On the Solubility and Stability of Polyvinylidene Fluoride
Abstract
1. Introduction
PVDF as a Fluoropolymer
2. Solubility of PVDF
2.1. Gelation of PVDF
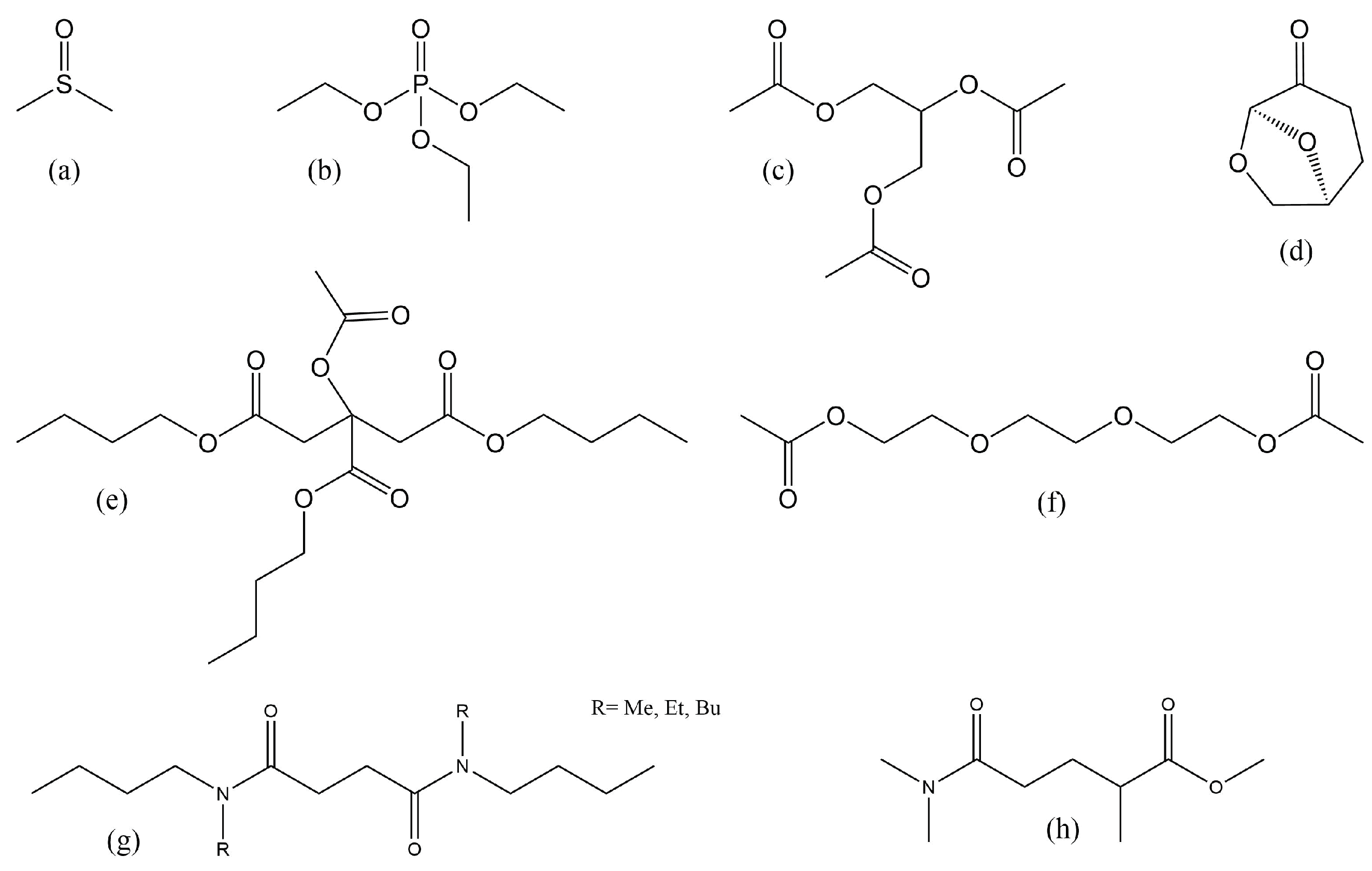
2.2. Green Solvents and Diluents for PVDF
2.3. Supercritical Fluids for PVDF Dissolution
2.4. Solvent Effects on PVDF Materials
3. PVDF Stability
3.1. Thermal Degradation of PVDF
3.2. Chemical Stability of PVDF
3.3. Radical Reactions in PVDF
4. Summary
Author Contributions
Funding
Conflicts of Interest
References
- Wei, J.; Wang, Z.; Xing, X. A wireless high-sensitivity fetal heart sound monitoring system. Sensors 2020, 21, 193. [Google Scholar] [CrossRef] [PubMed]
- Maity, K.; Garain, S.; Henkel, K.; Schmeisser, D.; Mandal, D. Self-Powered Human-Health Monitoring through Aligned PVDF Nanofibers Interfaced Skin-Interactive Piezoelectric Sensor. ACS Appl. Polym. Mater. 2020, 2, 862–878. [Google Scholar] [CrossRef]
- Yi, S.; Xu, T.; Li, L.; Gao, M.; Du, K.; Zhao, H.; Bai, Y. Fast ion conductor modified double-polymer (PVDF and PEO) matrix electrolyte for solid lithium-ion batteries. Solid State Ionics 2020, 355, 115419. [Google Scholar] [CrossRef]
- Barbosa, J.C.; Dias, J.P.; Lanceros-Méndez, S.; Costa, C.M. Recent advances in poly(Vinylidene fluoride) and its copolymers for lithium-ion battery separators. Membranes 2018, 8, 45. [Google Scholar] [CrossRef] [PubMed]
- Research, M. Worldwide Fluoropolymer Market Analysis & Forecast (2013–2023) Opportunities & Forecast (2019 Edition)—ResearchAndMarkets.com; Business Wire: San Francisco, CA, USA, 2019. [Google Scholar]
- Batsanov, S.S. Van der Waals radii of elements. Inorg. Mater. 2001, 37, 871–885. [Google Scholar] [CrossRef]
- O’Hagan, D. Understanding organofluorine chemistry. An introduction to the C–F bond. Chem. Soc. Rev. 2008, 37, 308–319. [Google Scholar] [CrossRef] [PubMed]
- Feiring, A. Fluorine-containing Polymers. In Encyclopedia of Materials: Science and Technology; Buschow, K.J., Cahn, R.W., Flemings, M.C., Ilschner, B., Kramer, E.J., Mahajan, S., Veyssière, P., Eds.; Elsevier: Oxford, UK, 2001; pp. 3209–3215. [Google Scholar] [CrossRef]
- Peng, H. Synthesis and Application of Fluorine-Containing Polymers with Low Surface Energy. Polym. Rev. 2019, 59, 739–757. [Google Scholar] [CrossRef]
- Tasker, S.; Chambers, R.D.; Badyal, J.P.S. Surface Defluorination of PTFE by Sodium Atoms. J. Phys. Chem. 1994, 98, 12442–12446. [Google Scholar] [CrossRef]
- Lee, S.; Park, J.S.; Lee, T.R. The Wettability of Fluoropolymer Surfaces: Influence of Surface Dipoles. Langmuir 2008, 24, 4817–4826. [Google Scholar] [CrossRef]
- Quaglini, V.; Dubini, P. Friction of polymers sliding on smooth surfaces. Adv. Tribol. 2011, 2021. [Google Scholar] [CrossRef]
- Wypych, G. Handbook of Polymers; Elsevier: Amsterdam, The Netherlands, 2016. [Google Scholar] [CrossRef]
- Stark, A.Y.; Dryden, D.M.; Olderman, J.; Peterson, K.A.; Niewiarowski, P.H.; French, R.H.; Dhinojwala, A. Adhesive interactions of geckos with wet and dry fluoropolymer substrates. J. R. Soc. Interface 2015, 12 108, 20150464. [Google Scholar] [CrossRef]
- Sprik, M.; Rothlisberger, U.; Klein, M.L. Conformational and orientational order and disorder in solid polytetrafluoroethylene. Mol. Phys. 1999, 97, 355–373. [Google Scholar] [CrossRef]
- Quarti, C.; Milani, A.; Castiglioni, C. Ab Initio Calculation of the IR Spectrum of PTFE: Helical Symmetry and Defects. J. Phys. Chem. B 2013, 117, 706–718. [Google Scholar] [CrossRef] [PubMed]
- Soper, A.K.; Page, K.; Llobet, A. Empirical potential structure refinement of semi-crystalline polymer systems: Polytetrafluoroethylene and polychlorotrifluoroethylene. J. Phys. Condens. Matter 2013, 25, 454219. [Google Scholar] [CrossRef]
- Calleja, G.; Jourdan, A.; Ameduri, B.; Habas, J.P. Where is the glass transition temperature of poly(tetrafluoroethylene)? A new approach by dynamic rheometry and mechanical tests. Eur. Polym. J. 2013, 49, 2214–2222. [Google Scholar] [CrossRef]
- Cardoso, V.F.; Correia, D.M.; Ribeiro, C.; Fernandes, M.M.; Lanceros-Méndez, S. Fluorinated Polymers as Smart Materials for Advanced Biomedical Applications. Polymers 2018, 10, 161. [Google Scholar] [CrossRef]
- Chiang, C.K.; Popielarz, R. Polymer Composites with High Dielectric Constant. Ferroelectrics 2002, 275, 1–9. [Google Scholar] [CrossRef]
- Ebnesajjad, S. Introduction to Fluoropolymers: Materials, Technology, and Applications; Elsevier: Amsterdam, The Netherlands, 2013; pp. 1–325. [Google Scholar] [CrossRef]
- Ibeh, C.C. Thermoplastic Materials: Properties, Manufacturing Methods, and Applications; CRC Press: Boca Raton, FL, USA, 2011; p. 616. [Google Scholar]
- Sperati, C.A.; Starkweather, H.W. Fluorine-containing polymers. II. Polytetrafluoroethylene. In Fortschritte Der Hochpolymeren-Forschung; Springer: Berlin/Heidelberg, Germany, 1961; pp. 465–495. [Google Scholar]
- Hanford, W.E.; Joyce, R.M. Polytetrafluoroethylene. J. Am. Chem. Soc. 1946, 68, 2082–2085. [Google Scholar] [CrossRef]
- Voaden, A.T. Powder Moulding Process. UK Patent GB1357897, 26 June 1974. [Google Scholar]
- Method of Moulding Polytetrafluoroethylene. UK Patent GB1516266A, 28 June 1978.
- Nalwa, H.S. Ferroelectric Polymers: Chemistry, Physics, and Applications; M. Dekker, Inc.: New York, NY, USA, 1995; p. 895. [Google Scholar]
- Li, M.; Wondergem, H.J.; Spijkman, M.J.; Asadi, K.; Katsouras, I.; Blom, P.W.M.; De Leeuw, D.M. Revisiting the δ-phase of poly(vinylidene fluoride) for solution-processed ferroelectric thin films. Nat. Mater. 2013, 12, 433–438. [Google Scholar] [CrossRef]
- Martín, J.; Zhao, D.; Lenz, T.; Katsouras, I.; De Leeuw, D.M.; Stingelin, N. Solid-state-processing of δ-PVDF. Mater. Horiz. 2017, 4, 408–414. [Google Scholar] [CrossRef]
- Lovinger, A.J.; Davis, D.D.; Cais, R.E.; Kometani, J.M. On the Curie temperature of poly(vinylidene fluoride). Macromolecules 1986, 19, 1491–1494. [Google Scholar] [CrossRef]
- Martins, P.; Lopes, A.; Lanceros-Mendez, S. Electroactive phases of poly(vinylidene fluoride): Determination, processing and applications. Prog. Polym. Sci. 2014, 39, 683–706. [Google Scholar] [CrossRef]
- Kawai, H. The Piezoelectricity of Poly (vinylidene Fluoride). Jpn. J. Appl. Phys. 1969, 8, 975–976. [Google Scholar] [CrossRef]
- Sessler, G. Piezoelectricity in Polyvinylidene Fluoride. J. Acoust. Soc. Am. 1981, 70. [Google Scholar] [CrossRef]
- Abdalla, S.; Obaid, A.; Al-Marzouki, F. Preparation and characterization of poly(vinylidene fluoride): A high dielectric performance nano-composite for electrical storage. Results Phys. 2016, 6, 617–626. [Google Scholar] [CrossRef]
- Broadhurst, M.G.; Davis, G.T. Physical basis for piezoelectricity in PVDF. Ferroelectrics 1984, 60, 3–13. [Google Scholar] [CrossRef]
- Bera, B.; Das Sarkar, M. Piezoelectricity in PVDF and PVDF Based Piezoelectric Nanogenerator: A Concept. IOSR J. Appl. Phys. 2017, 09, 95–99. [Google Scholar] [CrossRef]
- Sappati, K.K.; Bhadra, S. Piezoelectric Polymer and Paper Substrates: A Review. Sensors 2018, 18, 3605. [Google Scholar] [CrossRef]
- Wang, T.; Farajollahi, M.; Choi, Y.S.; Lin, I.T.; Marshall, J.E.; Thompson, N.M.; Kar-Narayan, S.; Madden, J.D.W.; Smoukov, S.K. Electroactive polymers for sensing. Interface Focus 2016, 6, 20160026. [Google Scholar] [CrossRef]
- McNaught, A.; Wilkinson, A. IUPAC Compendium of Chemical Terminology, 2nd ed.; Blackwell Scientific Publications: Oxford, UK, 1997. [Google Scholar]
- Li, X.; Xu, G.; Lu, X.; Xiao, C. Effects of Mixed Diluent Compositions on Poly(Vinylidene Fluoride) Membrane Morphology in a Thermally Induced Phase-Separation Process. J. Appl. Polym. Sci. 2008, 107, 3630–3637. [Google Scholar] [CrossRef]
- Zhou, Q.; Wang, Z.; Shen, H.; Zhu, Z.; Liu, L.; Yang, L.; Cheng, L. Morphology and Performance of PVDF TIPS Microfiltration Hollow Fiber Membranes Prepared from PVDF/DBP/DOP Systems for Industrial Application. J. Chem. Technol. Biotechnol. 2016, 91, 1697–1708. [Google Scholar] [CrossRef]
- Wang, Z.; Tang, Y.; Li, B. Bicontinuous and Cellular Structure Design of PVDF Membranes by Using Binary Solvents for the Membrane Distillation Process. RSC Adv. 2018, 8, 25159–25167. [Google Scholar] [CrossRef]
- Dornbusch, M.; Erk, C.; Karl, U.; Mizuno, H. Polyvinylidene Fluoride Solutions in N-Formyl or N-Acetylmorpholine. European Patent EP3161079A1, 3 May 2017. [Google Scholar]
- Kosar, W.P. Pvdf Powder for Liquid Slurries. US Patent US20180056247A1, 1 March 2018. [Google Scholar]
- Bottino, A.; Capannelli, G.; Munari, S.; Turturro, A. Solubility parameters of poly(vinylidene fluoride). J. Polym. Sci. Part B Polym. Phys. 1988, 26, 785–794. [Google Scholar] [CrossRef]
- Bottino, A.; Camera-Roda, G.; Capannelli, G.; Munari, S. The Formation of Microporous Polyvinylidene Difluoride Membranes by Phase Separation. J. Membr. Sci. 1991, 57, 1–20. [Google Scholar] [CrossRef]
- Mal, S.; Maiti, P.; Nandi, A.K. On the Gelation Rates of Thermoreversible Poly(Vinylidene Fluoride) Gels. Macromolecules 1995, 28, 2371–2376. [Google Scholar] [CrossRef]
- Buncel, E.; Stairs, R.; Wilson, H. The Role of the Solvent in Chemical Reactions; Oxford University Press: Oxford, UK, 2003. [Google Scholar]
- Diorazio, L.J.; Hose, D.R.J.; Adlington, N.K. Toward a More Holistic Framework for Solvent Selection. Org. Process Res. Dev. 2016, 20, 760–773. [Google Scholar] [CrossRef]
- Bergkamp, L.; Herbatschek, N. Regulating Chemical Substances under REACH: The Choice between Authorization and Restriction and the Case of Dipolar Aprotic Solvents: Regulating Chemical Substances Under Reach. Rev. Eur. Comp. Int. Environ. Law 2014, 23, 221–245. [Google Scholar] [CrossRef]
- Hansen, C.M. Hansen Solubility Parameters: A User’s Handbook, 2nd ed.; CRC Press: Boca Raton, FL, USA, 2007. [Google Scholar]
- European Chemicals Agency. Acetone Registration Dossier. 2020. Available online: https://echa.europa.eu/registration-dossier/-/registered-dossier/15460 (accessed on 15 April 2021).
- Egemen, E.; Nirmalakhandan, N.; Trevizo, C. Predicting Surface Tension of Liquid Organic Solvents. Environ. Sci. Technol. 2000, 34, 2596–2600. [Google Scholar] [CrossRef]
- Kobayashi, M.; Tashiro, K.; Tadokoro, H. Molecular Vibrations of Three Crystal Forms of Poly(Vinylidene Fluoride). Macromolecules 1975, 8, 158–171. [Google Scholar] [CrossRef]
- Park, Y.J.; Kang, Y.S.; Park, C. Micropatterning of Semicrystalline Poly(Vinylidene Fluoride) (PVDF) Solutions. Eur. Polym. J. 2005, 41, 1002–1012. [Google Scholar] [CrossRef]
- Horibe, H.; Sasaki, Y.; Oshiro, H.; Hosokawa, Y.; Kono, A.; Takahashi, S.; Nishiyama, T. Quantification of the Solvent Evaporation Rate during the Production of Three PVDF Crystalline Structure Types by Solvent Casting. Polym. J. 2014, 46, 104–110. [Google Scholar] [CrossRef]
- Zhu, H.; Matsui, J.; Yamamoto, S.; Miyashita, T.; Mitsuishi, M. Solvent-Dependent Properties of Poly(Vinylidene Fluoride) Monolayers at the Air–Water Interface. Soft Matter 2015, 11, 1962–1972. [Google Scholar] [CrossRef]
- European Chemicals Agency. Triethyl O-Acetylcitrate Registration Dossier. 2020. Available online: https://echa.europa.eu/registration-dossier/-/registered-dossier/23424 (accessed on 15 April 2021).
- Sawada, S.i.; Ursino, C.; Galiano, F.; Simone, S.; Drioli, E.; Figoli, A. Effect of Citrate-Based Non-Toxic Solvents on Poly(Vinylidene Fluoride) Membrane Preparation via Thermally Induced Phase Separation. J. Membr. Sci. 2015, 493, 232–242. [Google Scholar] [CrossRef]
- Schwarz, W.; Schossig, J. Butyrolactone. In Ullmann’s Encyclopedia of Industrial Chemistry, 7th ed.; John Wiley & Sons: New York, NY, USA, 2005. [Google Scholar]
- European Chemicals Agency. γ-Butyrolactone Registration Dossier. 2020. Available online: https://echa.europa.eu/registration-dossier/-/registered-dossier/14990 (accessed on 15 April 2021).
- Cho, J.W.; Song, H.Y.; Kim, S.Y. Thermoreversible Gelation of Poly(Vinylidene Fluoride) in γ-Butyrolactone Solution. Polymer 1993, 34, 1024–1027. [Google Scholar] [CrossRef]
- Cho, J.W.; Lee, G.W. Thermoreversible Gelation of Blend of Poly(Vinylidene Fluoride) and Poly(Vinylidene Fluoride-Trifluoroethylene) in γ-Butyrolactone Solution. J. Polym. Sci. Part B Polym. Phys. 1996, 34, 1605–1611. [Google Scholar] [CrossRef]
- Okabe, M.; Wada, R.; Tazaki, M.; Homma, T. The Flory-Huggins Interaction Parameter and Thermoreversible Gelation of Poly(Vinylidene Fluoride) in Organic Solvents. Polym. J. 2003, 35, 798–803. [Google Scholar] [CrossRef]
- Ogoshi, T.; Chujo, Y. Synthesis of Poly(Vinylidene Fluoride) (PVdF)/Silica Hybrids Having Interpenetrating Polymer Network Structure by Using Crystallization between PVdF Chains. J. Polym. Sci. Part A Polym. Chem. 2005, 43, 3543–3550. [Google Scholar] [CrossRef]
- Su, Y.; Chen, C.; Li, Y.; Li, J. PVDF Membrane Formation via Thermally Induced Phase Separation. J. Macromol. Sci. Part A 2007, 44, 99–104. [Google Scholar] [CrossRef]
- Cha, B.J.; Yang, J.M. Preparation of Poly(Vinylidene Fluoride) Hollow Fiber Membranes for Microfiltration Using Modified TIPS Process. J. Membr. Sci. 2007, 291, 191–198. [Google Scholar] [CrossRef]
- Shimizu, H.; Arioka, Y.; Ogawa, M.; Wada, R.; Okabe, M. Sol-Gel Transitions of Poly(Vinylidene Fluoride) in Organic Solvents Containing LiBF4. Polym. J. 2011, 43, 540–544. [Google Scholar] [CrossRef]
- Nishiyama, T.; Sumihara, T.; Sasaki, Y.; Sato, E.; Yamato, M.; Horibe, H. Crystalline Structure Control of Poly(Vinylidene Fluoride) Films with the Antisolvent Addition Method. Polym. J. 2016, 48, 1035–1038. [Google Scholar] [CrossRef]
- Tazaki, M.; Wada, R.; Abe, M.O.; Homma, T. Crystallization and Gelation of Poly(Vinylidene Fluoride) in Organic Solvents. J. Appl. Polym. Sci. 1997, 65, 1517–1524. [Google Scholar] [CrossRef]
- Korosi, G.; Kovats, E.S. Density and Surface Tension of 83 Organic Liquids. J. Chem. Eng. Data 1981, 26, 323–332. [Google Scholar] [CrossRef]
- European Chemicals Agency. Cyclohexanone Registration Dossier. 2020. Available online: https://echa.europa.eu/registration-dossier/-/registered-dossier/15388 (accessed on 15 April 2021).
- Salimi, A.; Yousefi, A.A. Conformational Changes and Phase Transformation Mechanisms in PVDF Solution-Cast Films. J. Polym. Sci. Part B Polym. Phys. 2004, 42, 3487–3495. [Google Scholar] [CrossRef]
- European Chemicals Agency. Cyclopentanone Registration Dossier. 2020. Available online: https://echa.europa.eu/registration-dossier/-/registered-dossier/13920 (accessed on 15 April 2021).
- Ardel, G.; Golodnitsky, D.; Freedman, K.; Peled, E.; Appetecchi, G.B.; Romagnoli, P.; Scrosati, B. Rechargeable Lithium/Hybrid-Electrolyte/Pyrite Battery. J. Power Sources 2002, 110, 152–162. [Google Scholar] [CrossRef]
- Wang, J.; Du, H.; Liu, H.; Yao, X.; Hu, Z.; Fan, B. Prediction of Surface Tension for Common Compounds Based on Novel Methods Using Heuristic Method and Support Vector Machine. Talanta 2007, 73, 147–156. [Google Scholar] [CrossRef]
- European Chemicals Agency. Dibutyl Phthalate Registration Dossier. 2020. Available online: https://echa.europa.eu/registration-dossier/-/registered-dossier/14862 (accessed on 15 April 2021).
- Gu, M.; Zhang, J.; Wang, X.; Tao, H.; Ge, L. Formation of Poly(Vinylidene Fluoride) (PVDF) Membranes via Thermally Induced Phase Separation. Desalination 2006, 192, 160–167. [Google Scholar] [CrossRef]
- Li, X.; Lu, X. Morphology of Polyvinylidene Fluoride and Its Blend in Thermally Induced Phase Separation Process. J. Appl. Polym. Sci. 2006, 101, 2944–2952. [Google Scholar] [CrossRef]
- Ji, G.L.; Du, C.H.; Zhu, B.K.; Xu, Y.Y. Preparation of Porous PVDF Membrane via Thermally Induced Phase Separation with Diluent Mixture of DBP and DEHP. J. Appl. Polym. Sci. 2007, 105, 1496–1502. [Google Scholar] [CrossRef]
- Yang, J.; Wang, X.L.; Tian, Y.; Lin, Y.; Tian, F. Morphologies and Crystalline Forms of Polyvinylidene Fluoride Membranes Prepared in Different Diluents by Thermally Induced Phase Separation. J. Polym. Sci. Part B Polym. Phys. 2010, 48, 2468–2475. [Google Scholar] [CrossRef]
- Cui, A.; Liu, Z.; Xiao, C.; Zhang, Y. Effect of Micro-Sized SiO2-Particle on the Performance of PVDF Blend Membranes via TIPS. J. Membr. Sci. 2010, 360, 259–264. [Google Scholar] [CrossRef]
- Song, Z.; Yang, W.; Zhang, J.; Li, Y.; Yuan, S. Fabrication of Hollow Fiber Microfiltration Membrane from PVDF/DBP/DBS System via Thermally Induced Phase Separation Process. J. Polym. Eng. 2015, 35, 709–717. [Google Scholar] [CrossRef]
- Inkemia Green Chemicals. Dibutyl Sebacate. Available online: https://shop.inkemiagreenchemicals.com/products/dibutyl-sebacate (accessed on 15 April 2021).
- European Chemicals Agency. Dibutyl Sebacate Registration Dossier. 2020. Available online: https://echa.europa.eu/registration-dossier/-/registered-dossier/16127 (accessed on 15 April 2021).
- Zhao, G.; Bi, S.; Li, X.; Wu, J. Surface Tension of Diethyl Carbonate, 1,2-Dimethoxyethane and Diethyl Adipate. Fluid Phase Equilibria 2010, 295, 46–49. [Google Scholar] [CrossRef]
- European Chemicals Agency. Diethyl Carbonate Registration Dossier. 2020. Available online: https://echa.europa.eu/registration-dossier/-/registered-dossier/14116 (accessed on 15 April 2021).
- Thomsen, M.; Carlsen, L.; Hvidt, S. Solubilities and Surface Activities of Phthalates Investigated by Surface Tension Measurements. Environ. Toxicol. Chem. 2001, 20, 127–132. [Google Scholar] [CrossRef] [PubMed]
- European Chemicals Agency. Diethyl Phthalate Registration Dossier. 2020. Available online: https://echa.europa.eu/registration-dossier/-/registered-dossier/14869 (accessed on 15 April 2021).
- Ishigami, T.; Nii, Y.; Ohmukai, Y.; Rajabzadeh, S.; Matsuyama, H. Solidification Behavior of Polymer Solution during Membrane Preparation by Thermally Induced Phase Separation. Membranes 2014, 4, 113–122. [Google Scholar] [CrossRef]
- Rajabzadeh, S.; Liang, C.; Ohmukai, Y.; Maruyama, T.; Matsuyama, H. Effect of Additives on the Morphology and Properties of Poly(Vinylidene Fluoride) Blend Hollow Fiber Membrane Prepared by the Thermally Induced Phase Separation Method. J. Membr. Sci. 2012, 423–424, 189–194. [Google Scholar] [CrossRef]
- Sherwood, J.; Bruyn, M.D.; Constantinou, A.; Moity, L.; McElroy, C.R.; Farmer, T.J.; Duncan, T.; Raverty, W.; Hunt, A.J.; Clark, J.H. Dihydrolevoglucosenone (Cyrene) as a Bio-Based Alternative for Dipolar Aprotic Solvents. Chem. Commun. 2014, 50, 9650–9652. [Google Scholar] [CrossRef] [PubMed]
- Salavagione, H.J.; Sherwood, J.; Bruyn, M.D.; Budarin, V.L.; Ellis, G.J.; Clark, J.H.; Shuttleworth, P.S. Identification of High Performance Solvents for the Sustainable Processing of Graphene. Green Chem. 2017, 19, 2550–2560. [Google Scholar] [CrossRef]
- European Chemicals Agency. (1S,5R)-6,8-Dioxabicyclo[3.2.1]Octan-4-One Registration Dossier. 2020. Available online: https://echa.europa.eu/registration-dossier/-/registered-dossier/16252 (accessed on 15 April 2021).
- Marino, T.; Galiano, F.; Molino, A.; Figoli, A. New Frontiers in Sustainable Membrane Preparation: Cyrene™ as Green Bioderived Solvent. J. Membr. Sci. 2019, 580, 224–234. [Google Scholar] [CrossRef]
- European Chemicals Agency. N,N-Dimethylacetamide Registration Dossier. 2020. Available online: https://echa.europa.eu/registration-dossier/-/registered-dossier/15266 (accessed on 15 April 2021).
- Gregorio, R., Jr.; Cestari, M. Effect of Crystallization Temperature on the Crystalline Phase Content and Morphology of Poly(Vinylidene Fluoride). J. Polym. Sci. Part B Polym. Phys. 1994, 32, 859–870. [Google Scholar] [CrossRef]
- Yeow, M.L.; Liu, Y.T.; Li, K. Morphological Study of Poly(Vinylidene Fluoride) Asymmetric Membranes: Effects of the Solvent, Additive, and Dope Temperature. J. Appl. Polym. Sci. 2004, 92, 1782–1789. [Google Scholar] [CrossRef]
- Otsuka, T.; Chujo, Y. Synthesis of Transparent Poly(Vinylidene Fluoride) (PVdF)/Zirconium Oxide Hybrids without Crystallization of PVdF Chains. Polymer 2009, 50, 3174–3181. [Google Scholar] [CrossRef][Green Version]
- Yu, L.Y.; Xu, Z.L.; Shen, H.M.; Yang, H. Preparation and Characterization of PVDF–SiO2 Composite Hollow Fiber UF Membrane by Sol–Gel Method. J. Membr. Sci. 2009, 337, 257–265. [Google Scholar] [CrossRef]
- Li, Q.; Xu, Z.L.; Yu, L.Y. Effects of Mixed Solvents and PVDF Types on Performances of PVDF Microporous Membranes. J. Appl. Polym. Sci. 2010, 115, 2277–2287. [Google Scholar] [CrossRef]
- Zhou, X.; He, W.; Li, G.; Zhang, X.; Zhu, S.; Huang, J.; Zhu, S. Recycling of Electrode Materials from Spent Lithium-Ion Batteries. In Proceedings of the 2010 4th International Conference on Bioinformatics and Biomedical Engineering, Chengdu, China, 18–20 June 2010; pp. 1–4. [Google Scholar] [CrossRef]
- Wang, Q.; Wang, Z.; Wu, Z. Effects of Solvent Compositions on Physicochemical Properties and Anti-Fouling Ability of PVDF Microfiltration Membranes for Wastewater Treatment. Desalination 2012, 297, 79–86. [Google Scholar] [CrossRef]
- Banerjee, A.; Kumar, P.S.; Shukla, A.K. Influence of Binder Solvent on Carbon-Layer Structure in Electrical-Double-Layer Capacitors. J. Chem. Sci. 2013, 125, 1177–1183. [Google Scholar] [CrossRef]
- Yi, Z.; Zhu, L.P.; Zhang, H.; Zhu, B.K.; Xu, Y.Y. Ionic Liquids as Co-Solvents for Zwitterionic Copolymers and the Preparation of Poly(Vinylidene Fluoride) Blend Membranes with Dominated β-Phase Crystals. Polymer 2014, 55, 2688–2696. [Google Scholar] [CrossRef]
- Lee, J.; Park, B.; Kim, J.; Park, S.B. Effect of PVP, Lithium Chloride, and Glycerol Additives on PVDF Dual-Layer Hollow Fiber Membranes Fabricated Using Simultaneous Spinning of TIPS and NIPS. Macromol. Res. 2015, 23, 291–299. [Google Scholar] [CrossRef]
- Zhao, Y.; Zhou, Y.; Yang, Y.; Xu, J.; Chen, Z.D.; Jiang, Y. The Impact of Solvents on Properties of Solution-Cast Poly(Vinylidene Fluoride) Films for Energy Storage. Mater. Lett. 2018, 219, 201–204. [Google Scholar] [CrossRef]
- Mohammad, A.A.; Alkhaldi, K.H.A.E.; AlTuwaim, M.S.; Al-Jimaz, A.S. Viscosity and Surface Tension of Binary Systems of N,N-Dimethylformamide with Alkan-1-Ols at Different Temperatures. J. Chem. Thermodyn. 2013, 56, 106–113. [Google Scholar] [CrossRef]
- European Chemicals Agency. N,N-Dimethylformamide Registration Dossier. 2020. Available online: https://echa.europa.eu/registration-dossier/-/registered-dossier/15093 (accessed on 15 April 2021).
- Young, T.H.; Cheng, L.P.; Lin, D.J.; Fane, L.; Chuang, W.Y. Mechanisms of PVDF Membrane Formation by Immersion-Precipitation in Soft (1-Octanol) and Harsh (Water) Nonsolvents. Polymer 1999, 40, 5315–5323. [Google Scholar] [CrossRef]
- Lin, D.J.; Beltsios, K.; Young, T.H.; Jeng, Y.S.; Cheng, L.P. Strong Effect of Precursor Preparation on the Morphology of Semicrystalline Phase Inversion Poly(Vinylidene Fluoride) Membranes. J. Membr. Sci. 2006, 274, 64–72. [Google Scholar] [CrossRef]
- Gregorio, R. Determination of the α, β, and γ Crystalline Phases of Poly(Vinylidene Fluoride) Films Prepared at Different Conditions. J. Appl. Polym. Sci. 2006, 100, 3272–3279. [Google Scholar] [CrossRef]
- Ma, W.; Zhang, J.; Chen, S.; Wang, X. Crystalline Phase Formation of Poly(Vinylidene Fluoride) from Tetrahydrofuran/N,N-dimethylformamide Mixed Solutions. J. Macromol. Sci. Part B Phys. 2008, 47, 434–449. [Google Scholar] [CrossRef]
- Gregorio, R.; Borges, D.S. Effect of Crystallization Rate on the Formation of the Polymorphs of Solution Cast Poly(Vinylidene Fluoride). Polymer 2008, 49, 4009–4016. [Google Scholar] [CrossRef]
- Zhao, X.; Cheng, J.; Chen, S.; Zhang, J.; Wang, X. Controlled Crystallization of Poly(Vinylidene Fluoride) Chains from Mixed Solvents Composed of Its Good Solvent and Nonsolvent. J. Polym. Sci. Part B Polym. Phys. 2010, 48, 575–581. [Google Scholar] [CrossRef]
- Tao, M.M.; Liu, F.; Ma, B.R.; Xue, L.X. Effect of Solvent Power on PVDF Membrane Polymorphism during Phase Inversion. Desalination 2013, 316, 137–145. [Google Scholar] [CrossRef]
- He, L.P.; Sun, S.Y.; Song, X.F.; Yu, J.G. Recovery of Cathode Materials and Al from Spent Lithium-Ion Batteries by Ultrasonic Cleaning. Waste Manag. 2015, 46, 523–528. [Google Scholar] [CrossRef] [PubMed]
- Kumar, C.; Viswanath, P. Solvent Driven Polymorphism in Langmuir and Langmuir Schaefer Film of Poly(Vinylidene Fluoride). Eur. Polym. J. 2017, 86, 132–142. [Google Scholar] [CrossRef]
- Natarajan, S.; Boricha, A.B.; Bajaj, H.C. Recovery of Value-Added Products from Cathode and Anode Material of Spent Lithium-Ion Batteries. Waste Manag. 2018, 77, 455–465. [Google Scholar] [CrossRef]
- Markarian, S.A.; Terzyan, A.M. Surface Tension and Refractive Index of Dialkylsulfoxide + Water Mixtures at Several Temperatures. J. Chem. Eng. Data 2007, 52, 1704–1709. [Google Scholar] [CrossRef]
- European Chemicals Agency. Dimethyl Sulfoxide Registration Dossier. 2020. Available online: https://echa.europa.eu/registration-dossier/-/registered-dossier/15007 (accessed on 15 April 2021).
- Lin, D.J.; Chang, C.L.; Lee, C.K.; Cheng, L.P. Preparation and Characterization of Microporous PVDF/PMMA Composite Membranes by Phase Inversion in Water/DMSO Solutions. Eur. Polym. J. 2006, 42, 2407–2418. [Google Scholar] [CrossRef]
- Liu, Z.H.; Pan, C.T.; Lin, L.W.; Lai, H.W. Piezoelectric Properties of PVDF/MWCNT Nanofiber Using near-Field Electrospinning. Sens. Actuators A Phys. 2013, 193, 13–24. [Google Scholar] [CrossRef]
- Enayatzadeh, M.; Mohammadi, T. Morphology and Performance of Poly(Vinylidene Fluoride) Flat Sheet Membranes: Thermodynamic and Kinetic Aspects. J. Appl. Polym. Sci. 2018, 135, 46419. [Google Scholar] [CrossRef]
- Rafati, A.A.; Ghasemian, E.; Iloukhani, H. Surface Tension and Surface Properties of Binary Mixtures of 1,4-Dioxane or N,N-Dimethyl Formamide with n-Alkyl Acetates. J. Chem. Eng. Data 2009, 54, 3224–3228. [Google Scholar] [CrossRef]
- European Chemicals Agency. 1,4-Dioxane Registration Dossier. 2020. Available online: https://echa.europa.eu/registration-dossier/-/registered-dossier/15842 (accessed on 15 April 2021).
- Lee, M.K.; Lee, J. Mimicking Permafrost Formation for the Preparation of Porous Polymer Membranes. Polymer 2015, 74, 176–181. [Google Scholar] [CrossRef]
- Kirk-Othmer. Kirk-Othmer Encyclopedia of Chemical Technology, 3rd ed.; John Wiley & Sons: New York, NY, USA, 1981; Volume 13. [Google Scholar]
- Yaws, C.L.; Richmond, P.C. Chapter 21—Surface Tension—Organic Compounds. In Thermophysical Properties of Chemicals and Hydrocarbons; Yaws, C.L., Ed.; William Andrew Publishing: Norwich, NY, USA, 2009; pp. 686–781. [Google Scholar] [CrossRef]
- ChemBK. HEPTAN-3-ONE. 2015. Available online: https://www.chembk.com/en/chem/HEPTAN-3-ONE (accessed on 15 April 2021).
- Taniewska-Osińska, S.; Jóźwiak, M. Densimetric and Viscosimetric Investigations of NaI in Hexamethylphosphoramide–Water Mixtures at 293.15, 298.15 and 303.15 K. J. Chem. Soc. Faraday Trans. Phys. Chem. Condens. Phases 1989, 85, 2141–2147. [Google Scholar] [CrossRef]
- Sigma-Aldrich. Hexamethylphosphoramide. 2020. Available online: https://www.sigmaaldrich.com/catalog/product/aldrich/52730 (accessed on 15 April 2021).
- Ha, D.M. Measurement and Prediction of Fire and Explosion Properties of 3-Hexanone. J. Korean Inst. Gas 2013, 17, 33–38. [Google Scholar] [CrossRef]
- Sigma-Aldrich. 3-Hexanone. 2020. Available online: https://www.sigmaaldrich.com/catalog/product/aldrich/103020 (accessed on 15 April 2021).
- U.S. EPA. 3-Hexanone. 2020. Available online: https://comptox.epa.gov/dashboard/dsstoxdb/results?search=DTXSID2021608 (accessed on 15 April 2021).
- Ouyang, G.; Yang, Y.; Lu, S.; Huang, Z.; Kang, B. Excess Molar Volumes and Surface Tensions of Xylene with Acetone or 2-Butanone at 298.15 K. J. Chem. Eng. Data 2004, 49, 330–332. [Google Scholar] [CrossRef]
- European Chemicals Agency. Butanone Registration Dossier. 2020. Available online: https://echa.europa.eu/registration-dossier/-/registered-dossier/15065 (accessed on 15 April 2021).
- Kahl, H.; Wadewitz, T.; Winkelmann, J. Surface Tension of Pure Liquids and Binary Liquid Mixtures. J. Chem. Eng. Data 2003, 48, 580–586. [Google Scholar] [CrossRef]
- European Chemicals Agency. 1-Methyl-2-Pyrrolidone Registration Dossier. 2020. Available online: https://echa.europa.eu/registration-dossier/-/registered-dossier/15493 (accessed on 15 April 2021).
- Contestabile, M.; Panero, S.; Scrosati, B. A Laboratory-Scale Lithium-Ion Battery Recycling Process. J. Power Sources 2001, 92, 65–69. [Google Scholar] [CrossRef]
- Sukitpaneenit, P.; Chung, T.S. Molecular Elucidation of Morphology and Mechanical Properties of PVDF Hollow Fiber Membranes from Aspects of Phase Inversion, Crystallization and Rheology. J. Membr. Sci. 2009, 340, 192–205. [Google Scholar] [CrossRef]
- Sun, A.C.; Kosar, W.; Zhang, Y.; Feng, X. A Study of Thermodynamics and Kinetics Pertinent to Formation of PVDF Membranes by Phase Inversion. Desalination 2013, 309, 156–164. [Google Scholar] [CrossRef]
- Zhang, X.; Xie, Y.; Lin, X.; Li, H.; Cao, H. An Overview on the Processes and Technologies for Recycling Cathodic Active Materials from Spent Lithium-Ion Batteries. J. Mater. Cycles Waste Manag. 2013, 15, 420–430. [Google Scholar] [CrossRef]
- Xu, H.P.; Lang, W.Z.; Zhang, X.; Guo, Y.J. Preparation and Characterizations of Charged PVDF Membranes via Composite Thermally Induced Phase Separation (C-TIPS) Method. J. Ind. Eng. Chem. 2015, 21, 1005–1013. [Google Scholar] [CrossRef]
- European Chemicals Agency. Octan-3-One Registration Dossier. 2020. Available online: https://echa.europa.eu/registration-dossier/-/registered-dossier/22922 (accessed on 15 April 2021).
- Abbott, S. Hansen Solubility Parameters in Practice—Complete with Software, Data, and Examples, 5th ed.; 2015; ISBN 9780955122026. Available online: http://kinampark.com/T-Polymers/files/Hansen%20HSPiP.pdf (accessed on 15 April 2021).
- Randová, A.; Bartovská, L.; Morávek, P.; Matějka, P.; Novotná, M.; Matějková, S.; Drioli, E.; Figoli, A.; Lanč, M.; Friess, K. A Fundamental Study of the Physicochemical Properties of Rhodiasolv®Polarclean: A Promising Alternative to Common and Hazardous Solvents. J. Mol. Liq. 2016, 224, 1163–1171. [Google Scholar] [CrossRef]
- Hassankiadeh, N.T.; Cui, Z.; Kim, J.H.; Shin, D.W.; Lee, S.Y.; Sanguineti, A.; Arcella, V.; Lee, Y.M.; Drioli, E. Microporous Poly(Vinylidene Fluoride) Hollow Fiber Membranes Fabricated with PolarClean as Water-Soluble Green Diluent and Additives. J. Membr. Sci. 2015, 479, 204–212. [Google Scholar] [CrossRef]
- Jung, J.T.; Kim, J.F.; Wang, H.H.; Di Nicolo, E.; Drioli, E.; Lee, Y.M. Understanding the Non-Solvent Induced Phase Separation (NIPS) Effect during the Fabrication of Microporous PVDF Membranes via Thermally Induced Phase Separation (TIPS). J. Membr. Sci. 2016, 514, 250–263. [Google Scholar] [CrossRef]
- Lide, D. (Ed.) CRC Handbook of Chemistry and Physics, 86th ed.; CRC Press: Boca Raton, FL, USA, 2005. [Google Scholar]
- European Chemicals Agency. Pentan-3-One Registration Dossier. 2020. Available online: https://echa.europa.eu/registration-dossier/-/registered-dossier/2213 (accessed on 15 April 2021).
- European Chemicals Agency. Propylene Carbonate Registration Dossier. 2020. Available online: https://echa.europa.eu/registration-dossier/-/registered-dossier/16088 (accessed on 15 April 2021).
- Naejus, R.; Lemordant, D.; Coudert, R.; Willmann, P. Excess Thermodynamic Properties of Binary Mixtures Containing Linear or Cyclic Carbonates as Solvents at the Temperatures 298.15 K and 315.15 K. J. Chem. Thermodyn. 1997, 29, 1503–1515. [Google Scholar] [CrossRef]
- Tahery, R. Surface Tension Measurements for Binary Mixtures of Chlorobenzene or Chlorocyclohexane + Tetrahydrofuran at 298.15 K. J. Solut. Chem. 2017, 46, 1152–1164. [Google Scholar] [CrossRef]
- European Chemicals Agency. Tetrahydrofuran Registration Dossier. 2020. Available online: https://echa.europa.eu/registration-dossier/-/registered-dossier/15474 (accessed on 15 April 2021).
- Caruso, J.A.; Barker, B.J. Solvation and Chemical Equilibrium Studies of Alkali Metal Salts in 1,1,3,3-Tetramethylurea. J. Am. Chem. Soc. 1971, 93, 1341–1346. [Google Scholar] [CrossRef]
- Lindfors, K.R.; Opperman, S.H.; Glover, M.E.; Seese, J.D. Intermolecular Hydrogen Bonding. I. Effects on the Physical Properties of Tetramethylurea-Water Mixtures. J. Phys. Chem. 1971, 75, 3313–3316. [Google Scholar] [CrossRef]
- U.S. EPA. Tetramethylurea. 2020. Available online: https://comptox.epa.gov/dashboard/dsstoxdb/results?search=DTXSID1060893 (accessed on 15 April 2021).
- Benerito, R.R.; Singleton, W.S.; Feuge, R.O. Surface and Interfacial Tensions of Synthetic Glycerides of Known Composition and Configuration. J. Phys. Chem. 1954, 58, 831–834. [Google Scholar] [CrossRef]
- European Chemicals Agency. Triacetin Registration Dossier. 2020. Available online: https://echa.europa.eu/registration-dossier/-/registered-dossier/15139 (accessed on 15 April 2021).
- Rajabzadeh, S.; Maruyama, T.; Sotani, T.; Matsuyama, H. Preparation of PVDF Hollow Fiber Membrane from a Ternary Polymer/Solvent/Nonsolvent System via Thermally Induced Phase Separation (TIPS) Method. Sep. Purif. Technol. 2008, 63, 415–423. [Google Scholar] [CrossRef]
- Rajabzadeh, S.; Teramoto, M.; Al-Marzouqi, M.H.; Kamio, E.; Ohmukai, Y.; Maruyama, T.; Matsuyama, H. Experimental and Theoretical Study on Propylene Absorption by Using PVDF Hollow Fiber Membrane Contactors with Various Membrane Structures. J. Membr. Sci. 2010, 346, 86–97. [Google Scholar] [CrossRef]
- Rajabzadeh, S.; Maruyama, T.; Ohmukai, Y.; Sotani, T.; Matsuyama, H. Preparation of PVDF/PMMA Blend Hollow Fiber Membrane via Thermally Induced Phase Separation (TIPS) Method. Sep. Purif. Technol. 2009, 66, 76–83. [Google Scholar] [CrossRef]
- Ghasem, N.; Al-Marzouqi, M.; Duaidar, A. Effect of Quenching Temperature on the Performance of Poly(Vinylidene Fluoride) Microporous Hollow Fiber Membranes Fabricated via Thermally Induced Phase Separation Technique on the Removal of CO2 from CO2-Gas Mixture. Int. J. Greenh. Gas Control 2011, 5, 1550–1558. [Google Scholar] [CrossRef]
- European Chemicals Agency. Triethyl Citrate Registration Dossier. 2020. Available online: https://echa.europa.eu/registration-dossier/-/registered-dossier/14584 (accessed on 15 April 2021).
- Kannan, S.; Kishore, K. Absolute Viscosity and Density of Trisubstituted Phosphoric Esters. J. Chem. Eng. Data 1999, 44, 649–655. [Google Scholar] [CrossRef]
- European Chemicals Agency. Triethyl Phosphate Substance Information. 2019. Available online: https://echa.europa.eu/substance-information/-/substanceinfo/100.001.013 (accessed on 15 April 2021).
- Zhang, Z.; Guo, C.; Li, X.; Liu, G.; Lv, J. Effects of PVDF Crystallization on Polymer Gelation Behavior and Membrane Structure from PVDF/TEP System via Modified TIPS Process. Polym. Plast. Technol. Eng. 2013, 52, 564–570. [Google Scholar] [CrossRef]
- Chang, J.; Zuo, J.; Zhang, L.; O’Brien, G.S.; Chung, T.S. Using Green Solvent, Triethyl Phosphate (TEP), to Fabricate Highly Porous PVDF Hollow Fiber Membranes for Membrane Distillation. J. Membr. Sci. 2017, 539, 295–304. [Google Scholar] [CrossRef]
- Marino, T.; Russo, F.; Figoli, A. The Formation of Polyvinylidene Fluoride Membranes with Tailored Properties via Vapour/Non-Solvent Induced Phase Separation. Membranes 2018, 8, 71. [Google Scholar] [CrossRef]
- European Chemicals Agency. Trimethyl Phosphate Registration Dossier. 2020. Available online: https://echa.europa.eu/registration-dossier/-/registered-dossier/22505 (accessed on 15 April 2021).
- Byrne, F.P.; Nussbaumer, C.M.; Savin, E.J.; Milescu, R.A.; McElroy, C.R.; Clark, J.H.; Van Vugt-Lussenburg, B.M.A.; Van der Burg, B.; Meima, M.Y.; Buist, H.E.; et al. A Family of Water-Immiscible, Dipolar Aprotic, Diamide Solvents from Succinic Acid. ChemSusChem 2020, 13, 3212–3221. [Google Scholar] [CrossRef]
- European Chemicals Agency. Acetophenone Registration Dossier. 2020. Available online: https://echa.europa.eu/registration-dossier/-/registered-dossier/14683/4/23 (accessed on 15 April 2021).
- Mal, S.; Nandi, A.K. A Thermodynamic Study on the Thermoreversible Poly(Vinylidene Fluoride) Gels in Acetophenone, Ethyl Benzoate, and Glyceryl Tributyrate. Langmuir 1998, 14, 2238–2244. [Google Scholar] [CrossRef]
- Mal, S.; Nandi, A.K. Influence of Chain Structure and Molecular Weight of Poly(Vinylidene Fluoride) on the Morphology of Its Thermoreversible Gels in Acetophenone, Ethyl Benzoate, and Glyceryl Tributyrate. Macromol. Chem. Phys. 1999, 200, 1074–1079. [Google Scholar] [CrossRef]
- European Chemicals Agency. Tributyl O-Acetylcitrate Substance Information. 2019. Available online: https://echa.europa.eu/substance-information/-/substanceinfo/100.000.971 (accessed on 15 April 2021).
- Cui, Z.; Hassankiadeh, N.T.; Lee, S.Y.; Lee, J.M.; Woo, K.T.; Sanguineti, A.; Arcella, V.; Lee, Y.M.; Drioli, E. Poly(Vinylidene Fluoride) Membrane Preparation with an Environmental Diluent via Thermally Induced Phase Separation. J. Membr. Sci. 2013, 444, 223–236. [Google Scholar] [CrossRef]
- Hassankiadeh, N.T.; Cui, Z.; Kim, J.H.; Shin, D.W.; Sanguineti, A.; Arcella, V.; Lee, Y.M.; Drioli, E. PVDF Hollow Fiber Membranes Prepared from Green Diluent via Thermally Induced Phase Separation: Effect of PVDF Molecular Weight. J. Membr. Sci. 2014, 471, 237–246. [Google Scholar] [CrossRef]
- European Chemicals Agency. Benzophenone Registration Dossier. 2020. Available online: https://echa.europa.eu/registration-dossier/-/registered-dossier/13823/4/3 (accessed on 15 April 2021).
- Gu, M.; Zhang, J.; Xia, Y.; Wang, X. Poly(Vinylidene Fluoride) Crystallization Behavior and Membrane Structure Formation Via Thermally Induced Phase Separation with Benzophenone Diluent. J. Macromol. Sci. Part B 2008, 47, 180–191. [Google Scholar] [CrossRef]
- Yang, J.; Li, D.W.; Lin, Y.K.; Wang, X.L.; Tian, F.; Wang, Z. Formation of a Bicontinuous Structure Membrane of Polyvinylidene Fluoride in Diphenyl Ketone Diluent via Thermally Induced Phase Separation. J. Appl. Polym. Sci. 2008, 110, 341–347. [Google Scholar] [CrossRef]
- Lin, Y.; Tang, Y.; Ma, H.; Yang, J.; Tian, Y.; Ma, W.; Wang, X. Formation of a Bicontinuous Structure Membrane of Polyvinylidene Fluoride in Diphenyl Carbonate Diluent via Thermally Induced Phase Separation. J. Appl. Polym. Sci. 2009, 114, 1523–1528. [Google Scholar] [CrossRef]
- Tang, Y.; Lin, Y.; Ma, W.; Tian, Y.; Yang, J.; Wang, X. Preparation of Microporous PVDF Membrane via Tips Method Using Binary Diluent of DPK and PG. J. Appl. Polym. Sci. 2010, 118, 3518–3523. [Google Scholar] [CrossRef]
- Kim, K.S.; Demberelnyamba, D.; Shin, B.K.; Yeon, S.H.; Choi, S.; Cha, J.H.; Lee, H.; Lee, C.S.; Shim, J.J. Surface Tension and Viscosity of 1-Butyl-3-Methylimidazolium Iodide and 1-Butyl-3-Methylimidazolium Tetrafluoroborate, and Solubility of Lithium Bromide+1-Butyl-3-Methylimidazolium Bromide in Water. Korean J. Chem. Eng. 2006, 23, 113–116. [Google Scholar] [CrossRef]
- Tian, S.; Hou, Y.; Wu, W.; Ren, S.; Pang, K. Physical Properties of 1-Butyl-3-Methylimidazolium Tetrafluoroborate/N-Methyl-2-Pyrrolidone Mixtures and the Solubility of CO2 in the System at Elevated Pressures. J. Chem. Eng. Data 2012, 57, 756–763. [Google Scholar] [CrossRef]
- Sigma-Aldrich. 1-Butyl-3-Methylimidazolium Tetrafluoroborate. 2020. Available online: https://www.sigmaaldrich.com/catalog/product/sial/39931 (accessed on 15 April 2021).
- Zeng, X.; Li, J. Innovative Application of Ionic Liquid to Separate Al and Cathode Materials from Spent High-Power Lithium-Ion Batteries. J. Hazard. Mater. 2014, 271, 50–56. [Google Scholar] [CrossRef] [PubMed]
- Sigma-Aldrich. Epsilon-Caprolactam. 2020. Available online: https://www.sigmaaldrich.com/catalog/product/aldrich/c2204?lang=en®ion=GB (accessed on 15 April 2021).
- European Chemicals Agency. ϵ-Caprolactam Registration Dossier. 2020. Available online: https://echa.europa.eu/registration-dossier/-/registered-dossier/15939/4/3 (accessed on 15 April 2021).
- Liu, Z.H.; Maréchal, P.; Jérôme, R. Intermolecular Interactions in Poly(Vinylidene Fluoride) and ϵ-Caprolactam Mixtures. Polymer 1996, 37, 5317–5320. [Google Scholar] [CrossRef]
- Bürer, T.; Günthard, H. Infrarot-Spektren von Cyclanen Und Cyclanonen. III. Flüssigkeits- Und Festkörperspektren Der Cyclanone. Helv. Chim. Acta 1957, 40, 2054–2074. [Google Scholar] [CrossRef]
- Sigma-Aldrich. Cycloheptanone. 2020. Available online: https://www.sigmaaldrich.com/catalog/product/aldrich/c99000?lang=en®ion=GB (accessed on 15 April 2021).
- European Chemicals Agency. Dimethyl Adipate Registration Dossier. 2020. Available online: https://echa.europa.eu/registration-dossier/-/registered-dossier/14132/4/11 (accessed on 15 April 2021).
- Dikshit, A.K.; Nandi, A.K. Thermoreversible Gelation of Poly(Vinylidene Fluoride) in Diethyl Adipate: A Concerted Mechanism. Macromolecules 1998, 31, 8886–8892. [Google Scholar] [CrossRef]
- Dasgupta, D.; Nandi, A.K. Multiporous Polymeric Materials from Thermoreversible Poly(Vinylidene Fluoride) Gels. Macromolecules 2005, 38, 6504–6512. [Google Scholar] [CrossRef]
- Sigma-Aldrich. Diethyl Azelate. 2020. Available online: https://www.sigmaaldrich.com/catalog/product/aldrich/124583 (accessed on 15 April 2021).
- U.S. EPA. Diethyl Azelate. 2020. Available online: https://comptox.epa.gov/dashboard/dsstoxdb/results?search=DTXSID4060783 (accessed on 15 April 2021).
- Dikshit, A.K.; Nandi, A.K. Thermoreversible Gelation of Poly(Vinylidene Fluoride) in Diesters: Influence of Intermittent Length on Morphology and Thermodynamics of Gelation. Macromolecules 2000, 33, 2616–2625. [Google Scholar] [CrossRef]
- Sigma-Aldrich. Diethyl Glutarate. 2020. Available online: https://www.sigmaaldrich.com/catalog/product/aldrich/d96006 (accessed on 15 April 2021).
- U.S. EPA. Diethyl Glutarate. 2020. Available online: https://comptox.epa.gov/dashboard/dsstoxdb/results?search=DTXSID5061162 (accessed on 15 April 2021).
- Venkateswararao, V.; Satyanarayana, G.; Beebi, S.; Rambabu, C. Thermo-Physical Studies on Molecular Interactions in Liquid Binaries of Diethyl Malonate and Isomeric Xylenes at Various Temperatures. Der Pharma Chem. 2018, 10, 99–105. [Google Scholar]
- European Chemicals Agency. Diethyl Malonate Registration Dossier. 2020. Available online: https://echa.europa.eu/registration-dossier/-/registered-dossier/5774 (accessed on 15 April 2021).
- European Chemicals Agency. Diethyl Oxalate Registration Dossier. 2020. Available online: https://echa.europa.eu/registration-dossier/-/registered-dossier/14261/4/23 (accessed on 15 April 2021).
- Sigma-Aldrich. Diethyl Pimelate. 2020. Available online: https://www.sigmaaldrich.com/catalog/product/aldrich/d99706 (accessed on 15 April 2021).
- U.S. EPA. Diethyl Pimelate. 2020. Available online: https://comptox.epa.gov/dashboard/dsstoxdb/results?search=DTXSID30174485 (accessed on 15 April 2021).
- Wang, S.; Bi, S.; Wu, J. Surface Tension of Four Oxygenated Fuels: Experiment and Correlation. Fluid Phase Equilibria 2017, 452, 9–15. [Google Scholar] [CrossRef]
- European Chemicals Agency. Diethyl Succinate Registration Dossier. 2020. Available online: https://echa.europa.eu/registration-dossier/-/registered-dossier/27981/4/11 (accessed on 15 April 2021).
- European Chemicals Agency. Dimethyl Phthalate Registration Dossier. 2020. Available online: https://echa.europa.eu/registration-dossier/-/registered-dossier/14997 (accessed on 15 April 2021).
- Gu, M.; Zhang, J.; Wang, X.; Ma, W. Crystallization Behavior of PVDF in PVDF-DMP System via Thermally Induced Phase Separation. J. Appl. Polym. Sci. 2006, 102, 3714–3719. [Google Scholar] [CrossRef]
- European Chemicals Agency. Dimethyl Sulphone Registration Dossier. 2020. Available online: https://echa.europa.eu/registration-dossier/-/registered-dossier/17580 (accessed on 15 April 2021).
- Liang, H.Q.; Wu, Q.Y.; Wan, L.S.; Huang, X.J.; Xu, Z.K. Polar Polymer Membranes via Thermally Induced Phase Separation Using a Universal Crystallizable Diluent. J. Membr. Sci. 2013, 446, 482–491. [Google Scholar] [CrossRef]
- Sigma-Aldrich. Diphenyl Carbonate. 2020. Available online: https://www.sigmaaldrich.com/catalog/product/aldrich/d206539 (accessed on 15 April 2021).
- U.S. EPA. Diphenylcarbonate. 2020. Available online: https://comptox.epa.gov/dashboard/dsstoxdb/results?search=DTXSID3020540 (accessed on 15 April 2021).
- European Chemicals Agency. Ethyl Benzoate Registration Dossier. 2020. Available online: https://echa.europa.eu/registration-dossier/-/registered-dossier/16489/4/23 (accessed on 15 April 2021).
- Rodriguez, M.; Galan, M.; Munoz, M.J.; Martin, R. Viscosity of Triglycerides + Alcohols from 278 to 313 K. J. Chem. Eng. Data 1994, 39, 102–105. [Google Scholar] [CrossRef]
- O’Neil, M. (Ed.) The Merck Index, 13th ed.; Merck & Co.: Whitehouse Station, NJ, USA, 2001. [Google Scholar]
- Mal, S.; Nandi, A.K. Gelation Mechanism of Thermoreversible Poly(Vinylidene Fluoride) Gels in Glyceryl Tributyrate. Polymer 1998, 39, 6301–6307. [Google Scholar] [CrossRef]
- European Chemicals Agency. Methyl Salicylate Registration Dossier. 2020. Available online: https://echa.europa.eu/registration-dossier/-/registered-dossier/2227/4/23 (accessed on 15 April 2021).
- Ma, W.; Chen, S.; Zhang, J.; Wang, X. Kinetics of Thermally Induced Phase Separation in the PVDF Blend/Methyl Salicylate System and Its Effect on Membrane Structures. J. Macromol. Sci. Part B 2010, 50, 1–15. [Google Scholar] [CrossRef]
- European Chemicals Agency. Sulfolane Registration Dossier. 2019. Available online: https://echa.europa.eu/registration-dossier/-/registered-dossier/13657 (accessed on 15 April 2021).
- Cui, Z.Y.; Xu, Y.Y.; Zhu, L.P.; Wei, X.Z.; Zhang, C.F.; Zhu, B.K. Preparation of PVDF/PMMA Blend Microporous Membranes for Lithium Ion Batteries via Thermally Induced Phase Separation Process. Mater. Lett. 2008, 62, 3809–3811. [Google Scholar] [CrossRef]
- Sigman, M.E.; Lindley, S.M.; Leffler, J.E. Supercritical Carbon Dioxide: Behavior of .Pi.* and .Beta. Solvatochromic Indicators in Media of Different Densities. J. Am. Chem. Soc. 1985, 107, 1471–1472. [Google Scholar] [CrossRef]
- Ouyang, L.B. New Correlations for Predicting the Density and Viscosity of Supercritical Carbon Dioxide Under Conditions Expected in Carbon Capture and Sequestration Operations. Open Pet. Eng. J. 2011, 4, 13–21. [Google Scholar] [CrossRef]
- Lora, M.; Lim, J.S.; McHugh, M.A. Comparison of the Solubility of PVF and PVDF in Supercritical CH2F2 and CO2 and in CO2 with Acetone, Dimethyl Ether, and Ethanol. J. Phys. Chem. B 1999, 103, 2818–2822. [Google Scholar] [CrossRef]
- Dinoia, T.P.; Conway, S.E.; Lim, J.S.; McHugh, M.A. Solubility of Vinylidene Fluoride Polymers in Supercritical CO2 and Halogenated Solvents. J. Polym. Sci. Part B Polym. Phys. 2000, 38, 2832–2840. [Google Scholar] [CrossRef]
- Cui, Z.; Hassankiadeh, N.T.; Lee, S.Y.; Woo, K.T.; Lee, J.M.; Sanguineti, A.; Arcella, V.; Lee, Y.M.; Drioli, E. Tailoring Novel Fibrillar Morphologies in Poly(Vinylidene Fluoride) Membranes Using a Low Toxic Triethylene Glycol Diacetate (TEGDA) Diluent. J. Membr. Sci. 2015, 473, 128–136. [Google Scholar] [CrossRef]
- Miller-Chou, B.A.; Koenig, J.L. A Review of Polymer Dissolution. Prog. Polym. Sci. 2003, 28, 1223–1270. [Google Scholar] [CrossRef]
- Rasool, M.A.; Vankelecom, I.F.J. Use of γ-Valerolactone and Glycerol Derivatives as Bio-Based Renewable Solvents for Membrane Preparation. Green Chem. 2019, 21, 1054–1064. [Google Scholar] [CrossRef]
- Rasool, M.A.; Pescarmona, P.P.; Vankelecom, I.F.J. Applicability of Organic Carbonates as Green Solvents for Membrane Preparation. ACS Sustain. Chem. Eng. 2019, 7, 13774–13785. [Google Scholar] [CrossRef]
- Kim, J.F.; Kim, J.H.; Lee, Y.M.; Drioli, E. Thermally Induced Phase Separation and Electrospinning Methods for Emerging Membrane Applications: A Review. AIChE J. 2016, 62, 461–490. [Google Scholar] [CrossRef]
- Tan, X.M.; Rodrigue, D. A review on porous polymeric membrane preparation. Part I: Production techniques with polysulfone and poly (vinylidene fluoride). Polymers 2019, 11, 1160. [Google Scholar] [CrossRef]
- Liu, F.; Hashim, N.A.; Liu, Y.; Abed, M.R.M.; Li, K. Progress in the Production and Modification of PVDF Membranes. J. Membr. Sci. 2011, 375, 1–27. [Google Scholar] [CrossRef]
- Guillen, G.R.; Pan, Y.; Li, M.; Hoek, E.M.V. Preparation and Characterization of Membranes Formed by Nonsolvent Induced Phase Separation: A Review. Ind. Eng. Chem. Res. 2011, 50, 3798–3817. [Google Scholar] [CrossRef]
- Wang, D.M.; Lai, J.Y. Recent Advances in Preparation and Morphology Control of Polymeric Membranes Formed by Nonsolvent Induced Phase Separation. Curr. Opin. Chem. Eng. 2013, 2, 229–237. [Google Scholar] [CrossRef]
- Capello, C.; Fischer, U.; Hungerbühler, K. What is a green solvent? A comprehensive framework for the environmental assessment of solvents. Green Chem. 2007, 9, 927–934. [Google Scholar] [CrossRef]
- Byrne, F.P.; Jin, S.; Paggiola, G.; Petchey, T.; Clark, J.H.; Farmer, T.J.; Hunt, A.J.; McElroy, C.R.; Sherwood, J. Tools and techniques for solvent selection: Green solvent selection guides. Sustain. Chem. Process. 2016, 4, 1–24. [Google Scholar] [CrossRef]
- European Chemicals Agency. Dimethyl Sulfoxide Substance Information. 2019. Available online: https://echa.europa.eu/substance-information/-/substanceinfo/100.000.604 (accessed on 15 April 2021).
- Figoli, A.; Marino, T.; Simone, S.; Nicolò, E.D.; Li, X.M.; He, T.; Tornaghi, S.; Drioli, E. Towards Non-Toxic Solvents for Membrane Preparation: A Review. Green Chem. 2014, 16, 4034–4059. [Google Scholar] [CrossRef]
- Glindemann, D.; Novak, J.; Witherspoon, J. Dimethyl Sulfoxide (DMSO) Waste Residues and Municipal Waste Water Odor by Dimethyl Sulfide (DMS): The North-East WPCP Plant of Philadelphia. Environ. Sci. Technol. 2006, 40, 202–207. [Google Scholar] [CrossRef] [PubMed]
- Strathmann, H.; Kock, K. The formation mechanism of phase inversion membranes. Desalination 1977, 21, 241–255. [Google Scholar] [CrossRef]
- Fiume, M.Z.; Cosmetic Ingredients Review Expert Panel. Final report on the safety assessment of triacetin. Int. J. Toxicol. 2003, 22 (Suppl. 2), 1–10. [Google Scholar]
- Ghasem, N.; Al-Marzouqi, M.; Duidar, A. Effect of PVDF concentration on the morphology and performance of hollow fiber membrane employed as gas–liquid membrane contactor for CO2 absorption. Sep. Purif. Technol. 2012, 98, 174–185. [Google Scholar] [CrossRef]
- Camp, J.E. Bio-Available Solvent Cyrene: Synthesis, Derivatization, and Applications. ChemSusChem 2018, 11, 3048–3055. [Google Scholar] [CrossRef] [PubMed]
- Circa. Press Release: Circa Receives Green Light to Sell Non-Toxic, Bio-Based and Biodegradable Solvent in EU. 2018. Available online: https://www.sustainabilityconsult.com/news/361-press-release-circa-receives-green-light-to-sell-non-toxic-bio-based-and-biodegradable-solvent-in-eu (accessed on 15 April 2021).
- European Chemicals Agency. (1S,5R)-6,8-Dioxabicyclo[3.2.1]Octan-4-One Substance Information. 2019. Available online: https://echa.europa.eu/substance-information/-/substanceinfo/100.234.612 (accessed on 15 April 2021).
- European Chemicals Agency. 2,2’-[Ethane-1,2-Diylbis(Oxy)]Bisethyl Diacetate Substance Information. 2019. Available online: https://echa.europa.eu/substance-information/-/substanceinfo/100.003.497 (accessed on 15 April 2021).
- Solvay. Rhodiasolv. 2021. Available online: https://www.solvay.com/en/brands/rhodiasolv-polarclean (accessed on 15 April 2021).
- Cadman, P.; Gossedge, G.M. The chemical interaction of metals with polytetrafluoroethylene. J. Mater. Sci. 1979, 14, 2672–2678. [Google Scholar] [CrossRef]
- Madorsky, S.L.; Straus, S. Thermal Degradation of Polymers at High Temperatures. J. Res. Natl. Bur. Stand. Sect. Phys. Chem. 1959, 63, 261–268. [Google Scholar] [CrossRef]
- Nguyen, T. Degradation of Poly[vinyl Fluoride] and Poly[vinylidene Fluoride]. J. Macromol. Sci. Part C 1985, 25, 227–275. [Google Scholar] [CrossRef]
- Slater, P. Poly(vinylidene fluoride) as a reagent for the synthesis of K2NiF4-related inorganic oxide fluorides. J. Fluor. Chem. 2002, 117, 43–45. [Google Scholar] [CrossRef]
- Wang, J.; Shin, Y.; Arenholz, E.; Lefler, B.M.; Rondinelli, J.M.; May, S.J. Effect of fluoropolymer composition on topochemical synthesis of SrMnO3-δFγ oxyfluoride films. Phys. Rev. Mater. 2018, 2, 073407. [Google Scholar] [CrossRef]
- Wentink, T., Jr.; Willwerth, L.J.; Phaneuf, J.P. Properties of polyvinylidene fluoride. Part II. Infrared transmission of normal and thermally decomposed polymer. J. Polym. Sci. 1961, 55, 551–562. [Google Scholar] [CrossRef]
- Badali, Y.; Kcoyigit, S.; Aytimur, A.; Altindal, S.; Uslu, I. Synthesis of boron and rare earth stabilized graphene doped polyvinylidene fluoride (PVDF) nanocomposite piezoelectric materials. Polym. Compos. 2019, 40, 3623–3633. [Google Scholar] [CrossRef]
- Ouyang, Z.W.; Chen, E.C.; Wu, T.M. Thermal stability and magnetic properties of polyvinylidene fluoride/magnetite nanocomposites. Materials 2015, 8, 4553–4564. [Google Scholar] [CrossRef]
- Li, X.; Huang, C.; Yang, H.; Li, Y.; Cheng, Y. Thermal reaction properties of aluminum/copper (II) oxide/poly(vinylidene fluoride) nanocomposite. J. Therm. Anal. Calorim. 2016, 124, 899–907. [Google Scholar] [CrossRef]
- Liu, F.; Moghareh Abed, M.R.; Li, K. Preparation and characterization of poly(vinylidene fluoride) (PVDF) based ultrafiltration membranes using nano γ-Al2O3. J. Membr. Sci. 2011, 366, 97–103. [Google Scholar] [CrossRef]
- Li, H.; Kim, H. Thermal degradation and kinetic analysis of PVDF/modified MMT nanocomposite membranes. Desalination 2008, 234, 9–15. [Google Scholar] [CrossRef]
- Shen, Y.; Lua, A.C. Preparation and characterization of mixed matrix membranes based on PVDF and three inorganic fillers (fumed nonporous silica, zeolite 4A and mesoporous MCM-41) for gas separation. Chem. Eng. J. 2012, 192, 201–210. [Google Scholar] [CrossRef]
- Teow, Y.H.; Latif, A.A.; Lim, J.K.; Ngang, H.P.; Susan, L.Y.; Ooi, B.S. Hydroxyl functionalized PVDF-TiO2 ultrafiltration membrane and its antifouling properties. J. Appl. Polym. Sci. 2015, 132, 1–11. [Google Scholar] [CrossRef]
- Bei, P.; Liu, H.; Yao, H.; Hu, A.; Sun, Y.; Guo, L. Preparation and characterization of PVDF/CaCO3 composite membranes etched by hydrochloric acid. Environ. Sci. Pollut. Res. 2019. [Google Scholar] [CrossRef] [PubMed]
- Xiao, L.; Davenport, D.M.; Ormsbee, L.; Bhattacharyya, D. Polymerization and Functionalization of Membrane Pores for Water Related Applications. Ind. Eng. Chem. Res. 2015, 54, 4174–4182. [Google Scholar] [CrossRef] [PubMed]
- Wootthikanokkhan, J.; Changsuwan, P. Dehydrofluorination of PVDF and Proton Conductivity of the Modified PVDF/Sulfonated SEBS Blend Membranes. J. Met. Mater. Miner. 2008, 18, 57–62. [Google Scholar]
- Ross, G.J.; Watts, J.F.; Hill, M.P.; Morrissey, P. Surface modification of poly(vinylidene fluoride) by alkaline treatment: 1. The degradation mechanism. Polymer 2000, 41, 1685–1696. [Google Scholar] [CrossRef]
- Kise, H.; Ogata, H.; Nakata, M. Chemical dehydrofluorination and electrical conductivity of poly(vinylidene fluoride) films. Die Angew. Makromol. Chem. 1989, 168, 205–216. [Google Scholar] [CrossRef]
- Kise, H.; Ogata, H. Phase Transfer Catalysis in Dehydrofluorination of Poly(Vinylidene Fluoride) By Aqueous Sodium Hydroxide Solutions. J. Polym. Sci. Part A Polym. Chem. 1983, 21, 3443–3451. [Google Scholar] [CrossRef]
- Taguet, A.; Ameduri, B.; Boutevin, B. Crosslinking of vinylidene fluoride-containing fluoropolymers. Adv. Polym. Sci. 2005, 184, 127–211. [Google Scholar] [CrossRef]
- Goethem, C.V.; Mertens, M.; Vankelecom, I.F.J. Crosslinked PVDF membranes for aqueous and extreme pH nano filtration. J. Membr. Sci. 2019, 572, 489–495. [Google Scholar] [CrossRef]
- Rabuni, M.F.; Nik Sulaiman, N.M.; Aroua, M.K.; Hashim, N.A. Effects of alkaline environments at mild conditions on the stability of PVDF membrane: An experimental study. Ind. Eng. Chem. Res. 2013, 52, 15874–15882. [Google Scholar] [CrossRef]
- Li, D.; Liao, M. Dehydrofluorination mechanism, structure and thermal stability of pure fluoroelastomer (poly(VDF-ter-HFP-ter-TFE) terpolymer) in alkaline environment. J. Fluor. Chem. 2017, 201, 55–67. [Google Scholar] [CrossRef]
- Zhao, X.; Niketic, S.; Yim, C.H.; Zhou, J.; Wang, J.; Abu-Lebdeh, Y. Revealing the Role of Poly(vinylidene fluoride) Binder in Si/Graphite Composite Anode for Li-Ion Batteries. ACS Omega 2018, 3, 11684–11690. [Google Scholar] [CrossRef] [PubMed]
- Dias, A.J.; Mccarthy, T.J. Dehydrofluorination of Poly (vinylidene Fluoride) in Dimethylformamide Solution: Synthesis of an Operationally Soluble Semiconducting Polymer. J. Polym. Sci. Polym. Chem. Ed. 1985, 23, 1057–1061. [Google Scholar] [CrossRef]
- Brewis, D.M.; Mathieson, I.; Sutherland, I.; Cayless, R.A.; Dahm, R.H. Pretreatment of poly(vinyl fluoride) and poly(vinylidene fluoride) with potassium hydroxide. Int. J. Adhes. Adhes. 1996, 16, 87–95. [Google Scholar] [CrossRef]
- Samsure, N.A.; Hashim, N.A.; Nik Sulaiman, N.M.; Chee, C.Y. Alkaline etching treatment of PVDF membrane for water filtration. RSC Adv. 2016, 6, 22153–22160. [Google Scholar] [CrossRef]
- Pagliaro, L.; Lowy, D.A. Interaction of Polyvinylidene Fluoride (PVDF)-Based Binders With Strongly Alkaline Solutions. Green Chem. 2019, 29, 18–32. [Google Scholar]
- Wu, C.; Tang, W.; Zhang, J.; Liu, S.; Wang, Z.; Wang, X.; Lu, X. Preparation of super-hydrophobic PVDF membrane for MD purpose via hydroxyl induced crystallization-phase inversion. J. Membr. Sci. 2017, 543, 288–300. [Google Scholar] [CrossRef]
- Cai, X.; Lei, T.; Sun, D.; Lin, L. A critical analysis of the α, β and γ phases in poly(vinylidene fluoride) using FTIR. RSC Adv. 2017, 7, 15382–15389. [Google Scholar] [CrossRef]
- Abed, A.; Bouazizi, N.; Giraud, S.; El, A.; Campagne, C. Polyester-supported Chitosan-Poly (vinylidene fluoride)-Inorganic- Oxide-Nanoparticles Composites with Improved Flame Retardancy. Chin. J. Polym. Sci. 2020, 38, 84–91. [Google Scholar] [CrossRef]
- Han, B.; Piernas-Muñoz, M.J.; Dogan, F.; Kubal, J.; Trask, S.E.; Bloom, I.D.; Vaughey, J.T.; Key, B. Probing the reaction between PVDF and LiPAA vs Li7Si3: Investigation of binder stability for si anodes. J. Electrochem. Soc. 2019, 166, A2396–A2402. [Google Scholar] [CrossRef]
- Papp, J.K.; Forster, J.D.; Burke, C.M.; Kim, H.W.; Luntz, A.C.; Shelby, R.M.; Urban, J.J.; McCloskey, B.D. Poly(vinylidene fluoride) (PVDF) Binder Degradation in Li–O2 Batteries: A Consideration for the Characterization of Lithium Superoxide. J. Phys. Chem. Lett. 2017, 8, 1169–1174. [Google Scholar] [CrossRef]
- Lee, M.J.; Ong, C.S.; Lau, W.J.; Ng, B.C.; Ismail, A.F.; Lai, S.O. Degradation of PVDF-based composite membrane and its impacts on membrane intrinsic and separation properties. J. Polym. Eng. 2016, 36, 261–268. [Google Scholar] [CrossRef]
- Ke, X.; Zhang, Y.; Gohs, U.; Drache, M.; Beuermann, S. Polymer Electrolyte Membranes Prepared by Graft Copolymerization of 2-Acrylamido-2-Methylpropane Sulfonic Acid and Acrylic Acid on PVDF and ETFE Activated by Electron Beam Treatment. Polymers 2019, 11, 1175. [Google Scholar] [CrossRef]
- Danks, T.N.; Slade, R.C.; Varcoe, J.R. Alkaline anion-exchange radiation-grafted membranes for possible electrochemical application in fuel cells. J. Mater. Chem. 2003, 13, 712–721. [Google Scholar] [CrossRef]
- Adem, E.; Rickards, J.; Burillo, G.; Avalos-Borja, M. Changes in poly-vinylidene fluoride produced by electron irradiation. Radiat. Phys. Chem. 1999, 54, 637–641. [Google Scholar] [CrossRef]
- Nasef, M.M.; Saidi, H.; Dahlan, K.Z.M. Investigation of electron irradiation induced-changes in poly(vinylidene fluoride) films. Polym. Degrad. Stab. 2002, 75, 85–92. [Google Scholar] [CrossRef]
- Jaleh, B.; Gavar, N.; Fakhri, P.; Muensit, N.; Taheri, S.M. Characteristics of PVDF membranes irradiated by electron beam. Membranes 2015, 5, 1–10. [Google Scholar] [CrossRef] [PubMed]
- Lim, Y.M.; Kang, P.H.; Lee, S.M.; Kim, S.S.; Jeun, J.P.; Jung, C.H.; Choi, J.H.; Lee, Y.M.; Nho, Y.C. Effect of electron beam irradiation on poly(vinylidene fluoride) films at the melting temperature. J. Ind. Eng. Chem. 2006, 12, 589–593. [Google Scholar]
- Medeiros, A.S.; Gual, M.R.; Pereira, C.; Faria, L.O. Thermal analysis for study of the gamma radiation effects in poly(vinylidene fluoride). Radiat. Phys. Chem. 2015, 116, 345–348. [Google Scholar] [CrossRef]













| Polymer | Density (g cm) | Melting Temperature (C) | Glass Transition Temperature (C) |
|---|---|---|---|
| PTFE | 2.16–2.20 | 317–345 | |
| PVDF | 1.76–1.83 | 158–200 | −29 to −57 |
| PCTFE | 2.1–2.2 | 210 | 45 |
| PVF | 1.34 | 190 | −15 to −20 and 40 to 50 |
| HDPE | 0.94–0.965 | 125–135 | −118 to −133 |
| D | P | H | MP | BP | FP | References | |||||
|---|---|---|---|---|---|---|---|---|---|---|---|
| Solvent | MPa0.5 | C | g/cm3 | mPas | mN/m | Properties | Use | ||||
| Acetone | 15.5 | 10.4 | 7.0 | −95 | 56 | −17 | 0.79 | 0.3 | 23.5 | [51,52,53] | [54,55,56,57] |
| Acetyl triethyl citrate (ATEC) | 16.6 | 3.5 | 8.6 | −45 | 228 | 188 | 1.14 | 53.7 | [51,58] | [59] | |
| −Butyrolactone (GBL) | 19.0 | 16.6 | 7.4 | −45 | 204 | 98 | 1.12 | 2.0 | 44.6 | [51,60,61] | [62,63,64,65,66,67,68,69,70] |
| Cyclohexanone (CHO) | 17.8 | 6.3 | 5.1 | −31 | 154 | 44 | 0.95 | 2.2 | 35.1 | [51,71,72] | [64,69,70,73] |
| Cyclopentanone (CPO) | 17.9 | 11.9 | 5.2 | −51 | 131 | 30 | 0.94 | 1.1 | 33.8 | [51,74] | [75] |
| Dibutyl phthalate (DBP) | 17.8 | 8.6 | 4.1 | −35 | 339 | 171 | 1.05 | 19.7 | 33.4 | [51,76,77] | [40,41,66,78,79,80,81,82,83] |
| Dibutyl sebacate (DBS) | 13.9 | 4.5 | 4.1 | −10 | 345 | 178 | 0.94 | 8.0 | 33.1 | [51,84,85] | [66] |
| Diethyl carbonate (DEC) | 16.6 | 3.1 | 6.1 | −43 | 126 | 25 | 0.98 | 0.8 | 26.8 | [51,86,87] | [68] |
| Diethyl phthalate (DEP) | 17.6 | 9.6 | 4.5 | −60 | 297 | 170 | 1.12 | 12.9 | 23.5 | [51,88,89] | [90,91] |
| Dihydrolevoglucosenone (Cyrene) | 18.8 | 10.6 | 6.9 | −20 | 227 | 108 | 1.25 | 14.5 | 72.5 | [92,93,94] | [95] |
| Dimethylacetamide (DMAc) | 16.8 | 11.5 | 10.2 | −20 | 166 | 64 | 0.94 | 0.9 | 32.4 | [51,76,96] | [45,46,54,56,64,69,73,97,98,99,100,101,102,103,104,105,106,107] |
| N,N−dimethylformamide (DMF) | 17.4 | 16.7 | 11.3 | −61 | 153 | 58 | 0.94 | 0.9 | 35.2 | [51,108,109] | [45,46,55,57,65,98,99,102,103,104,107,110,111,112,113,114,115,116,117,118,119] |
| Dimethylsulfoxide (DMSO) | 18.4 | 16.4 | 10.2 | 19 | 189 | 87 | 1.10 | 1.9 | 42.7 | [51,120,121] | [45,46,55,99,103,104,107,118,122,123,124] |
| 1,4−Dioxane | 19.0 | 1.8 | 7.4 | 12 | 101 | 11 | 1.03 | 1.3 | 32.7 | [51,125,126] | [127] |
| 3−Heptanone | 16.2 | 5.0 | 4.1 | −39 | 146 | 41 | 0.81 | 0.8 | 25.7 | [51,128,129,130] | [64,70] |
| Hexamethyl phosphoramide (HMPA) | 18.5 | 8.6 | 11.3 | 7 | 231 | 144 | 1.03 | 3.5 | 34.4 | [51,131,132] | [45,46,54,56,69,104,114,116] |
| 3−Hexanone | 15.7 | 6.7 | 4.1 | −56 | 124 | 18 | 0.82 | [51,133,134,135] | [64,70] | ||
| Methyl ethyl ketone (MEK) | 16.0 | 9.0 | 5.1 | −86 | 80 | −9 | 0.81 | 0.4 | 24.3 | [51,136,137] | [55,57] |
| N−methyl−2−pyrrolidinone (NMP) | 18.0 | 12.3 | 7.2 | −24 | 204 | 91 | 1.03 | 1.7 | 40.3 | [51,138,139] | [45,46,57,64,98,102,104,107,114,117,119,124,140,141,142,143,144] |
| 3−Octanone | 16.2 | 4.5 | 4.1 | −23 | 169 | 53 | 0.82 | 26.2 | [51,129,145] | [64,70] | |
| Rhodiasolv® PolarClean | 17.2 | 8.6 | 9.7 | −60 | 278 | 144 | 1.04 | 7.4 | 37.5 | [146,147] | [148,149] |
| 3−Pentanone | 15.8 | 7.6 | 4.7 | −39 | 100 | 13 | 0.81 | 0.4 | 24.7 | [51,150,151] | [64,70] |
| Propylene carbonate (PC) | 20.0 | 18.0 | 4.1 | −49 | 242 | 116 | 1.20 | 2.8 | 31.9 | [51,152,153] | [66,68,69,81,104] |
| Tetrahydrofuran (THF) | 16.8 | 5.7 | 8.0 | −108 | 65 | −21 | 0.88 | 0.5 | 27.1 | [51,154,155] | [55] |
| Tetramethylurea (TMU) | 16.7 | 8.2 | 11.0 | −1 | 177 | 75 | 0.97 | 1.4 | 34.6 | [51,156,157,158] | [45,46,104] |
| Triacetin | 16.5 | 4.5 | 9.1 | −78 | 258 | 148 | 1.16 | 22.5 | 35.2 | [51,159,160] | [90,161,162,163,164] |
| Triethyl citrate (TEC) | 16.5 | 4.9 | 12.0 | −40 | 287 | 178 | 1.14 | 32.2 | 41.5 | [51,165] | [59] |
| Triethyl phosphate (TEP) | 16.7 | 11.4 | 9.2 | −56 | 216 | 115 | 1.07 | 1.8 | 29.6 | [51,129,166,167] | [45,46,69,98,103,104,116,168,169,170] |
| Trimethyl phosphate (TMP) | 16.7 | 15.9 | 10.2 | −46 | 197 | 107 | 1.20 | 2.3 | 37.0 | [51,129,166,171] | [45,46,101,104,116] |
| N,N tetrabutylsuccindiamide (TBSA) | 17.2 | 9.0 | 2.9 | −76 | >250 | 0.96 | [172] | [172] | |||
| D | P | H | MP | BP | FP | References | |||||
|---|---|---|---|---|---|---|---|---|---|---|---|
| Solvent | MPa0.5 | C | g/cm3 | mPas | mN/m | Properties | Use | ||||
| Acetophenone | 19.6 | 8.6 | 3.7 | 20 | 202 | 105 | 1.03 | 1.7 | 39.0 | [51,129,173] | [47,174,175] |
| Acetyl tributyl citrate (ATBC) | 16.7 | 2.5 | 7.4 | −80 | 331 | 218 | 1.05 | 42.5 | 54.6 | [51,176] | [59,177,178] |
| Benzophenone | 19.6 | 8.6 | 5.7 | 48 | 305 | 138 | 1.11 | 40.7 | [51,129,179] | [81,180,181,182,183] | |
| [BMIm][BF4] | 288 | 1.21 | 93.8 | 43.0 | [184,185,186] | [187] | |||||
| -Caprolactam (CPL) | 19.4 | 13.8 | 3.9 | 69 | 271 | 152 | 1.10 | 49.4 | [51,129,188,189] | [190] | |
| Cycloheptanone | 17.2 | 10.6 | 4.8 | −21 | 179 | 56 | 0.95 | 34.1 | [51,129,191,192] | [70] | |
| Dimethyl adipate | 16.3 | 6.8 | 8.5 | 9 | 115 | 107 | 1.06 | 3.0 | 29.1 | [146,193] | [194,195] |
| Diethyl azelate | 16.1 | 4.4 | 5.1 | −19 | 292 | >113 | 0.97 | [146,196,197] | [195,198] | ||
| Diethyl glutarate | 16.3 | 7.0 | 7.8 | −24 | 237 | 96 | 1.02 | [146,199,200] | [198] | ||
| Diethyl malonate | 16.1 | 7.7 | 8.3 | −20 | 197 | 90 | 1.06 | 1.7 | 31.3 | [51,129,201,202] | [198] |
| Diethyl oxalate | 16.2 | 8.0 | 8.8 | −39 | 186 | 76 | 1.08 | 2.0 | 32.2 | [51,76,203] | [198] |
| Diethyl pimelate | 16.2 | 4.7 | 5.8 | −24 | 254 | 113 | 0.99 | [146,204,205] | [198] | ||
| Diethyl succinate | 16.2 | 6.8 | 8.7 | −29 | 217 | 98 | 1.04 | 2.7 | 30.6 | [146,206,207] | [195,198] |
| Dimethyl phthalate (DMP) | 18.6 | 10.8 | 4.9 | 0 | 283 | 154 | 1.19 | 17.2 | 41.2 | [51,129,208] | [78,81,209] |
| Dimethyl sulfone | 19.0 | 19.4 | 12.3 | 105 | 280 | 139 | 0.82 | [51,210] | [211] | ||
| Diphenyl carbonate (DPC) | 17.0 | 3.9 | 3.2 | 83 | 306 | 168 | 1.12 | [146,212,213] | [182] | ||
| Ethyl benzoate (EB) | 17.9 | 6.2 | 6.0 | −33 | 212 | 88 | 1.04 | 2.2 | 34.9 | [51,129,214] | [47,174,175] |
| Glyceryl tributyrate (GTB) | 16.3 | 2.5 | 7.0 | −75 | 307 | 180 | 1.03 | 10.4 | [146,150,215,216] | [174,175,217] | |
| Methyl salicylate | 18.1 | 8.0 | 13.9 | −9 | 221 | 96 | 1.18 | 1.5 | 39.2 | [51,129,218] | [219] |
| Sulfolane | 20.3 | 18.2 | 10.9 | 28 | 285 | 176 | 1.26 | 10.3 | 35.5 | [51,76,220] | [221] |
| Supercritical fluids | 15.6 | 5.2 | 5.8 | 0.46–0.86 | 0.06–0.12 | [51,222,223] | [224,225] | ||||
| Triethylene glycol diacetate (TEGDA) | 16.5 | 6.0 | 8.2 | −57 | 295 | 174 | 1.12 | 10.1 | [146] | [226] | |
Publisher’s Note: MDPI stays neutral with regard to jurisdictional claims in published maps and institutional affiliations. |
© 2021 by the authors. Licensee MDPI, Basel, Switzerland. This article is an open access article distributed under the terms and conditions of the Creative Commons Attribution (CC BY) license (https://creativecommons.org/licenses/by/4.0/).
Share and Cite
Marshall, J.E.; Zhenova, A.; Roberts, S.; Petchey, T.; Zhu, P.; Dancer, C.E.J.; McElroy, C.R.; Kendrick, E.; Goodship, V. On the Solubility and Stability of Polyvinylidene Fluoride. Polymers 2021, 13, 1354. https://doi.org/10.3390/polym13091354
Marshall JE, Zhenova A, Roberts S, Petchey T, Zhu P, Dancer CEJ, McElroy CR, Kendrick E, Goodship V. On the Solubility and Stability of Polyvinylidene Fluoride. Polymers. 2021; 13(9):1354. https://doi.org/10.3390/polym13091354
Chicago/Turabian StyleMarshall, Jean E., Anna Zhenova, Samuel Roberts, Tabitha Petchey, Pengcheng Zhu, Claire E. J. Dancer, Con R. McElroy, Emma Kendrick, and Vannessa Goodship. 2021. "On the Solubility and Stability of Polyvinylidene Fluoride" Polymers 13, no. 9: 1354. https://doi.org/10.3390/polym13091354
APA StyleMarshall, J. E., Zhenova, A., Roberts, S., Petchey, T., Zhu, P., Dancer, C. E. J., McElroy, C. R., Kendrick, E., & Goodship, V. (2021). On the Solubility and Stability of Polyvinylidene Fluoride. Polymers, 13(9), 1354. https://doi.org/10.3390/polym13091354

