Advances in Waterborne Polyurethane and Polyurethane-Urea Dispersions and Their Eco-friendly Derivatives: A Review
Abstract
1. Introduction to WBPU and WBPUU Dispersions
2. Internal Emulsifiers in WBPU and WBPUU Dispersions
3. WBPU and WBPUU Synthesis Methods
3.1. Overview of The Most Used Synthesis Procedures and Their Characteristics
3.2. Traditional Synthesis Methods
3.2.1. Acetone Process
3.2.2. Prepolymer and Modified Prepolymer Processes
3.3. Alternative Solvent-Free Methods
4. A Step beyond Conventional Internal Emulsifiers
5. WBPU and WBPUU Added with Renewable Additives
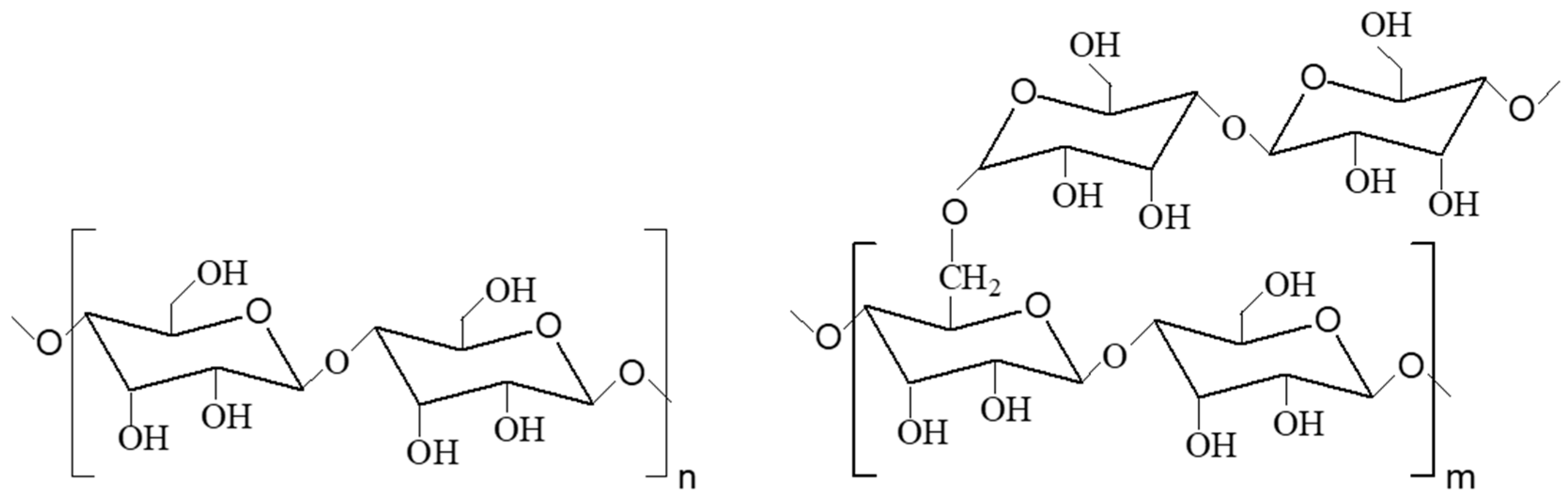
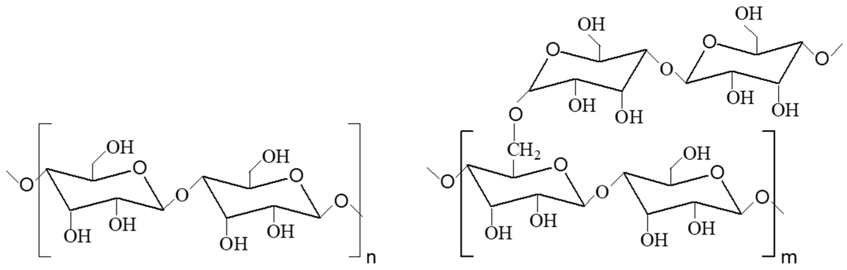
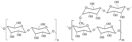
5.1. WBPU and WBPUU Added with Nanocellulose
5.2. WBPU and WBPUU Added with Starch
5.3. WBPU and WBPUU Added with Chitosan
6. Processing Methods and Applications of WBPU and WBPUU
7. Current Regulation of WBPU and WBPUU Dispersions
8. Conclusions
Author Contributions
Funding
Institutional Review Board Statement
Informed Consent Statement
Data Availability Statement
Conflicts of Interest
References
- Chattopadhyay, D.; Raju, K.V.S.N. Structural engineering of polyurethane coatings for high performance applications. Prog. Polym. Sci. 2007, 32, 352–418. [Google Scholar] [CrossRef]
- Hao, H.; Shao, J.; Deng, Y.; He, S.; Luo, F.; Wu, Y.; Li, J.; Tan, H.; Li, J.; Fu, Q. Synthesis and characterization of biodegradable lysine-based waterborne polyurethane for soft tissue engineering applications. Biomater. Sci. 2016, 4, 1682–1690. [Google Scholar] [CrossRef] [PubMed]
- Wang, Z.; Hou, Z.; Wang, Y. Fluorinated waterborne shape memory polyurethane urea for potential medical implant application. J. Appl. Polym. Sci. 2012, 127, 710–716. [Google Scholar] [CrossRef]
- Korley, L.T.J.; Pate, B.D.; Thomas, E.L.; Hammond, P.T. Effect of the degree of soft and hard segment ordering on the morphology and mechanical behavior of semicrystalline segmented polyurethanes. Polymer 2006, 47, 3073–3082. [Google Scholar] [CrossRef]
- Saralegi, A.; Rueda, L.; Fernández-D’Arlas, B.; Mondragon, I.; Eceiza, A.; Corcuera, M.A. Thermoplastic polyurethanes from renewable resources: Effect of soft segment chemical structure and molecular weight on morphology and final properties. Polym. Int. 2012, 62, 106–115. [Google Scholar] [CrossRef]
- Yilgör, I.; Yilgör, E.; Wilkes, G.L. Critical parameters in designing segmented polyurethanes and their effect on morphology and properties: A comprehensive review. Polymer 2015, 58, A1–A36. [Google Scholar] [CrossRef]
- American Chemical Society (A.C.S.). What is green chemistry? Available online: https://www.acs.org/content/acs/en/greenchemistry/what-is-green-chemistry.html (accessed on 18 January 2021).
- Błażek, K.; Datta, J. Renewable natural resources as green alternative substrates to obtain bio-based non-isocyanate polyurethanes-review. Crit. Rev. Environ. Sci. Technol. 2019, 49, 173–211. [Google Scholar] [CrossRef]
- Guillame, S.M.; Khalil, H.; Misra, M. Green and sustainable polyurethanes for advanced applications. J. Appl. Polym. Sci. 2017, 134, 1–2. [Google Scholar] [CrossRef]
- Konieczny, J.; Loos, K. Green polyurethanes from renewable isocyanates and biobased white dextrins. Polymers 2019, 11, 256. [Google Scholar] [CrossRef]
- Molina, G.A.; Elizalde-Mata, A.; Hernandez-Martinez, A.; Fonseca, G.; Soto, M.C.; Rodríguez-Morales Ángel, L.; Estévez, M. Synthesis and characterization of inulin-based responsive polyurethanes for breast cancer applications. Polymers 2020, 12, 865. [Google Scholar] [CrossRef]
- Ospina, A.C.; Orozco, V.H.; Giraldo, L.F.; Fuensanta, M.; Martín-Martínez, J.M.; Mateo-Oliveras, N. Study of waterborne polyurethane materials under aging treatments. Effect of the soft segment length. Prog. Org. Coatings 2020, 138, 105357. [Google Scholar] [CrossRef]
- Liu, X.; Hong, W.; Chen, X. Continuous production of water-borne polyurethanes: A review. Polymers 2020, 12, 2875. [Google Scholar] [CrossRef] [PubMed]
- Lee, H.-T.; Wu, S.-Y.; Jeng, R.-J. Effects of sulfonated polyol on the properties of the resultant aqueous polyurethane dispersions. Colloids Surf. A Physicochem. Eng. Asp. 2006, 276, 176–185. [Google Scholar] [CrossRef]
- Li, Y.; Noordover, B.A.; Van Benthem, R.A.; Koning, C. Property profile of poly(urethane urea) dispersions containing dimer fatty acid-, sugar- and amino acid-based building blocks. Eur. Polym. J. 2014, 59, 8–18. [Google Scholar] [CrossRef]
- Bao, L.-H.; Lan, Y.-J.; Zhang, S.-F. Synthesis and properties of waterborne polyurethane dispersions with ions in the soft segments. J. Polym. Res. 2006, 13, 507–514. [Google Scholar] [CrossRef]
- Barikani, M.; Ebrahimi, M.V.; Mohaghegh, S.M.S. Preparation and characterization of aqueous polyurethane dispersions containing ionic centers. J. Appl. Polym. Sci. 2007, 104, 3931–3937. [Google Scholar] [CrossRef]
- Bullermann, J.; Friebel, S.; Salthammer, T.; Spohnholz, R. Novel polyurethane dispersions based on renewable raw materials—Stability studies by variations of DMPA content and degree of neutralisation. Prog. Org. Coatings 2013, 76, 609–615. [Google Scholar] [CrossRef]
- Jiang, X.; Li, J.; Ding, M.; Tan, H.; Ling, Q.; Zhong, Y.; Fu, Q. Synthesis and degradation of nontoxic biodegrada-ble waterborne polyurethanes elastomer with poly (e-caprolactone) and poly(ethylene glycol) as soft segment. Eur. Polym. J. 2007, 43, 1838–1846. [Google Scholar] [CrossRef]
- Nanda, A.K.; Wicks, D.A. The influence of the ionic concentration, concentration of the polymer, degree of neutralization and chain extension on aqueous polyurethane dispersions prepared by the acetone process. Polymer 2006, 47, 1805–1811. [Google Scholar] [CrossRef]
- Rahman, M.M.; Kim, H.-D. Synthesis and characterization of waterborne polyurethane adhesives containing different amount of ionic groups (I). J. Appl. Polym. Sci. 2006, 102, 5684–5691. [Google Scholar] [CrossRef]
- Wang, H.; Zhou, Y.; He, M.; Dai, Z. Effects of soft segments on the waterproof of anionic waterborne polyurethane. Colloid Polym. Sci. 2014, 293, 875–881. [Google Scholar] [CrossRef]
- Yen, M.-S.; Tsai, H.-C.; Hong, P.-D. The physical properties of aqueous cationic–nonionic polyurethane with poly(ethylene glycol methyl ether) side chain and its blend with aqueous cationic polyurethane. J. Appl. Polym. Sci. 2006, 100, 2963–2974. [Google Scholar] [CrossRef]
- Dayan, N. Handbook of Formulating Dermal Applications; Scrivener Publishing, Willey: Hoboken, NJ, USA, 2017; ISBN 978-1-119-36362-0. [Google Scholar]
- Hourston, D.J.; Williams, G.D.; Satguru, R.; Padget, J.C.; Pears, D. The influence of the degree of neutralization, the ionic moiety, and the counterion on water-dispersible polyurethanes. J. Appl. Polym. Sci. 1999, 74, 556–566. [Google Scholar] [CrossRef]
- Lee, S.; Kim, B.K. High solid and high stability waterborne polyurethanes via ionic groups in soft segments and chain termini. J. Colloid Interface Sci. 2009, 336, 208–214. [Google Scholar] [CrossRef]
- Son, S.-H.; Lee, H.-J.; Kim, J.-H. Effects of carboxyl groups dissociation and dielectric constant on particle size of polyurethane dispersions. Colloids Surf. A Physicochem. Eng. Asp. 1998, 133, 295–301. [Google Scholar] [CrossRef]
- Kim, B.K. Aqueous polyurethane dispersions. Colloid Polym. Sci. 1996, 274, 599–611. [Google Scholar] [CrossRef]
- Dieterich, D.; Bayer, O. Polyurethane plastics (BAYER). U.S. Patent 3479310, 18 November 1969. [Google Scholar]
- Kuerten, H.W.; Neuss, W.M.; Cologne, P.F.; Germany, F.R. Process for the continuous production of aqueous polyurethane dispersions and their use as a coating composition or as an adhesive (BAYER). U.S. Patent 4857565, 15 August 1989. [Google Scholar]
- Nakatani, H.; Ooike, H.; Kishida, T.; Motokucho, S. Photodegradation behavior of waterborne polyurethanes with different segment distributions and lengths. Prog. Org. Coatings 2016, 97, 269–276. [Google Scholar] [CrossRef]
- Peng, S.J.; Jin, Y.; Sun, T.; Qi, R.; Fan, B.Z.; Cheng, X.F. Synthesis of high solid content waterborne polyure-thanes with controllable bimodal particle size distribution. J. Appl. Polym. Sci. 2014, 131, 40420/1–40420/9. [Google Scholar] [CrossRef]
- García-Pacios, V.; Colera, M.; Iwata, Y.; Martín-Martínez, J.M. Incidence of the polyol nature in waterborne polyurethane dispersions on their performance as coatings on stainless steel. Prog. Org. Coatings 2013, 76, 1726–1729. [Google Scholar] [CrossRef]
- Chang, C.-W.; Lu, K.-T. Linseed-oil-based waterborne UV/air dual-cured wood coatings. Prog. Org. Coatings 2013, 76, 1024–1031. [Google Scholar] [CrossRef]
- Liu, X.; Xu, K.; Liu, H.; Cai, H.; Su, J.; Fu, Z.; Guo, Y.; Chen, M. Preparation and properties of waterborne polyurethanes with natural dimer fatty acids based polyester polyol as soft segment. Prog. Org. Coatings 2011, 72, 612–620. [Google Scholar] [CrossRef]
- Llorente, O.; Fernández-Berridi, M.; González, A.; Irusta, L. Study of the crosslinking process of waterborne UV curable polyurethane acrylates. Prog. Org. Coatings 2016, 99, 437–442. [Google Scholar] [CrossRef]
- Shendi, H.K.; Omrani, I.; Ahmadi, A.; Farhadian, A.; Babanejad, N.; Nabid, M.R. Synthesis and characterization of a novel internal emulsifier derived from sunflower oil for the preparation of waterborne polyurethane and their application in coatings. Prog. Org. Coatings 2017, 105, 303–309. [Google Scholar] [CrossRef]
- Shin, M.; Lee, Y.; Rahman, M.; Kim, H. Synthesis and properties of waterborne fluorinated polyurethane-acrylate using a solvent-/emulsifier-free method. Polymer 2013, 54, 4873–4882. [Google Scholar] [CrossRef]
- Nanda, A.K.; Wicks, D.A.; Madbouly, S.A.; Otaigbe, J.U. Effect of ionic content, solid content, degree of neutralization, and chain extension on aqueous polyurethane dispersions prepared by prepolymer method. J. Appl. Polym. Sci. 2005, 98, 2514–2520. [Google Scholar] [CrossRef]
- Cao, X.; Ge, X.; Chen, H.; Li, W. Effects of trimethylol propane and AAS salt on properties of waterborne polyurethane with low gloss. Prog. Org. Coatings 2017, 107, 5–13. [Google Scholar] [CrossRef]
- Saetung, A.; Rungvichaniwat, A.; Tsupphayakorn-Ake, P.; Bannob, P.; Tulyapituk, T.; Saetung, N. Properties of waterborne polyurethane films: Effects of blend formulation with hydroxyl telechelic natural rubber and modified rubber seed oils. J. Polym. Res. 2016, 23, 264. [Google Scholar] [CrossRef]
- Peng, S.-J.; Jin, Y.; Cheng, X.-F.; Sun, T.-B.; Qi, R.; Fan, B.-Z. A new method to synthesize high solid content waterborne polyurethanes by strict control of bimodal particle size distribution. Prog. Org. Coatings 2015, 86, 1–10. [Google Scholar] [CrossRef]
- Xiao, Y.; Fu, X.; Zhang, Y.; Liu, Z.; Jiang, L.; Lei, J. Preparation of waterborne polyurethanes based on the organic solvent-free process. Green Chem. 2015, 18, 412–416. [Google Scholar] [CrossRef]
- Yong, Q.; Nian, F.; Liao, B.; Huang, L.; Wang, L.; Pang, H. Synthesis and characterization of solvent-free waterborne polyurethane dispersion with both sulfonic and carboxylic hydrophilic chain-extending agents for matt coating applications. RSC Adv. 2015, 5, 107413–107420. [Google Scholar] [CrossRef]
- Wang, J.; Zhang, H.; Miao, Y.; Qiao, L.; Wang, X. A whole-procedure solvent-free route to CO2-based waterborne polyurethane by an elevated-temperature dispersing strategy. Green Chem. 2017, 19, 2194–2200. [Google Scholar] [CrossRef]
- Fernandes, I.P.; Costa, M.R.P.; Ferreira, M.J.; Barreiro, M.F. Water-based poly(urethane-urea) dispersions-meeting the European Union legislation. Polimery 2015, 60, 536–540. [Google Scholar] [CrossRef]
- Qiao, Z.; Yang, Z.; Liu, W.; Wang, X.; Gao, Y.; Yu, Z.; Zhu, C.; Xu, J.; Xu, J. Molecular weight switchable polyurethanes enable melt processing. Chem. Eng. J. 2020, 384, 123287. [Google Scholar] [CrossRef]
- Li, B.; Peng, D.; Zhao, N.; Mu, Q.; Li, J. The physical properties of nonionic waterborne polyurethane with a polyether as side chain. J. Appl. Polym. Sci. 2012, 127, 1848–1852. [Google Scholar] [CrossRef]
- Bao, J.; Tao, C.; Yu, R.; Gao, M.; Huang, Y.; Chen, C.-H. Solid polymer electrolyte based on waterborne polyurethane for all-solid-state lithium ion batteries. J. Appl. Polym. Sci. 2017, 134, 45554. [Google Scholar] [CrossRef]
- Chashmejahanbin, M.R.; Daemi, H.; Barikani, M.; Salimi, A. Noteworthy impacts of polyurethane-urea ionomers as the efficient polar coatings on adhesion strength of plasma treated polypropylene. Appl. Surf. Sci. 2014, 317, 688–695. [Google Scholar] [CrossRef]
- Fuensanta, M.; Jofre-Reche, J.A.; Rodríguez-Llansola, F.; Costa, V.; Iglesias, J.I.; Martín-Martínez, J.M. Structural characterization of polyurethane ureas and waterborne polyurethane urea dispersions made with mixtures of polyester polyol and polycarbonate diol. Prog. Org. Coatings 2017, 112, 141–152. [Google Scholar] [CrossRef]
- Saalah, S.; Abdullah, L.C.; Aung, M.M.; Sallehd, M.Z.; Biak, D.R.A.; Basri, M.; Jusoh, E.R. Waterborne polyurethane dispersions synthesized from jatropha oil. Ind. Crop. Prod. 2015, 64, 194–200. [Google Scholar] [CrossRef]
- Dang, X.; Wang, G.; Wang, D.; Pan, T.; Zhou, L.; Shi, X. Distribution of hydrophilic monomer units and its effect on the property of the water dispersion of polyurethaneurea anionomer. J. Appl. Polym. Sci. 2006, 103, 634–640. [Google Scholar] [CrossRef]
- Shang, S.; Chiu, K.-L.; Jiang, S. Development of water-based polymeric dye and its application as a colorant for waterborne polyurethane. J. Appl. Polym. Sci. 2017, 134, 44710. [Google Scholar] [CrossRef]
- Chen, S.; Guo, L.; Du, D.; Rui, J.; Qiu, T.; Ye, J.; Li, X. Waterborne POSS-silane-urethane hybrid polymer and the fluorinated films. Polymer 2016, 103, 27–35. [Google Scholar] [CrossRef]
- Xiao, Y.; Huang, H.; Peng, X. Synthesis of self-healing waterborne polyurethanes containing sulphonate groups. RSC Adv. 2017, 7, 20093–20100. [Google Scholar] [CrossRef]
- Yong, Q.; Nian, F.; Liao, B.; Guo, Y.; Huang, L.; Wang, L.; Pang, H. Synthesis and surface analysis of self-matt coating based on waterborne polyurethane resin and study on the matt mechanism. Polym. Bull. 2016, 74, 1061–1076. [Google Scholar] [CrossRef]
- Nelson, A.M.; Long, T.E. Synthesis, properties, and applications of ion-containing polyurethane segmented copolymers. Macromol. Chem. Phys. 2014, 215, 2161–2174. [Google Scholar] [CrossRef]
- Garrison, T.F.; Zhang, Z.; Kim, H.-J.; Mitra, D.; Xia, Y.; Pfister, D.P.; Brehm-Stecher, B.F.; LaRock, R.C.; Kessler, M.R. Thermo-mechanical and antibacterial properties of soybean oil-based cationic polyurethane coatings: Effects of amine ratio and degree of crosslinking. Macromol. Mater. Eng. 2014, 299, 1042–1051. [Google Scholar] [CrossRef]
- Fernández-D’Arlas, B.; Corcuera, M.; Labidi, J.; Mondragon, I.; Eceiza, A. Poly(urea)urethanes based on amor-phous quaternizable hard segments and a crystalline polyol derived from castor oil. Colloid Polym. Sci. 2013, 291, 1247–1254. [Google Scholar] [CrossRef]
- Zang, Y.; Xie, H.; Gong, W.; Du, Z.; Liu, B.-L.; Chen, H. Migration behavior of anionic polyurethane dispersion during infiltration and redistribution in sand. RSC Adv. 2016, 6, 43543–43550. [Google Scholar] [CrossRef]
- Sun, Z.; Fan, H.; Chen, Y.; Huang, J. Synthesis of self-matting waterborne polyurethane coatings with excellent transmittance. Polym. Int. 2018, 67, 78–84. [Google Scholar] [CrossRef]
- Xiao, Y.; Jiang, L.; Liu, Z.; Yuan, Y.; Yan, P.; Zhou, C.; Lei, J. Effect of phase separation on the crystallization of soft segments of green waterborne polyurethanes. Polym. Test. 2017, 60, 160–165. [Google Scholar] [CrossRef]
- Omrani, I.; Babanejad, N.; Shendi, H.K.; Nabid, M.R. Preparation and evaluation of a novel sunflower oil-based waterborne polyurethane nanoparticles for sustained delivery of hydrophobic drug. Eur. J. Lipid Sci. Technol. 2017, 119, 1600283. [Google Scholar] [CrossRef]
- Si, H.; Liu, H.; Shang, S.; Song, J.; Liao, S.; Wang, D.; Song, Z. Preparation and properties of maleopimaric acid-based polyester polyol dispersion for two-component waterborne polyurethane coating. Prog. Org. Coatings 2016, 90, 309–316. [Google Scholar] [CrossRef]
- Gaddam, S.K.; Kutcherlapati, S.N.R.; Palanisamy, A. Self-cross-linkable anionic waterborne polyurethane-silanol dispersions from cottonseed-oil-based phosphorylated polyol as ionic soft segment. ACS Sustain. Chem. Eng. 2017, 5, 6447–6455. [Google Scholar] [CrossRef]
- Hou, Z.; Qu, W.-Q.; Kan, C.-Y. Synthesis and properties of triethoxysilane-terminated anionic polyurethane and its waterborne dispersions. J. Polym. Res. 2015, 22, 1–9. [Google Scholar] [CrossRef]
- Bahadur, A.; Saeed, A.; Iqbal, S.; Shoaib, M.; ur Rahman, M.S.; Bashir, I.M.; Asghar, M.; Ali, M.A.; Mahmood, T. Biocompatible waterbone polyurethane-urea elastomer as intelligent anticancer drug release matrix: A sustained drug release study. React. Funct. Polym. 2017, 119, 57–63. [Google Scholar] [CrossRef]
- Gaddam, S.K.; Palanisamy, A. Anionic waterborne polyurethane dispersions from maleated cotton seed oil polyol carrying ionisable groups. Colloid Polym. Sci. 2015, 294, 347–355. [Google Scholar] [CrossRef]
- Gaddam, S.K.; Palanisamy, A. Anionic waterborne polyurethane-imide dispersions from cottonseed oil based ionic polyol. Ind. Crop. Prod. 2017, 96, 132–139. [Google Scholar] [CrossRef]
- Xiao, Y.; Bao, L.; Fu, X.; Wu, B.; Kong, W.; Zhou, C.; Lei, J. Effect of phase separation on water resistance of green waterborne polyurethanes: Unexpected stronger impact compared to hydrophilic segments. Adv. Polym. Technol. 2018, 37, 1618–1624. [Google Scholar] [CrossRef]
- Honarkar, H.; Barmar, M.; Barikani, M. Synthesis, characterization and properties of waterborne polyurethanes based on two different ionic centers. Fibers Polym. 2015, 16, 718–725. [Google Scholar] [CrossRef]
- Patel, C.J.; Mannari, V. Air-drying bio-based polyurethane dispersion from cardanol: Synthesis and characterization of coatings. Prog. Org. Coatings 2014, 77, 997–1006. [Google Scholar] [CrossRef]
- Lokhande, G.P.; Chambhare, S.U.; Jagtap, R.N. Anionic water-based polyurethane dispersions for antimicrobial coating application. Polym. Bull. 2017, 74, 4781–4798. [Google Scholar] [CrossRef]
- Chen, R.; Zhang, C.; Kessler, M.R. Anionic waterborne polyurethane dispersion from a bio-based ionic seg-ment. RSC Adv. 2014, 4, 35476–35483. [Google Scholar] [CrossRef]
- Zhang, Y.; He, X.; Ding, M.; He, W.; Li, J.; Li, J.; Tan, H. Antibacterial and biocompatible cross-linked water-borne polyurethanes containing gemini quaternary ammonium salts. Biomacromolecules 2018, 19, 279–287. [Google Scholar] [CrossRef] [PubMed]
- Ren, Z.; Liu, L.; Wang, H.; Fu, Y.; Jiang, L.; Ren, B. Novel amphoteric polyurethane dispersions with post-polymerization crosslinking function derived from hydroxylated tung oil: Synthesis and properties. RSC Adv. 2015, 5, 27717–27721. [Google Scholar] [CrossRef]
- Kosheeladevi, P.P.; Maznee, T.I.T.N.; Hoong, S.S.; Nurul’Ain, H.; Norhisham, S.M.; Norhayati, M.N.; Srihanum, A.; Yeong, S.K.; Hazimah, A.H.; Sendijarevic, V.; et al. Performance of palm oil-base dihydroxystearic acid as ion-izable molecule in waterborne polyurethane dispersions. J. Appl. Polym. Sci. 2016, 133, 43614/1–43614/10. [Google Scholar] [CrossRef]
- Zhang, Y.; Zhou, H.; Wang, L.; Jiang, W.; Soucek, M.D.; Yi, Y. Preparation and characterization of castor oil-based waterborne polyurethane crosslinked with 2-amino-2-(hydroxymethyl)-1,3-propanediol. J. Appl. Polym. Sci. 2017, 134, 45532. [Google Scholar] [CrossRef]
- Hu, S.; Luo, X.; Li, Y. Production of polyols and waterborne polyurethane dispersions from biodiesel-derived crude glycerol. J. Appl. Polym. Sci. 2014, 132, 41425. [Google Scholar] [CrossRef]
- Zhang, F.; Wei, X. Study of ionic/nonionic polyurethane dispersions with high solid content and low viscosity using a complex hydrophilic chain-extending agent. J. Coatings Technol. Res. 2017, 15, 141–148. [Google Scholar] [CrossRef]
- Zhou, X.; Fang, C.; Yu, Q.; Yang, R.; Xie, L.; Cheng, Y.; Li, Y. Synthesis and characterization of waterborne pol-yurethane dispersion from glycolyzed products of waste polyethylene terephthalate used as soft and hard seg-ment. Int. J. Adhes. Adhes. 2017, 74, 49–56. [Google Scholar] [CrossRef]
- Lei, L.; Zhang, Y.; Ou, C.; Xia, Z.; Zhong, L. Synthesis and characterization of waterborne polyurethanes with alkoxy silane groups in the side chains for potential application in waterborne ink. Prog. Org. Coatings 2016, 92, 85–94. [Google Scholar] [CrossRef]
- Li, M.; Liu, F.; Li, Y.; Qiang, X. Synthesis of stable cationic waterborne polyurethane with a high solid content: Insight from simulation to experiment. RSC Adv. 2016, 7, 13312–13324. [Google Scholar] [CrossRef]
- Lijie, H.; Yongtao, D.; Zhiliang, Z.; Zhongsheng, S.; ZhiHua, S. Synergistic effect of anionic and nonionic monomers on the synthesis of high solid content waterborne polyurethane. Colloids Surfaces A Physicochem. Eng. Asp. 2015, 467, 46–56. [Google Scholar] [CrossRef]
- Kim, B.K.; Lee, Y.M. Aqueous dispersion of polyurethanes containing ionic and nonionic hydrophilic segments. J. Appl. Polym. Sci. 1994, 54, 1809–1815. [Google Scholar] [CrossRef]
- Santamariaechart, A.; Arbelaiz, A.; Saralegi, A.; Fernández-D’Arlas, B.; Eceiza, A.; Corcuera, M. Relationship between reagents molar ratio and dispersion stability and film properties of waterborne polyurethanes. Colloids Surf. A Physicochem. Eng. Asp. 2015, 482, 554–561. [Google Scholar] [CrossRef]
- Mondragon, G.; Fernandes, S.C.; Retegi, A.; Peña, C.; Algar, I.; Eceiza, A.; Arbelaiz, A. A common strategy to extracting cellulose nanoentities from different plants. Ind. Crop. Prod. 2014, 55, 140–148. [Google Scholar] [CrossRef]
- Eichhorn, S.J.; Dufresne, A.; Aranguren, M.; Marcovich, N.E.; Capadona, J.R.; Rowan, S.J.; Weder, C.; Thielemans, W.; Roman, M.; Renneckar, S.; et al. Review: Current international research into cellulose nanofibres and nanocomposites. J. Mater. Sci. 2010, 45, 1–33. [Google Scholar] [CrossRef]
- Sanches, A.O.; Ricco, L.H.S.; Malmonge, L.F.; Da Silva, M.J.; Sakamoto, W.K.; Malmonge, J.A. Influence of cellulose nanofibrils on soft and hard segments of polyurethane/cellulose nanocomposites and effect of humidity on their mechanical properties. Polym. Test. 2014, 40, 99–105. [Google Scholar] [CrossRef]
- Gao, Z.; Peng, J.; Zhong, T.; Sun, J.; Wang, X.; Yue, C. Biocompatible elastomer of waterborne polyurethane based on castor oil and polyethylene glycol with cellulose nanocrystals. Carbohydr. Polym. 2012, 87, 2068–2075. [Google Scholar] [CrossRef]
- Santamaria-Echart, A.; Ugarte, L.; Arbelaiz, A.; Gabilondo, N.; Corcuera, M.A.; Eceiza, A. Two different incorporation routes of cellulose nanocrystals in waterborne polyurethane nanocomposites. Eur. Polym. J. 2016, 76, 99–109. [Google Scholar] [CrossRef]
- Patricio, P.S.D.O.; Pereira, I.M.; Da Silva, N.C.F.; Ayres, E.; Pereira, F.V.; Oréfice, R.L. Tailoring the morphology and properties of waterborne polyurethanes by the procedure of cellulose nanocrystal incorporation. Eur. Polym. J. 2013, 49, 3761–3769. [Google Scholar] [CrossRef]
- Li, G.; Li, E.; Wang, C.; Niu, Y. Effect of the blocked ratio on properties of natural fiber–waterborne blocked polyurethane composites. J. Compos. Mater. 2014, 49, 1929–1936. [Google Scholar] [CrossRef]
- Wu, G.-M.; Chen, J.; Huo, S.; Liu, G.; Kong, Z.-W. Thermoset nanocomposites from two-component waterborne polyurethanes and cellulose whiskers. Carbohydr. Polym. 2014, 105, 207–213. [Google Scholar] [CrossRef] [PubMed]
- Zhao, Q.; Sun, G.; Yan, K.; Zhou, A.; Chen, Y. Novel bio-antifelting agent based on waterborne polyurethane and cellulose nanocrystals. Carbohydr. Polym. 2013, 91, 169–174. [Google Scholar] [CrossRef] [PubMed]
- González, K.; Retegi, A.; González, A.; Eceiza, A.; Gabilondo, N. Starch and cellulose nanocrystals together into thermoplastic starch bionanocomposites. Carbohydr. Polym. 2015, 117, 83–90. [Google Scholar] [CrossRef] [PubMed]
- Lee, S.J.; Kim, B.K. Covalent incorporation of starch derivative into waterborne polyurethane for biodegradability. Carbohydr. Polym. 2012, 87, 1803–1809. [Google Scholar] [CrossRef]
- Travinskaya, T.; Savelyev, Y.; Mishchuk, E. Waterborne polyurethane based starch containing materials: Preparation, properties and study of degradability. Polym. Degrad. Stab. 2014, 101, 102–108. [Google Scholar] [CrossRef]
- Zou, J.; Zhang, F.; Huang, J.; Chang, P.R.; Su, Z.; Yu, J. Effects of starch nanocrystals on structure and properties of waterborne polyurethane-based composites. Carbohydr. Polym. 2011, 85, 824–831. [Google Scholar] [CrossRef]
- Ma, Z.; Garrido-Maestu, A.; Jeong, K.C. Application, mode of action, and in vivo activity of chitosan and its micro- and nanoparticles as antimicrobial agents: A review. Carbohydr. Polym. 2017, 176, 257–265. [Google Scholar] [CrossRef] [PubMed]
- Rinaudo, M. Chitin and chitosan: Properties and applications. Prog. Polym. Sci. 2006, 31, 603–632. [Google Scholar] [CrossRef]
- El-Sayed, A.A.; Gabry, L.E.; Allam, O.G. Application of prepared waterborne polyurethane extended with chitosan to impart antibacterial properties to acrylic fabrics. J. Mater. Sci. Mater. Electron. 2009, 21, 507–514. [Google Scholar] [CrossRef]
- Bankoti, K.; Dhara, S.; Datta, S.; Maity, P.P.; Goswami, P.; Datta, P.; Ghosh, S.K.; Mitra, A.; Dhara, S. Accelerated healing of full thickness dermal wounds by macroporous waterborne polyurethane-chitosan hydrogel scaffolds. Mater. Sci. Eng. C 2017, 81, 133–143. [Google Scholar] [CrossRef]
- Wan, H.; Li, X.; Zhang, L.; Liu, P.; Jiang, Z.; Yu, Z.-Z. Rapidly responsive and flexible chiral nematic cellulose nanocrystal composites as multifunctional rewritable photonic papers with eco-friendly inks. ACS Appl. Mater. Interfaces 2018, 10, 5918–5925. [Google Scholar] [CrossRef] [PubMed]
- Shin, E.J.; Choi, S.; Lee, J. Fabrication of regenerated cellulose nanoparticles/waterborne polyurethane nanocomposites. J. Appl. Polym. Sci. 2018, 135, 46633. [Google Scholar] [CrossRef]
- Mondragon, G.; Santamaria-Echart, A.; Hormaiztegui, M.E.V.; Arbelaiz, A.; Peña-Rodriguez, C.; Mucci, V.; Corcuera, M.; Aranguren, M.I.; Eceiza, A. Nanocomposites of waterborne polyurethane reinforced with cellulose nanocrystals from sisal fibres. J. Polym. Environ. 2017, 26, 1869–1880. [Google Scholar] [CrossRef]
- Wang, Y.; Tian, H.; Zhang, L. Role of starch nanocrystals and cellulose whiskers in synergistic reinforcement of waterborne polyurethane. Carbohydr. Polym. 2010, 80, 665–671. [Google Scholar] [CrossRef]
- Tai, N.; Adhikari, R.; Shanks, R.; Halley, P.; Adhikari, B. Flexible starch-polyurethane films: Effect of mixed macrodiol polyurethane ionomers on physicochemical characteristics and hydrophobicity. Carbohydr. Polym. 2018, 197, 312–325. [Google Scholar] [CrossRef] [PubMed]
- Muzaffar, S.; Bhatti, I.A.; Zuber, M.; Bhatti, H.N.; Shahid, M. Synthesis and characterization of aqueous chitosan-polyurethanes dispersion for textile applications with multipurpose performance profile. Fibers Polym. 2018, 19, 587–598. [Google Scholar] [CrossRef]
- Arshad, N.; Zia, K.M.; Jabeen, F.; Anjum, M.N.; Akram, N.; Zuber, M. Synthesis, characterization of novel chitosan based water dispersible polyurethanes and their potential deployment as antibacterial textile finish. Int. J. Biol. Macromol. 2018, 111, 485–492. [Google Scholar] [CrossRef]
- Mahanta, A.K.; Senapati, S.; Maiti, P. A polyurethane–chitosan brush as an injectable hydrogel for controlled drug delivery and tissue engineering. Polym. Chem. 2017, 8, 6233–6249. [Google Scholar] [CrossRef]
- Jiang, X.; Yu, F.; Wang, Z.; Li, J.; Tan, H.; Ding, M.; Fu, Q. Fabrication and characterization of waterborne biodegradable polyurethanes 3-dimensional porous scaffolds for vascular tissue engineering. J. Biomater. Sci. Polym. Ed. 2010, 21, 1637–1652. [Google Scholar] [CrossRef]
- Wang, C.; Zheng, Y.; Qiao, K.; Xie, Y.; Zhou, X. An environmentally friendly preparation and characterization of waterborne polyurethane hydrogels by polyvinyl alcohol physical cross-linking to improve water absorption. RSC Adv. 2015, 5, 73882–73891. [Google Scholar] [CrossRef]
- Buruaga, L.; Sardon, H.; Irusta, L.; González, A.; Fernández-Berridi, M.J.; Iruin, J.J. Electrospinning of waterborne polyurethanes. J. Appl. Polym. Sci. 2010, 115, 1176–1179. [Google Scholar] [CrossRef]
- Cheng, Q.; Fang, Z.; Yi, X.; An, X.; Tang, B.; Xu, Y. “Ex Situ” Concept for Toughening the RTMable BMI Matrix Composites, Part I: Improving the Interlaminar Fracture Toughness. J. Appl. Polym. Sci. 2008, 109. [Google Scholar] [CrossRef]
- Wu, Y.; Lin, W.; Hao, H.; Li, J.; Luo, F.; Tan, H. Nanofibrous scaffold from electrospinning biodegradable waterborne polyurethane/poly(vinyl alcohol) for tissue engineering application. J. Biomater. Sci. Polym. Ed. 2017, 28, 648–663. [Google Scholar] [CrossRef] [PubMed]
- Santamaria-Echart, A.; Ugarte, L.; González, K.; Martin, L.; Irusta, L.; González, A.; Corcuera, M.A.; Eceiza, A. The role of cellulose nanocrystals incorporation route in waterborne polyurethane for preparation of electrospun nanocomposites mats. Carbohydr. Polym. 2017, 166, 146–155. [Google Scholar] [CrossRef]
- Mao, H.; Lin, L.; Ma, Z.; Wang, C. Dual-responsive cellulose fabric based on reversible acidichromic and photoisomeric polymeric dye containing pendant azobenzene. Sens. Actuators B Chem. 2018, 266, 195–203. [Google Scholar] [CrossRef]
- Li, R.; Shan, Z. Enhancement of thermal conductivity of PEG-PPG-based waterborne polyurethane coating by incorporating ordered polyethylene glycol fragment. Polym. Test. 2018, 69, 125–132. [Google Scholar] [CrossRef]
- Huang, Y.-J.; Hung, K.-C.; Hung, H.-S.; Huihsua, S. Modulation of macrophage phenotype by biodegradable polyurethane nanoparticles: Possible relation between macrophage polarization and immune response of nanoparticles. ACS Appl. Mater. Interfaces 2018, 10, 19436–19448. [Google Scholar] [CrossRef]
- Mohraz, M.H.; Golbabaei, F.; Yu, I.J.; Mansournia, M.A.; Zadeh, A.S.; Dehghan, S.F. Preparation and optimization of multifunctional electrospun polyurethane/chitosan nanofibers for air pollution control applications. Int. J. Environ. Sci. Technol. 2019, 16, 681–694. [Google Scholar] [CrossRef]
- Xiong, Y.; Zhu, M.; Wang, Z.; Schneider, J.; Huang, H.; Kershaw, S.V.; Zhi, C.; Rogach, A.L. A building brick principle to create transparent composite films with multicolor emission and self-healing function. Small 2018, 14, e1800315. [Google Scholar] [CrossRef]
- Tenorio-Alfonso, A.; Pizarro, M.; Sanchez, M.; Franco, J.M. Assessing the rheological properties and adhesion performance on different substrates of a novel green polyurethane based on castor oil and cellulose acetate: A comparison with commercial adhesives. Int. J. Adhes. Adhes. 2018, 82, 21–26. [Google Scholar] [CrossRef]
- Ho, L.; Hsu, S.-H. Cell reprogramming by 3D bioprinting of human fibroblasts in polyurethane hydrogel for fabrication of neural-like constructs. Acta Biomater. 2018, 70, 57–70. [Google Scholar] [CrossRef] [PubMed]
- Li, Y.; Zheng, J.; Luo, Y.; Zhou, H.; Wang, Q. Effects of different ionizable groups on the thermal properties of waterborne polyurethanes used in bulletproof composites. J. Appl. Polym. Sci. 2015, 132, 42374. [Google Scholar] [CrossRef]
- Cong, B.; Song, Y.; Ren, N.; Xie, G.; Tao, C.; Huang, Y.; Xu, G.; Bao, J. Polyethylene glycol-based waterborne polyurethane as solid polymer electrolyte for all-solid-state lithium ion batteries. Mater. Des. 2018, 142, 221–228. [Google Scholar] [CrossRef]
- Lee, D.; Lee, S.J.; Moon, J.-H.; Kim, J.H.; Heo, D.N.; Bang, J.B.; Lim, H.-N.; Kwon, I.K. Preparation of antibacterial chitosan membranes containing silver nanoparticles for dental barrier membrane applications. J. Ind. Eng. Chem. 2018, 66, 196–202. [Google Scholar] [CrossRef]
- Guo, Y.H.; Guo, J.J.; Miao, H.; Teng, L.J.; Huang, Z. Properties and paper sizing application of waterborne pol-yurethane emulsions synthesized with isophorone diisocyanate. Prog. Org. Coat. 2014, 77, 988–996. [Google Scholar] [CrossRef]
- Yu, F.; Xu, X.; Lin, N.; Liu, X.Y. Structural engineering of waterborne polyurethane for high performance waterproof coatings. RSC Adv. 2015, 5, 72544–72552. [Google Scholar] [CrossRef]
- Fang, C.; Zhou, X.; Yu, Q.; Liu, S.; Guo, D.; Yu, R.; Hu, J. Synthesis and characterization of low crystalline waterborne polyurethane for potential application in water-based ink binder. Prog. Org. Coat. 2014, 77, 61–71. [Google Scholar] [CrossRef]
- Bae, J.-H.; Won, J.C.; Bin Lim, W.; Min, J.G.; Lee, J.H.; Kwon, C.R.; Lee, G.H.; Huh, P. Synthesis and characteristics of eco-friendly 3D printing material based on waterborne polyurethane. Polymers 2020, 13, 44. [Google Scholar] [CrossRef]
- Council of the European Parliament. Regulation (EC) No 1907/2006 of the European Parliament and of the Council; Official Journal of the European Union: Brussels, Belgium, 2006.
- Commission Regulation (EU). Commission Regulation (EU) No 1272/2008; Official Journal of the European Union: Brussels, Belgium, 2008. [Google Scholar]
- Commission Regulation (EU). Commission Regulation (EU) No 1149/2020; Official Journal of the European Union: Brussels, Belgium, 2020. [Google Scholar]
- European Chemicals Agency (ECHA). European Chemicals Agency (ECHA) Report (2018) on Inclusion of Substances of Very High Concern in the Candidate List for Eventual Inclusion in Annex XIV, Doc ED/61/2018; European Chemicals Agency (ECHA): Helsinki, Finland, 2018.
- Commission Regulation (EU). Commission Regulation (EU) No 588/2018; Official Journal of the European Union: Brussels, Belgium, 2018. [Google Scholar]
- Council of the European Parliament. Directive 2004/42/CE of the European Parliament and of the Council; Official Journal of the European Union: Brussels, Belgium, 2004.
- Commission Regulation (EU). Commission Regulation (EU) No 10/2011; Official Journal of the European Union: Brussels, Belgium, 2011. [Google Scholar]
- Commission Regulation (EU). Commission Regulation (EU) No 1245/2020; Official Journal of the European Union: Brussels, Belgium, 2020. [Google Scholar]
- Commission Regulation (EU). Commission Regulation (EU) No 1513/2018; Official Journal of the European Union: Brussels, Belgium, 2018. [Google Scholar]
- Council of the European Parliament. Regulation (EC) No 745/2017 of the European Parliament and of the Council; Official Journal of the European Union: Brussels, Belgium, 2017.








| Synthesis Method | Chemical Composition | Chain Extension Medium | SC (wt.%) pH Zpot (mV) | PS (nm) | µ (cp) | Mw or Mn (g mol−1) PI | Ref |
|---|---|---|---|---|---|---|---|
| Modified prepolymer | PTMG/DMPA/IPDI/BD/DBTDL (reactants added simultaneously—one-pot reaction) | Homogeneous | SC: 20 - - | 116 (UmD) | - | - | [31] |
| Modified prepolymer | PTMG/DMPA/IPDI/BD/DBTDL (reactants added step-by step—step-wise reaction) | Homogeneous | SC: 20 - - | 50 (UmD) | - | - | [31] |
| Modified prepolymer | PPG/DMPA/IPDI/BD/DBTDL (reactants added simultaneously—one-pot reaction) | Homogeneous | SC: 50 - - | 100–200 and 1500–2000 (BmD) | 100-600 | Mw: 9800 PI: 1.85 | [32] |
| Modified prepolymer | PPG/DMPA/IPDI/BD/DBTDL (reactants added step-by step—step-wise reaction) | Homogeneous | SC: 40 - - | PS: 200–700 (UmD) | 100-1550 | Mw: 10,020 PI: 1.83 | [32] |
| Modified prepolymer | PCHDO/PPG/PBA/DEG/DMPA/IPDI/HZ | Homogeneous | SC: 39 pH: 8.0–8.2 - | With PPG: 61 (UmD); with PBA: 67 (UmD); with PHDO: 73 and 247 (BmD) | - | - | [33] |
| Modified prepolymer | LO/DMPA/IPDI/HDI/HEMA/DBTDL | Homogeneous | SC: 36 pH: 9.14 - | 261 and 5001 (BmD) | 389 | - | [34] |
| Modified Prepolymer | NPG/PCL/DMPA/AA/MDI/EDA/BHT/DBTDL | Homogeneous | SC: 30 - - | - | - | Mn: 9600–16,200 PI: 1.6–2.4 | [35] |
| Modified prepolymer | PPG (1000; 2000 g mol−1) /DMPA/IPDI/BD/HEMA/Irgacure 184/DBTDA | Homogeneous | SC: 30 - - | With PPG (1000): 26–44 (UmD); with PPG (2000): 66–103 (UmD) | - | - | [36] |
| Modified prepolymer | SFO/AA/IPDI/MDI/HDI/BD/DBTDL/DABCO/Ti (i-Pr)4 | Homogeneous | SC: 27–30 - - | 91–125 (UmD) | - | - | [37] |
| Modified prepolymer | PTMG/DMPA/H12MDI/APS/HEMA/IBOA/HDFDMA/BA/DBTDL | Homogeneous | - - - | 48–122 (UmD) | 22-39 | - | [38] |
| Modified prepolymer | Desmophen 1019-55/DMPA/IPDI/BD/BOL/DBTDL | Homogeneous | SC: 25–45 - - | 25–250 (UmD) | 45-6000 | Mn: 3000–23,000 | [20] |
| Modified prepolymer | Desmophen 1019–55/DMPA/IPDI/HMDA/DEA/DBTDL/Abex EP-110 | Heterogeneous | SC: 25–44 pH: 7.7–8.3 - | 40–300 (UmD) | 30-5500 | - | [39] |
| Acetone | PBA/AAS/IPDI/TMP/HZ/DBTDL | Heterogeneous | SC: 30 - Zpot: −25–−48 | 200–4000 (UmD) | - | - | [40] |
| Modified prepolymer | HTNR/HRSO/TDI/DMPA/DBTDL | Heterogeneous | SC: 20 pH: 7–8 - | 64–195 (UmD) | - | - | [41] |
| Modified prepolymer | PPG/PBA/DMPA/IPDI/IPDA/BD/DBTDL | Heterogeneous | SC: 39–55 - - | 76.3–921.9 (UmD) | 45.2-6000 | - | [42] |
| Solvent-free | PEG/PTMG/MDI/SDBS/SDS | Homogeneous | - - - | 12,100 (UmD) | - | - | [43] |
| Solvent-free | PTMG (1000–2000 g mol−1)/DMPA/IPDI/SAAS/HZ/DMPA | Homogeneous | SC: 30 - - | 800–3000 (UmD) | - | Mw: 52,890–130,800 PI: 1.31–4.02 | [44] |
| Solvent-free | CO2-polyols (1350-3500 g mol-1)/ DMPA/IPDI/HDI/HMDI/EDA | Homogeneous | SC: - - Zpot: −27.8 | 45–70 (UmD) | µPrep: < 20,000–40,000 | Mw: 112,000 PI: 3.42 | [45] |
| WBPU Composition | IEN (Designation/Nature) | IEC (% wt) | PS (nm) | Reference |
|---|---|---|---|---|
| PPG/TDI/DMPA | DMPA/anionic emulsifier | 4.95 | 35–225 | [61] |
| PBA/PMA/PTMG/PPG/IPDI/H12MDI/TDI/MDI/BD/TMP/HZ/DMPA | DMPA/anionic emulsifier | 1.6–2.4 | 100–8000 | [62] |
| PEG/PTMG/MDI/SDBS | PEG/nonionic polyol SDBS/anionic chain extender | 3.6–4.0 (PEG) 4.3–8.3 (SDBS) | - | [63] |
| PBA/DHA/IPDI | DHA/anionic polyol | 31.70 | 92 | [64] |
| MPP/Bayhydur® 3100 polyisoc. | MPP/anionic polyol | 0–20 | 150–320 | [65] |
| Phospol/IPDI/HDO/APTES | Phospol/anionic polyol | 47–53 | 32–68 | [66] |
| PPO/TDI/DMBA/APTES/SDS | DMBA/anionic emulsifier SDS/external surfactant | 3.65 (DMBA) 2.0 (SDS) | 189.6–293.4 | [67] |
| PEG/HDI/LYS | PEG/nonionic polyol LYS/anionic chain extender | 64.1–71.3 (PEG) 10.4–14.0 (LYS) | - | [68] |
| MAHCSO/IPDI/HDO/DHZ | MAHCSO/anionic polyol | 57–58.7 | 41–176 | [69] |
| MAHCSO/TDI/HDO/PMDA/BPOTCDA/HFIPDA | MAHCSO/anionic polyol | 61–72 | 23–240 | [70] |
| PTMG/PEG/MDI/SDBS | PEG/nonionic polyol SDBS/anionic chain extender | 0.38–0.42 (PEG) 3.5–6.8 (SDBS) | - | [71] |
| PCL/H12MDI/DMPA/BES/BD | DMPA/anionic emulsifier BES/anionic chain extender | 2.1–8.7 (DMPA) 3.7–14.4 (BES) | 28–213 (DMPA) 8.3–168 (BES) | [72] |
| CE/PTMG/IPDI/DMPA/EDA | DMPA/anionic emulsifier | 5–6 | 61.5 | [73] |
| Oxymer M112/SynDD/IPDI/DMPA/HMD | DMPA/anionic emulsifier | 3 | 81.2–139.2 | [74] |
| CO/FA/IPDI | FA/anionic polyol | 28.77 (CO) 68.26 (CO free) | 35.11 (with CO) 56.11 (without CO) | [75] |
| PEG/PTMG/IPDI/GQAS/EGDE | PTMG/nonionic polyol | - | - | [76] |
| PEG/HDI/LYS | PEG/nonionic polyol LYS/anionic chain extender | 63–71 (PEG2000) and 11–15 (LYS) | - | [68] |
| PEG/HMDI/DMPA/MDEA/HTO | PEG/nonionic polyol DMPA/anionic emulsifier MDEA/cationic emulsifier | - | 64–198 | [77] |
| Poly-G 2056/Priplast 3192/Diexter G 4400-57/IPDI/DMPA/DHSA | DMPA/anionic emulsifier DHSA/anionic polyol | 0–4.5 (DMPA) 9.9 (DHA) | 500–22,500 | [78] |
| PCDL/CO/IPDI/DMPA/EDA/BD/THAM | DMPA/anionic emulsifier | 8.4–8.5 | 50–125 | [79] |
| GLY-polyols/Voranol 4701/IPDI/DMPA | DMPA/anionic emulsifier | 5–10.8 | [80] | |
| PCD/PBA/IPDI/DMPA/HZ | DMPA/anionic emulsifier | 5 | 67–84 | [51] |
| PPG/IPDI/DPSA/BDSA | DPSA/anionic-nonionic salt BDSA/anionic salt | (R:DPSA/BDSA) R:2/10–8/10 (DPSA + BDSA) = 5% | 190–320 | [81] |
| PBA/DHA/IPDI/MDI/HDI | DHA/anionic polyol | 28–45 DHA | 90–125 | [37] |
| PTMG2000/PTMEG1000/IPDI/DMPA/SAAS/ HZ | DMPA/anionic emulsifier SAAS/anionic chain extender | 0.2–0.4 (DMPA) 0.4–0.6 (SAAS) | 800–3000 | [44] |
| PET/PPG/IPDI/DMPA/BD | DMPA/anionic emulsifier | 5–10 | - | [82] |
| PPG/IPDI/DMPA/TMPM/BD/EDA/AEAPTMS/APTES | DMPA/anionic emulsifier | 4 | - | [83] |
| Renewable Entities | Preparation Method | Properties of WBPU and WBPUU Derived Materials | Reference |
|---|---|---|---|
| Eucalyptus CNC (0–5 wt.%) | Acid hydrolysis (65 wt.% H2SO4) | Low Eucalyptus CNC contents considerably increase film’s tensile strength and Young modulus values. The incorporation of Eucalyptus CNC favor the HS-SS microphase separation. | [91] |
| CNC from microcrystalline cellulose (MCC) (0–100 wt.% of CNC) | Acid hydrolysis (64 wt.% H2SO4, 45 °C; 45 min) | Chiral nematic structured CNC/WBPU films were prepared with iridescent coloration that varied with composite composition. Films presented rewritable and tunable photonic properties with a fast responsive ability (solvent polarity and humidity). | [105] |
| Regenerated cellulose nanoparticles (RCN) from MCC (0–5 wt.%) | MCC dissolved in NaOH 7% and urea 12% solution. Addition of deionised water and centrifugation for separating the RCN and ultrasonicated | The addition of RCN increases the storage modulus and improves mechanical and thermal properties, being greater the effect at higher contents. The degradation of the nanocomposite films via enzymatic hydrolysis was improved with RCN addition. | [106] |
| Cotton cellulose nanofibrils (CNF) (0–20 wt.%) | CNF acid hydrolysis (64% H2SO4; 45 °C; 90 min), centrifugation and dialysis | Addition of CNF up to 10 wt.% considerably improve nanocomposite film’s tensile strength. The relative humidity of the systems can modify the mechanical properties CNF interact with the SS of the matrix, increasing the Tg and decreasing the crystallinity of the SS. | [90] |
| CNC from sisal fibres (0–10 wt.%) | Fibres mixture with ethanol/toluene solvents mixture for removing extractives. Alkali treatment (7.5 wt.% NaOH; 90 min) for removing hemicellulose and lignin. Acetylation treatment (HNO3 + acetic acid; 30 min). Acid hydrolysis (H2SO4 64 wt.%, 45 °C, 45 min) | CNC act as nucleating agent of polyurethane SS, and enhance the mechanical properties (Young modulus) of the nanocomposite films, maintaining high elongation values. | [107] |
| CNC (0–1 wt.%) | MCC acid hydrolysis (64 wt.%; 45 °C; 2 h), centrifugation, dialysis | CNC showed strong interfacial interactions with the WBPU matrix. The nanocomposites were employed as finishing agents in wool fabrics, resulting in greater tensile strength and decreasing area-shrinkage rate (potential in the textile field). | [96] |
| CNC from Eucalyptus kraft wood pulp (0–1 wt.%) | Acid hydrolysis (64 wt.%; 50 °C; 50 min), centrifugation, dialysis | CNC incorporation route controlled the WBPU-CNC interaction degree, conditioning the phase separation of the segments, morphology, interfacial adhesion, and mechanical properties of the final composite films. | [93] |
| CNC from MCC (0–3 wt.%) | Acid hydrolysis (64 wt.% H2SO4; 45 °C; 30 min), centrifugation, dialysis | The different incorporation routes of CNC to the WBPU, lead to different dispositions in the matrix, tailoring thermal, mechanical, and hydrophilic behavior, providing a suitable stress transfer in the nanocomposite films. | [92] |
| Starch nanocrystals (StNC) from Pea starch (35/65 amylose/amylopectin) (0–30 wt.%) | St acid hydrolysis (3.16 M H2SO4; 40 °C; 10 days), centrifugation, washed with distilled water | The incorporation of StNC to WBPU led to an increase in the mechanical strength and Young modulus (E) (optimum composition 10 wt.%) due to the effective interface for the stress transfer in the nanocomposite films. At higher StNC contents E value was enhanced although lower strength values were observed due to self-aggregation of StNC. | [100] |
| StNC from waxy maise St Cellulose whiskers (CW) from cotton linter pulp | St acid hydrolysis (3.16 M H2SO4; 40 °C; 5 days), centrifugation and freeze-dried Cellulose acid hydrolysis (30 % (v/v) H2SO4; 60 °C; 6 h) centrifugation, dialysis and freeze-dried | The combined incorporation of StN and CW to the WBPU originated a synergistic effect in the nanocomposite films. The nanofillers’ different morphology and the strong hydrogen bonding interactions, among them and with the matrix, were reflected in strong networks with enhanced mechanical and thermal properties, compared with the matrix. | [108] |
| Vinyltrimethoxysilane (VTMS) modified St | Modification of St (HCl at pH 2; 60 °C) hydrolysis of VTMS and condensation between VTMS and St | VTMS modified St was incorporated covalently to the WBPU, enhancing the mechanical behavior and biodegradability of nanocomposite hybrid films in α-amylase solution even comparing with VTMS modified St/WBPU blending systems, due to the effective anchoring of the reinforcement and being those effects more notable in WBPU covalently attached systems. | [98] |
| High amylose content (80/20 amylose/amylopectin) Corn St (Gelose 80) St/WBPU blends: 90/10; 80/20; 70/30; 60/40; 50/50 | Gelatinisation of St by mixing with glycerol (St/gly 80/20 wt.%) in a microwave reactor (140 °C, 15 min, pressure 700–800 kPa) | WBPU and the glycerol plasticized high amylose starch (HAGS) were compatible and influenced by the physical entanglement and hydrogen bonding interactions in the prepared films. The increase of WBPU ratio led to higher flexible and hydrophobic materials. Some compositions presented water repellency, transparency, and mechanical properties similar to LDPE systems, offering great potential as biodegradable packaging materials. | [109] |
| Corn St (0–30 wt.%) (different incorporation routes) | St gellification (90 °C, 20 min) | The preparation method of WBPU/St dispersions led to chemical and physical interactions, differing from conventional blends and enhancing the films’ degradation ability. Furthermore, the adhesion of microorganisms (B. subtilis) to the surface of the films was enhanced, as well as the susceptibility to alkaline and acid hydrolysis compared with the matrix. | [99] |
| Cht from crab shell (degree of deacetylation ≥ 75%) | Synthesis of the WBPU chain extended with Cht (in water/acetic acid solution) | WBPU-Cht dispersions were applied in acrylic fabrics by the pad-cure method using the Cht as finishing agents. The fabrics showed improved antibacterial behavior with the incorporation of Cht, being the effect more significant with the increase of Cht molecular weight. The treated acrylic fabrics are suitable for the manufacture of blankets and carpets for hospitals. | [103] |
| Cht (50,000 g mol−1) | Synthesis of the WBPU chain extended with Cht (dissolved in DMSO and BD) | WBPU-Cht dispersions were applied in acrylic fabrics by the pad-dry-cure method. Chitosan-based dispersions improved the tensile strength and crease recovery of the fabrics, also presenting contact-active. The dispersions are presented as multifunctional finishing textile coatings with antibacterial properties | [110] |
| Cht | WBPU chain extended with Cht (dissolved in 1% of acetic acid) | WBPU-Cht dispersions were applied in cotton/polyester fabrics by the pad-cure method providing remarkable improvement in the antibacterial activity, being presented as antimicrobial finishing coating agents with potential application in polyester/cotton textiles. | [111] |
| Cht (deacetylation degree > 90%) | Cht and WBPU blends | WBPU-Cht blends were employed for the preparation of hydrogels by macroporous structure on drying. The hydrogels presented improved stability in the aqueous and enzymatic environment, favoring their resistance to biological environments. They also supported adhesion and proliferation of primary dermal rat fibroblast cells and biocompatibility on subcutaneous implantation, being promising materials as wound healing dressings. | [104] |
| Chitosan from shrimp shells (deacetylation degree ≥ 75%) | Cht hydrophobically modified by isocyanate-terminated polyurethane prepolymers copolymerising them through grafting over the chitosan chain | Preparation of hydrogels and lyophilised hydrogels; both presenting sustained drug release behavior and better biocompatible nature with 3T3 fibroblast cells compared to pure chitosan. The hydrogels exhibited promising potential in drug delivery and tissue engineering applications. | [112] |
| WBPU or WBPUU System | Reinforcement | Processing Technique | Application | Reference |
|---|---|---|---|---|
| PUU (PCDL/IPDI/MDEA) containing N,N-dihydroxyethyl azobenzene chromophore | - | Coating onto cotton fabric (coating technique) | Dual-responsive cotton fabric coating (acid condition and UV radiation) for professional garments | [119] |
| PU (PEG/PPG/TDI/DMPA/EG) | - | Films by casting | Adhesives on PVC and leather substrates | [120] |
| PU or PUU (PCL/IPDI/DMPA/MDEA/EDA) | - | Nanoparticles powder and films by casting | Potential therapeutic application in anti-inflammation and macrophage disorders, and as implanted materials | [121] |
| PUU (PCL/PEG/IPDI/BD/LYS) | 3-Dimensional porous scaffolds (freeze-drying) | Soft tissue engineering | [113] | |
| PU (PCL/IPDI/DMPA/DB) | CNC (1, 3 wt.%) and PEO (10 wt.%) as polymer template (then is removed) | Mats by electrospinning | Membranes | [118] |
| PU (PBA/IPDI/DMPA/BD) | PEO (15–50 wt.%) as polymer template (then is removed) | Mats by electrospinning | Membranes | [115] |
| PUU (PCL/PEG/LDI/PD/LYS) | PVA (blends 0–100 wt.%) | Mats by electrospinning | Biomaterial for tissue engineering | [117] |
| Commercial PU (Lubrizol Advanced Materials) | Chitosan (85% DA) (5–15 wt/%) | Mats by electrospinning | Nanofiber filters for air pollution (i.e., air filters and face masks) | [122] |
| PUU (PVA/PBA/TMXDI/DMPA/EDA) | PVA (blends 0–100 wt.%) | Mats by electrospinning | Potential application in wound dressing | [116] |
| PU (PTMG/HMDI) | Chitosan (DA ≥ 75%) | Lyophilised chitosan-based hydrogels modified with PU (10 and 15% of grafting) | Drug delivery and tissue engineering | [112] |
| Commercial PU (Sigma-Aldrich) | Chitosan (DA > 90%) (0–100 wt.%) | Hydrogels scaffolds formed by self-organised in a macroporous structure drying at room temperature | Wound regeneration and healing | [104] |
| PUU (Polyether polyols/MDI/DMPA/EDA) | PVA (blend 0–100 wt.%) | Hydrogels by freeze-drying | Potential application in wound dressing in medical devices | [114] |
| PU | Cellulose paper sheet, CdTe nanocrystals quantum dots, carbon dots | Cellulose-based papers (films prepared by dip-coating and casting) | Self-healing luminescent composites for light-emitting materials | [123] |
| PU (PEG/IPDI/DMPA) | Chitosan as chain extender (Mn 1,000,000 or 150,000 g·mol−1) | Immersion of the acrylic fabrics in the PU dispersion | Finishing agent (with antibacterial properties) for acrylic fabrics | [103] |
| CO/HMDI/Cellulose acetate | Cellulose acetate (Mn 29,000 g·mol−1; 40% acetyl groups) | Modification of cellulose with HMDI and posterior reaction with CO (1:1 wt ratio). Samples were prepared by spreading the adhesive over the substrates | Adhesives for wood, stainless steel, polyethylene, and polyester fabric substrates | [124] |
| PUU (PCL/PDLLA/IPDI/DMPA/EDA) | Forkhead box 3D (Fox3D) (transcription factor and neural crest stem-like cells), and cells | PU hydrogel extruded trough syringe needle 3D bioprinting | Tissue engineering (neuroregeneration or further developed as mini-brain for research and drug screening) | [125] |
| PU PEDL218/IPDI/DMPA/BD/MDEA | - | Films by casting | Fibre-reinforced bulletproof composites for ballistic protection applications | [126] |
| PU PEG/HDI/DMPA/DEG | 10–25 wt.% LiTFSI | Films preparation by casting | All-solid-state lithium-ion batteries | [127] |
| PU/Chitosan (deacetylation degree 85%) | AgNPs (0–0.034%) | Membranes by electrospinning | Dental barrier membranes | [128] |
| PUU (PCL/IPDI/DMPA/EDA) | - | Films by casting | Paper sizing applications | [129] |
| Commercial PU (Leasys 5530) | PU/CNC blends (0–100%) | Films by casting or spread onto a glass slide | Rewritable photonic paper/ink promising in sensors, displays and photonic circuits | [105] |
| PU (PTMG/HO-PDMS/IPDI/DMPA/BD/HEA/ APS) | Polydimethylsiloxane (HO-PDMS) (3, 6, 8 and 10 wt.%) | Films by casting | Waterproof coatings | [130] |
| PU (PEG/IPDI/DMPA/BD) | Chitosan as a chain extender | Dispersions applied to dyed and printed poly-cotton fabrics by the pad-dry-cure method | Antibacterial textile finishing agent for poly-cotton fabrics | [110] |
| PUU (PCL/PEG/LDI//PD/LYS) | - | Light-crosslinking films by casting | Soft tissue engineering scaffolds for tissue repair and wound healing | [2] |
| PU (PPG/IPDI/BD) | - | Films by casting | Water-based ink binders | [131] |
| PU (PEG/IPDI/DMPA) | Chitosan as a chain extender | Immersion of polyester/cotton fabrics in WBPU and squeezed between two stainless steel rollers | Antibacterial textile finishing agents for polyester/cotton fabrics | [111] |
| PU (PCL/H12MDI/DMBA) | Acrylate (diacrylate or triacrylate) as photo-curable initiator | 3D-digital light processing (DLP) printing | flexible 3D architectures for electronic or soft robots flexible devices | [132] |
| Component | Level of Restriction | Regulation/Directive | |
|---|---|---|---|
| Diisocyanate | 4-4′-Dicyclohexylmethane diisocyanate | 1 mg/kg in final product expressed as isocyanate moiety | Commission Regulation 1149/2020 [135] |
| Isophorone diisocyanate | |||
| 4,4′-Diphenylmethane diisocyanate | |||
| Polyol | Polycaprolactone | Without limitations | - |
| Polyethylene glycol | |||
| Polypropylene glycol | |||
| Polytetramethylene ether glycol | |||
| Catalyst | Dibutyltin dilaurate | 1 mg/kg in final product expressed as dibutyl | Regulation (EC) No 1907/2006 [133] |
| Stannous 2-ethylhexanoate | Without limitations | - | |
| Internal Emulsifier | Dimethylol propionic acid | SML 1 = 0.05 mg/kg | Commission Regulation 10/2011 [139] 2 |
| N-Methyldiethanolamine | SML = 0.05 mg/kg | Commission Regulation 10/2011 [139] 2 | |
| Neutralizing Agent | Triethylamine | 3 | - |
| Chain Extenders | Hydrazine monohydrate | Not allowed | Commission Regulation 1272/2008 [134] |
| Diethylenetriamine | SML = 5 mg/kg | Commission Regulation 10/2011 [139] 2 | |
| Ethylenediamine | SML = 12 mg/kg 3 | Commission Regulation 10/2011 [139] 2 | |
| Co-Solvent | Acetone | Without limitations | - |
| N-Methyl-2- pyrrolidone | 3 mg/Kg in final product | Commission Regulation 588/2018 [137] | |
Publisher’s Note: MDPI stays neutral with regard to jurisdictional claims in published maps and institutional affiliations. |
© 2021 by the authors. Licensee MDPI, Basel, Switzerland. This article is an open access article distributed under the terms and conditions of the Creative Commons Attribution (CC BY) license (http://creativecommons.org/licenses/by/4.0/).
Share and Cite
Santamaria-Echart, A.; Fernandes, I.; Barreiro, F.; Corcuera, M.A.; Eceiza, A. Advances in Waterborne Polyurethane and Polyurethane-Urea Dispersions and Their Eco-friendly Derivatives: A Review. Polymers 2021, 13, 409. https://doi.org/10.3390/polym13030409
Santamaria-Echart A, Fernandes I, Barreiro F, Corcuera MA, Eceiza A. Advances in Waterborne Polyurethane and Polyurethane-Urea Dispersions and Their Eco-friendly Derivatives: A Review. Polymers. 2021; 13(3):409. https://doi.org/10.3390/polym13030409
Chicago/Turabian StyleSantamaria-Echart, Arantzazu, Isabel Fernandes, Filomena Barreiro, Maria Angeles Corcuera, and Arantxa Eceiza. 2021. "Advances in Waterborne Polyurethane and Polyurethane-Urea Dispersions and Their Eco-friendly Derivatives: A Review" Polymers 13, no. 3: 409. https://doi.org/10.3390/polym13030409
APA StyleSantamaria-Echart, A., Fernandes, I., Barreiro, F., Corcuera, M. A., & Eceiza, A. (2021). Advances in Waterborne Polyurethane and Polyurethane-Urea Dispersions and Their Eco-friendly Derivatives: A Review. Polymers, 13(3), 409. https://doi.org/10.3390/polym13030409

