Encapsulation and Characterization of Nanoemulsions Based on an Anti-oxidative Polymeric Amphiphile for Topical Apigenin Delivery
Abstract
1. Introduction
2. Materials and Methods
2.1. Materials
2.2. Preparation of NEs and Apig Loaded NEs
2.3. Transmission Electron Microscopy (TEM) Characteristics
2.4. Droplet size, PdI, Zeta Potential Measurement, and Physical Stability Analysis
2.5. Thermal Phase Change Behavior of NEs
2.6. Encapsulation Characteristics of NEs for Apig
2.7. Chemical Stability Analysis
2.8. Antioxidant Activity Assay
2.9. Drug Penetration Study
2.10. Preparation of NEs-HA Gels
2.11. Rheology Study
2.12. Statistical Analysis
3. Results and Discussion
3.1. Morphology Assay
3.2. DLS Characterization and PHYSCIAL Stability of Nanoemulsions Encapsulated with Apig
3.3. Endothermic Phase Change Behavior
3.4. Encapsulation Performance of Apig
3.5. Chemical Stability Analysis of Apig Loaded into Nanoemulsions
3.6. Antioxidant Ability Assay
3.7. Artificial Skin Deposition of NEs Encapsulated with Apig
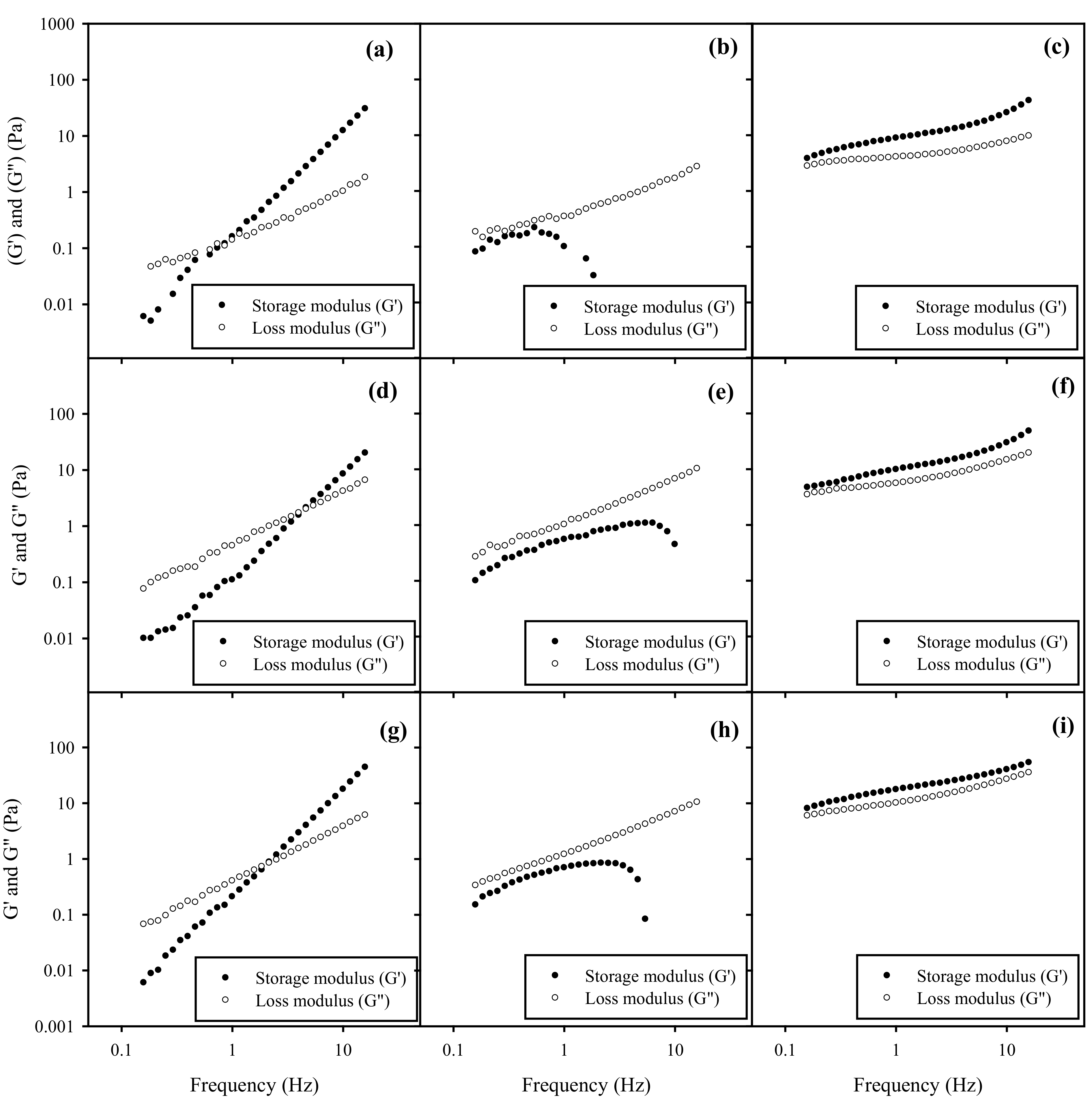
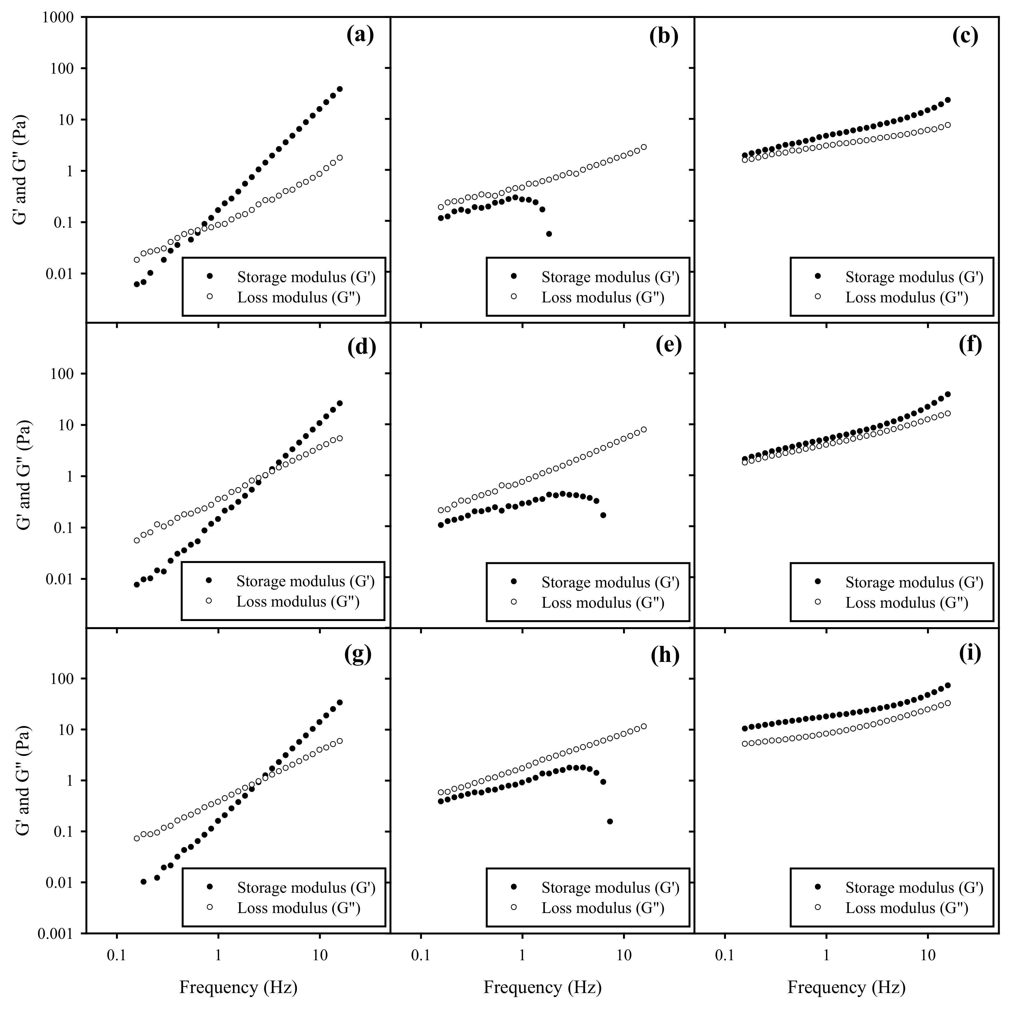
3.8. Rheology Behavior of Nanoemulsions in HA Gel
4. Conclusions
Supplementary Materials
Author Contributions
Funding
Institutional Review Board Statement
Informed Consent Statement
Data Availability Statement
Acknowledgments
Conflicts of Interest
References
- Kowalska, I.; Adach, W.; Stochmal, A.; Olas, B. A comparison of the effects of apigenin and seven of its derivatives on selected biomarkers of oxidative stress and coagulation in vitro. Food Chem. Toxicol. 2020, 136, 111016. [Google Scholar] [CrossRef] [PubMed]
- Yan, X.; Qi, M.; Li, P.; Zhan, Y.; Shao, H. Apigenin in cancer therapy: Anti-cancer effects and mechanisms of action. Cell Biosci. 2017, 7, 50. [Google Scholar] [CrossRef]
- Shukla, R.; Kashaw, S.K.; Jain, A.P.; Lodhi, S. Fabrication of Apigenin loaded gellan gum–chitosan hydrogels (GGCH-HGs) for effective diabetic wound healing. Int. J. Biol. Macromol. 2016, 91, 1110–1119. [Google Scholar] [CrossRef] [PubMed]
- Das, S.; Das, J.; Paul, A.; Samadder, A.; Khuda-Bukhsh, A.R. Apigenin, a bioactive flavonoid from Lycopodium clavatum, stimulates nucleotide excision repair genes to protect skin keratinocytes from ultraviolet B-induced reactive oxygen species and DNA damage. J. Acupunct. Meridian Stud. 2013, 6, 252–262. [Google Scholar] [CrossRef] [PubMed]
- Zhang, J.; Liu, D.; Huang, Y.; Gao, Y.; Qian, S. Biopharmaceutics classification and intestinal absorption study of apigenin. Int. J. Pharm. 2012, 436, 311–317. [Google Scholar] [CrossRef] [PubMed]
- Shen, L.-N.; Zhang, Y.-T.; Wang, Q.; Xu, L.; Feng, N.-P. Enhanced in vitro and in vivo skin deposition of apigenin delivered using ethosomes. Int. J. Pharm. 2014, 460, 280–288. [Google Scholar] [CrossRef]
- Al Shaal, L.; Shegokar, R.; Müller, R.H. Production and characterization of antioxidant apigenin nanocrystals as a novel UV skin protective formulation. Int. J. Pharm. 2011, 420, 133–140. [Google Scholar] [CrossRef]
- Sen, K.; Banerjee, S.; Mandal, M. Dual drug loaded liposome bearing apigenin and 5-Fluorouracil for synergistic therapeutic efficacy in colorectal cancer. Colloids Surf. B Biointerfaces 2019, 180, 9–22. [Google Scholar] [CrossRef]
- Abcha, I.; Souilem, S.; Neves, M.A.; Wang, Z.; Nefatti, M.; Isoda, H.; Nakajima, M. Ethyl oleate food-grade O/W emulsions loaded with apigenin: Insights to their formulation characteristics and physico-chemical stability. Food Res. Int. 2019, 116, 953–962. [Google Scholar] [CrossRef]
- Shah, S.; Dhawan, V.; Holm, R.; Nagarsenker, M.S.; Perrie, Y. Liposomes: Advancements and innovation in the manufacturing process. Adv. Drug Deliv. Rev. 2020, 154, 102–122. [Google Scholar] [CrossRef]
- Gamal, F.A.; Kharshoum, R.M.; Sayed, O.M.; El-Ela, F.I.A.; Salem, H.F. Control of basal cell carcinoma via positively charged ethosomes of Vismodegib: In vitro and in vivo studies. J. Drug Deliv. Sci. Technol. 2020, 56, 101556. [Google Scholar] [CrossRef]
- Pool, H.; Mendoza, S.; Xiao, H.; McClements, D.J. Encapsulation and release of hydrophobic bioactive components in nanoemulsion-based delivery systems: Impact of physical form on quercetin bioaccessibility. Food Funct. 2013, 4, 162–174. [Google Scholar] [CrossRef] [PubMed]
- Bhushani, J.A.; Karthik, P.; Anandharamakrishnan, C. Nanoemulsion based delivery system for improved bioaccessibility and Caco-2 cell monolayer permeability of green tea catechins. Food Hydrocoll. 2016, 56, 372–382. [Google Scholar] [CrossRef]
- Qian, C.; Decker, E.A.; Xiao, H.; McClements, D.J. Nanoemulsion delivery systems: Influence of carrier oil on β-carotene bioaccessibility. Food Chem. 2012, 135, 1440–1447. [Google Scholar] [CrossRef] [PubMed]
- Shi, Y.; Li, H.; Li, J.; Zhi, D.; Zhang, X.; Liu, H.; Wang, H.; Li, H. Development, optimization and evaluation of emodin loaded nanoemulsion prepared by ultrasonic emulsification. J. Drug Deliv. Sci. Technol. 2015, 27, 46–55. [Google Scholar] [CrossRef]
- Hamed, R.; Basil, M.; AlBaraghthi, T.; Sunoqrot, S.; Tarawneh, O. Nanoemulsion-based gel formulation of diclofenac diethylamine: Design, optimization, rheological behavior and in vitro diffusion studies. Pharm. Dev. Technol. 2016, 21, 980–989. [Google Scholar] [CrossRef]
- Kaur, A.; Katiyar, S.S.; Kushwah, V.; Jain, S. Nanoemulsion loaded gel for topical co-delivery of clobitasol propionate and calcipotriol in psoriasis. Nanomed. Nanotechnol. Biol. Med. 2017, 13, 1473–1482. [Google Scholar] [CrossRef]
- Walia, N.; Dasgupta, N.; Ranjan, S.; Chen, L.; Ramalingam, C. Fish oil based vitamin D nanoencapsulation by ultrasonication and bioaccessibility analysis in simulated gastro-intestinal tract. Ultrason. Sonochem. 2017, 39, 623–635. [Google Scholar] [CrossRef]
- Chou, T.-H.; Nugroho, D.S.; Liang, C.-H. Effect of Mixed Emulsifier on the Physicochemical Properties of Avocado Oil Nano-emulsions. Int. J. Chem. Eng. Appl. 2020, 11. [Google Scholar] [CrossRef]
- Chou, T.H.; Nugroho, D.S.; Cheng, Y.S.; Chang, J.Y. Development and characterization of nano-emulsions based on oil extracted from black soldier fly larvae. Appl. Biochem. Biotechnol. 2020, 191, 331–345. [Google Scholar] [CrossRef]
- Ewald, N.; Vidakovic, A.; Langeland, M.; Kiessling, A.; Sampels, S.; Lalander, C.J.W.M. Fatty acid composition of black soldier fly larvae (Hermetia illucens)–Possibilities and limitations for modification through diet. Waste Manag. 2020, 102, 40–47. [Google Scholar] [CrossRef]
- Lin, T.-K.; Zhong, L.; Santiago, J.L. Anti-inflammatory and skin barrier repair effects of topical application of some plant oils. Int. J. Mol. Sci. 2018, 19, 70. [Google Scholar] [CrossRef]
- Wang, L.; Tabor, R.; Eastoe, J.; Li, X.; Heenan, R.K.; Dong, J. Formation and stability of nanoemulsions with mixed ionic–nonionic surfactants. Phys. Chem. Chem. Phys. 2009, 11, 9772–9778. [Google Scholar] [CrossRef] [PubMed]
- Wei, J.; Huang, G.; Zhu, L.; Zhao, S.; An, C.; Fan, Y. Enhanced aqueous solubility of naphthalene and pyrene by binary and ternary Gemini cationic and conventional nonionic surfactants. Chemosphere 2012, 89, 1347–1353. [Google Scholar] [CrossRef]
- Gorain, B.; Choudhury, H.; Pandey, M.; Kesharwani, P. Paclitaxel loaded vitamin E-TPGS nanoparticles for cancer therapy. Mater. Sci. Eng. C 2018, 91, 868–880. [Google Scholar] [CrossRef] [PubMed]
- Alkholief, M.; Albasit, H.; Alhowyan, A.; Alshehri, S.; Raish, M.; Kalam, M.A.; Alshamsan, A. Employing a PLGA-TPGS based nanoparticle to improve the ocular delivery of Acyclovir. Saudi Pharm. J. 2019, 27, 10. [Google Scholar] [CrossRef] [PubMed]
- Daood, U.; Matinlinna, J.; Fawzy, A. Synergistic effects of VE-TPGS and riboflavin in crosslinking of dentine. Dent. Mater. 2019, 35, 356–367. [Google Scholar] [CrossRef]
- Bae, D.-H.; Shin, J.-S.; Jin, F.-L.; Shin, G.-S.; Park, S.-J. Effect of hydrogenated lecithin on cytotoxicity of liposome. Bull. Korean Chem. Soc. 2009, 30, 339–342. [Google Scholar]
- List, G. Soybean lecithin: Food, industrial uses, and other applications. In Polar Lipids; Elsevier: Amsterdam, The Netherlands, 2015; pp. 1–33. [Google Scholar]
- Baldino, L.; Cardea, S.; Scognamiglio, M.; Reverchon, E. A new tool to produce alginate-based aerogels for medical applications, by supercritical gel drying. J. Supercrit. Fluids 2019, 146, 152–158. [Google Scholar] [CrossRef]
- Diez-Sales, O.; Garrigues, T.; Herraez, J.; Belda, R.; Martin-Villodre, A.; Herraez, M. In vitro percutaneous penetration of acyclovir from solvent systems and Carbopol 971-P hydrogels: Influence of propylene glycol. J. Pharm. Sci. 2005, 94, 1039–1047. [Google Scholar] [CrossRef]
- Xie, J.; Ji, Y.; Xue, W.; Ma, D.; Hu, Y. Hyaluronic acid-containing ethosomes as a potential carrier for transdermal drug delivery. Colloids Surf. B Biointerfaces 2018, 172, 323–329. [Google Scholar] [CrossRef] [PubMed]
- Prajapati, S.K.; Jain, A.; Shrivastava, C.; Jain, A.K. Hyaluronic acid conjugated multi-walled carbon nanotubes for colon cancer targeting. Int. J. Biol. Macromol. 2019, 123, 691–703. [Google Scholar] [CrossRef]
- Gao, Y.; Cheng, X.; Wang, Z.; Wang, J.; Gao, T.; Li, P.; Kong, M.; Chen, X. Transdermal delivery of 10, 11-methylenedioxycamptothecin by hyaluronic acid based nanoemulsion for inhibition of keloid fibroblast. Carbohydr. Polym. 2014, 112, 376–386. [Google Scholar] [CrossRef] [PubMed]
- Li, C.; Liu, C.; Liu, J.; Fang, L. Correlation between rheological properties, in vitro release, and percutaneous permeation of tetrahydropalmatine. Aaps Pharmscitech 2011, 12, 1002–1010. [Google Scholar] [CrossRef] [PubMed]
- Shen, P.-T.; Chiu, S.-W.; Chang, J.-Y.; Chung, T.-W.; Liang, C.-H.; Deng, M.-J.; Chou, T.-H. Formation and characterization of hydrogenated soybean lecithin/TPGS nano-dispersions as a potential carrier for active herbal agents. Colloids Surf. A Physicochem. Eng. Aspects 2021, 611, 125796. [Google Scholar] [CrossRef]
- Atanase, L.I.; Riess, G. Stabilization of non-aqueous emulsions by poly (2-vinylpyridine)-b-poly (butadiene) block copolymers. Colloids Surf. A Physicochem. Eng. Aspects 2014, 458, 19–24. [Google Scholar] [CrossRef]
- Atanase, L.I.; Riess, G. Block copolymer stabilized nonaqueous biocompatible sub-micron emulsions for topical applications. Int. J. Pharm. 2013, 448, 339–345. [Google Scholar] [CrossRef]
- Djerdjev, A.M.; Beattie, J.K. Enhancement of ostwald ripening by depletion flocculation. Langmuir 2008, 24, 7711–7717. [Google Scholar] [CrossRef]
- McClements, D.J. Protein-stabilized emulsions. Curr. Opin. Colloid Interface Sci. 2004, 9, 305–313. [Google Scholar] [CrossRef]
- Sun, C.; Li, W.; Ma, P.; Li, Y.; Zhu, Y.; Zhang, H.; Adu-Frimpong, M.; Deng, W.; Yu, J.; Xu, X. Development of TPGS/F127/F68 mixed polymeric micelles: Enhanced oral bioavailability and hepatoprotection of syringic acid against carbon tetrachloride-induced hepatotoxicity. Food Chem. Toxicol. 2020, 137, 111126. [Google Scholar] [CrossRef]
- Lu, X.; Zhu, W.; Chen, T.; Peng, Q.; Yu, C.; Yang, M. Exploration of photophysical and photochemical properties of Zinc phthalocyanine-loaded SDC/TPGS mixed micelles. Chem. Phys. Lett. 2019, 735, 136737. [Google Scholar] [CrossRef]
- Mahajan, H.S.; Patil, P.H. Central Composite Design-Based Optimization of Lopinavir Vitamin E-TPGS Micelle: In Vitro Characterization and In Vivo Pharmacokinetic Study. Colloids Surf. B Biointerfaces 2020, 194, 111149. [Google Scholar] [CrossRef] [PubMed]
- Li, D.; Li, L.; Xiao, N.; Li, M.; Xie, X. Physical properties of oil-in-water nanoemulsions stabilized by OSA-modified starch for the encapsulation of lycopene. Colloids Surf. A Physicochem. Eng. Asp. 2018, 552, 59–66. [Google Scholar] [CrossRef]
- Li, X.; Wang, L.; Wang, B. Optimization of encapsulation efficiency and average particle size of Hohenbuehelia serotina polysaccharides nanoemulsions using response surface methodology. Food Chem. 2017, 229, 479–486. [Google Scholar] [CrossRef] [PubMed]
- Chen, Y.; Zhang, R.; Xie, B.; Sun, Z.; McClements, D.J. Lotus seedpod proanthocyanidin-whey protein complexes: Impact on physical and chemical stability of β-carotene-nanoemulsions. Food Res. Int. 2020, 127, 108738. [Google Scholar] [CrossRef] [PubMed]
- Liu, J.; Jin, S.; Song, H.; Huang, K.; Li, S.; Guan, X.; Wang, Y. Effect of extrusion pretreatment on extraction, quality and antioxidant capacity of oat (Avena sativa L.) bran oil. J. Cereal Sci. 2020, 95, 102972. [Google Scholar] [CrossRef]
- Heuschkel, S.; Goebel, A.; Neubert, R.H. Microemulsions—modern colloidal carrier for dermal and transdermal drug delivery. J. Pharm. Sci. 2008, 97, 603–631. [Google Scholar] [CrossRef]
- Štaka, I.; Cadete, A.; Surikutchi, B.T.; Abuzaid, H.; Bradshaw, T.D.; Alonso, M.J.; Marlow, M. A novel low molecular weight nanocomposite hydrogel formulation for intra-tumoural delivery of anti-cancer drugs. Int. J. Pharm. 2019, 565, 151–161. [Google Scholar] [CrossRef]
- Lee, J.-H.; Gustin, J.P.; Chen, T.; Payne, G.F.; Raghavan, S.R. Vesicle—Biopolymer Gels: Networks of Surfactant Vesicles Connected by Associating Biopolymers. Langmuir 2005, 21, 26–33. [Google Scholar] [CrossRef]







| Oil | HL/TPGS | Before Encapsulation | After Encapsulation | EE (%) | LE (%) | |
|---|---|---|---|---|---|---|
| BSFL oil | 0/100 | APS: PdI: ZP : SD: | 32.13 ± 0.83 0.19 ± 0.01 −22.2 ± 0.4 210 ± 7 | 135.5 ± 10.9 0.21 ± 0.02 −35.1 ± 5.9 45 ± 3 | 99.72 ± 0.01 | 1.994 ± 0.02 |
| 50/50 | APS: PdI: ZP : SD: | 51.20 ± 3.36 0.35 ± 0.01 −41.9 ± 0.8 200 ± 7 | 122.1 ± 7.9 0.26 ± 0.04 −51.5 ± 6.4 30 ± 2 | 99.69 ± 0.01 | 1.993 ± 0.02 | |
| 100/0 | APS: PdI: ZP: SD: | 195.20 ± 0.80 0.16 ± 0.02 −43.0 ± 0.7 5 ± 1 | 230.4 ± 13.0 0.24 ± 0.01 −65.8 ± 3.6 3 ± 1 | 99.39 ± 0.01 | 1.987 ± 0.03 | |
| AV oil | 0/100 | APS: PdI: ZP : SD: | 32.80 ± 3.54 0.19 ± 0.08 −13.1 ± 0,02 346 ± 10 | 120.1 ± 8.8 0.21 ± 0.03 −30.1 ± 1.7 56 ± 4 | 99.64 ± 0.05 | 1.99 ± 0.11 |
| 50/50 | APS: PdI: ZP : SD: | 48.76 ± 9.75 0.33 ± 0.02 −41.2 ± 0.6 300 ± 7 | 118.39 ± 2,6 0.25± 0.03 −43.3 ± 4.1 40 ± 3 | 99.81 ± 0.01 | 1.99 ± 0.02 | |
| 100/0 | APS: PdI: ZP : SD: | 231.8 ± 4.2 0.20 ± 0.03 −50.1 ± 1.64 9 ± 1 | 234.7 ± 7.31 0.19 ± 0.01 −63.6 ± 2.2 5 ± 1 | 99.74 ± 0.09 | 1.99 ± 0.18 |
| Oil | HL/TPGS | Tmp1 | Tmp2 | ∆Hp1 (mJ) | ∆Hp2 (mJ) | ∆T1/2p1 | ∆T1/2p2 |
|---|---|---|---|---|---|---|---|
| BSFL oil | 0/100 | 14.65 | - | 0.95 | - | 4.83 | - |
| 50/50 | 12.13 | 60.05 | 4.48 | 2.05 | 4.81 | 2.37 | |
| 100/0 | 18.84 | 60,41 | 5.77 | 8.82 | 3.39 | 5.75 | |
| AV oil | 0/100 | - | - | - | |||
| 50/50 | 59.91 | 2.58 | 5.19 | ||||
| 100/0 | 59.48 | 11.78 | 7.44 |
Publisher’s Note: MDPI stays neutral with regard to jurisdictional claims in published maps and institutional affiliations. |
© 2021 by the authors. Licensee MDPI, Basel, Switzerland. This article is an open access article distributed under the terms and conditions of the Creative Commons Attribution (CC BY) license (http://creativecommons.org/licenses/by/4.0/).
Share and Cite
Chou, T.-H.; Nugroho, D.S.; Chang, J.-Y.; Cheng, Y.-S.; Liang, C.-H.; Deng, M.-J. Encapsulation and Characterization of Nanoemulsions Based on an Anti-oxidative Polymeric Amphiphile for Topical Apigenin Delivery. Polymers 2021, 13, 1016. https://doi.org/10.3390/polym13071016
Chou T-H, Nugroho DS, Chang J-Y, Cheng Y-S, Liang C-H, Deng M-J. Encapsulation and Characterization of Nanoemulsions Based on an Anti-oxidative Polymeric Amphiphile for Topical Apigenin Delivery. Polymers. 2021; 13(7):1016. https://doi.org/10.3390/polym13071016
Chicago/Turabian StyleChou, Tzung-Han, Daniel Setiyo Nugroho, Jia-Yaw Chang, Yu-Shen Cheng, Chia-Hua Liang, and Ming-Jay Deng. 2021. "Encapsulation and Characterization of Nanoemulsions Based on an Anti-oxidative Polymeric Amphiphile for Topical Apigenin Delivery" Polymers 13, no. 7: 1016. https://doi.org/10.3390/polym13071016
APA StyleChou, T.-H., Nugroho, D. S., Chang, J.-Y., Cheng, Y.-S., Liang, C.-H., & Deng, M.-J. (2021). Encapsulation and Characterization of Nanoemulsions Based on an Anti-oxidative Polymeric Amphiphile for Topical Apigenin Delivery. Polymers, 13(7), 1016. https://doi.org/10.3390/polym13071016

