrobial properties. Molecules 2017, 22, 989. [Google Scholar] [CrossRef] [PubMed]
- Viacava, G.E.; Ayala-Zavala, J.F.; González-Aguilar, G.A.; Ansorena, M.R. Effect of free and microencapsulated thyme essential oil on quality attributes of minimally processed lettuce. Postharvest Biol. Technol. 2018, 145, 125–133. [Google Scholar] [CrossRef]






| Day | Packaging | L* | a* | b* |
|---|---|---|---|---|
| 0 | - | 17.91 ± 0.48 a | 0.82 ± 0.13 a | −0.93 ± 0.11 a |
| 7 | Clamshell | 15.65 ± 0.42 bc | 1.35 ± 0.59 b | −0.91 ± 0.08 a |
| PLA/C | 15.98 ± 0.27 bc | 3.35 ± 0.59 b | −0.48 ± 0.23 b | |
| PLA/β-CD-thymol, 2.5% | 15.28 ± 0.99 bc | 1.67 ± 0.29 a | −1.01 ± 0.03 a | |
| PLA/β-CD-thymol, 5.0% | 18.23 ± 0.16 a | 1.13 ± 0.11 ab | −0.95 ± 0.07 a | |
| PLA/β-CD-carvacrol, 2.5% | 18.23 ± 0.27 a | 1.32 ± 0.36 ab | −0.91 ± 0.08 a | |
| PLA/β-CD-carvacrol, 5.0% | 17.01 ± 1.07 ab | 0.92 ± 0.22 a | −1.08 ± 0.30 a | |
| 14 | Clamshell | 13.02 ± 0.76 c | 1.05 ± 0.10 ab | −0.55 ± 024 b |
| PLA/C | 14.02 ± 0.76 c | 2.05 ± 0.3 b | −0.57 ± 0.20 b | |
| PLA/β-CD-thymol, 2.5% | 17.26 ± 0.87 ab | 0.68 ± 0.16 a | −1.11 ± 0.04 a | |
| PLA/β-CD-thymol, 5.0% | 16.12 ± 0.30 bc | 1.09 ± 0.10 ab | −1.02 ± 0.03 a | |
| PLA/β-CD-carvacrol, 2.5% | 15.20 ± 0.37 c | 1.75 ± 0.74 ab | −0.55 ± 0.04 b | |
| PLA/β-CD-carvacrol, 5.0% | 15.99 ± 0.21 bc | 0.74 ± 0.03 a | −1.06 ± 0.08 a | |
| 21 | Clamshell | 12.92 ± 0.36 c | 0.66 ± 0.18 a | −0.55 ± 024 b |
| PLA/C | 13.65 ± 0.42 bc | 2.05 ± 0.63 b | −0.57 ± 0.20 b | |
| PLA/β-CD-thymol, 2.5% | 17.10 ± 0.77 ab | 0.63 ± 0.21 a | −1.15 ± 0.10 a | |
| PLA/β-CD-thymol, 5.0% | 16.10 ± 0.29 bc | 1.12 ± 0.15 ab | −1.11 ± 0.15 a | |
| PLA/β-CD-carvacrol, 2.5% | 14.90 ± 0.80 c | 1.72 ± 0.74 ab | −0.73 ± 0.34 ab | |
| PLA/β-CD-carvacrol, 5.0% | 15.95 ± 0.27 bc | 0.68 ± 0.08 a | −1.10 ± 0.08 a |
| Day | Packaging | L* | a* | b* |
|---|---|---|---|---|
| 0 | - | 28.26 ± 0.68 a | 26.49 ± 1.17 a | 10.85 ± 1.09 a |
| 7 | Clamshell | 25.29 ± 0.90 c | 24.65 ± 0.34 a | 8.01 ± 0.24 b |
| PLA/C | 27.46 ± 1.34 ab | 28.10 ± 1.23 ab | 8.05 ± 0.09 b | |
| PLA/β-CD-thymol, 2.5% | 27.80 ± 1.26 ab | 31.57 ± 2.18 b | 8.52 ± 0.37 b | |
| PLA/β-CD-thymol, 5.0% | 27.39 ± 0.90 c | 25.78 ± 0.33 ab | 8.93 ± 0.59 b | |
| PLA/β-CD-carvacrol, 2.5% | 28.48 ± 0.09 a | 25.44 ± 0.52 ab | 8.77 ± 0.24 b | |
| PLA/β-CD-carvacrol, 5.0% | 28.35 ± 0.65 ab | 25.26 ± 1.99 ab | 8.76 ± 0.56 b | |
| 14 | Clamshell | 24.08 ± 0.17 b | 21.20 ± 1.32 b | 6.77 ± 0.39 b |
| PLA/C | 25.73 ± 0.52 c | 23.01 ± 0.23 ab | 6.87 ± 0.45 b | |
| PLA/β-CD-thymol, 2.5% | 27.17 ± 0.16 ab | 24.29 ± 0.34 a | 7.21 ± 0.87 b | |
| PLA/β-CD-thymol, 5.0% | 26.92 ± 0.23 b | 24.51 ± 0.74 a | 8.13 ± 0.51 b | |
| PLA/β-CD-carvacrol, 2.5% | 26.33 ± 0.59 ab | 22.45 ± 1.49 a | 7.90 ± 0.80 b | |
| PLA/β-CD-carvacrol, 5.0% | 26.53 ± 0.21 bc | 21.83 ± 2.28 b | 7.54 ± 0.15 b | |
| 21 | Clamshell | 23.96 ± 0.54 b | 16.57 ± 0.50 c | 6.11 ± 0.28 b |
| PLA/C | 25.57 ± 0.59 b | 22.08 ± 2.80 a | 6.35 ± 0.45 b | |
| PLA/β-CD-thymol, 2.5% | 26.29 ± 0.34 b | 22.16 ± 1.71 b | 7.09 ± 0.47 b | |
| PLA/β-CD-thymol, 5.0% | 26.78 ± 0.33 a | 22.98 ± 1.08 ab | 8.03 ± 0.39 b | |
| PLA/β-CD-carvacrol, 2.5% | 25.08 ± 0.17 b | 21.91 ± 0.61 b | 7.81 ± 0.59 b | |
| PLA/β-CD-carvacrol, 5.0% | 25.23 ± 1.26 b | 21.71 ± 0.60 c | 7.50 ± 1.25 b |
| Blackberries | Raspberries | ||||
|---|---|---|---|---|---|
| Day | Packaging | °Brix | mg GAE/100 g | °Brix | mg GAE/100 g |
| 0 | - | 8.93 ± 0.12 a | 101.01 ± 6.66 a | 11.80 ± 0.26 a | 119.10 ± 3.09 a |
| 7 | Clamshell | 8.67 ± 0.06 ac | 62.58 ± 0.51 d | 9.70 ± 0.20 cd | 80.41 ± 0.43 cd |
| PLA/C | 8.33 ± 0.23 cd | 61.80 ± 1.37 b | 9.17 ± 0.06 d | 76.55 ± 7.26 d | |
| PLA/β-CD-thymol, 2.5% | 9.67 ± 0.21 b | 71.98 ± 13.49 c | 9.23 ± 0.35 d | 86.08 ± 19.78 bcd | |
| PLA/β-CD-thymol, 5.0% | 9.20 ± 0.35 ab | 81.91 ± 22.41 ab | 9.13 ± 0.15 d | 79.10 ± 10.77 abc | |
| PLA/β-CD-carvacrol, 2.5% | 9.00 ± 0.17 a | 80.03 ± 7.79 c | 10.33 ± 0.45 bc | 110.5 ± 2.51 ab | |
| PLA/β-CD-carvacrol, 5.0% | 8.07 ± 0.15 d | 88.35 ± 1.25 bc | 10.50 ± 0.10 b | 100.88 ± 24.88 a | |
| 14 | Clamshell | 10.97 ± 0.21 d | 60.45 ± 0.56 d | 9.80 ± 0.10 cd | 80.43 ± 1.26 b |
| PLA/C | 8.10 ± 0.10 b | 80.55 ± 5.48 bc | 8.53 ± 0.21 c | 83.40 ± 4.32 b | |
| PLA/β-CD-thymol, 2.5% | 11.01 ± 0.17 d | 92.40 ± 15.71 a | 10.27 ± 0.47 bc | 69.82 ± 10.54 ab | |
| PLA/β-CD-thymol, 5.0% | 10.50 ± 0.10 ab | 92.28 ± 6.34 ab | 10.90 ± 0.26 ab | 82.52 ± 16.46 b | |
| PLA/β-CD-carvacrol, 2.5% | 10.93 ± 0.25 d | 72.83 ± 4.66 cd | 9.10 ± 0.69 de | 106.09 ± 4.79 ab | |
| PLA/β-CD-carvacrol, 5.0% | 9.73 ± 0.38 c | 81.70 ± 10.64 bc | 10.63 ± 0.31 bc | 103.38 ± 8.54 ab | |
| 21 | Clamshell | 9.57 ± 0.45 a | 58.07 ± 0.76 c | 9.17 ± 0.57 c | 79.30 ± 0.53 b |
| PLA/C | 8.83 ± 0.15 a | 68.59 ± 1.00 bc | 9.80 ± 0.44 bc | 83.90 ± 13.34 b | |
| PLA/β-CD-thymol, 2.5% | 8.43 ± 1.08 a | 57.57 ± 7.07 c | 9.97 ± 0.15 bc | 100.92 ± 11.86 ab | |
| PLA/β-CD-thymol, 5.0% | 8.83 ± 0.06 a | 68.29 ± 2.98 bc | 10.07 ± 0.06 bc | 102.84 ± 15.37 ab | |
| PLA/β-CD-carvacrol, 2.5% | 8.23 ± 0.21 a | 70.27 ± 7.91 bc | 10.03 ± 0.12 bc | 84.86 ± 11.46 ab | |
| PLA/β-CD-carvacrol, 5.0% | 8.30 ± 0.40 a | 83.09 ± 3.40 b | 10.53 ± 0.57 b | 116.47 ± 2.58 a | |
Publisher’s Note: MDPI stays neutral with regard to jurisdictional claims in published maps and institutional affiliations. |
© 2021 by the authors. Licensee MDPI, Basel, Switzerland. This article is an open access article distributed under the terms and conditions of the Creative Commons Attribution (CC BY) license (https://creativecommons.org/licenses/by/4.0/).
Share and Cite
Velázquez-Contreras, F.; García-Caldera, N.; Padilla de la Rosa, J.D.; Martínez-Romero, D.; Núñez-Delicado, E.; Gabaldón, J.A. Effect of PLA Active Packaging Containing Monoterpene-Cyclodextrin Complexes on Berries Preservation. Polymers 2021, 13, 1399. https://doi.org/10.3390/polym13091399
Velázquez-Contreras F, García-Caldera N, Padilla de la Rosa JD, Martínez-Romero D, Núñez-Delicado E, Gabaldón JA. Effect of PLA Active Packaging Containing Monoterpene-Cyclodextrin Complexes on Berries Preservation. Polymers. 2021; 13(9):1399. https://doi.org/10.3390/polym13091399
Chicago/Turabian StyleVelázquez-Contreras, Friné, Nelsy García-Caldera, José Daniel Padilla de la Rosa, Domingo Martínez-Romero, Estrella Núñez-Delicado, and José Antonio Gabaldón. 2021. "Effect of PLA Active Packaging Containing Monoterpene-Cyclodextrin Complexes on Berries Preservation" Polymers 13, no. 9: 1399. https://doi.org/10.3390/polym13091399
APA StyleVelázquez-Contreras, F., García-Caldera, N., Padilla de la Rosa, J. D., Martínez-Romero, D., Núñez-Delicado, E., & Gabaldón, J. A. (2021). Effect of PLA Active Packaging Containing Monoterpene-Cyclodextrin Complexes on Berries Preservation. Polymers, 13(9), 1399. https://doi.org/10.3390/polym13091399

