Dielectric Responses of Polyurethane/Zinc Oxide Blends for Dry-Type Cast Cold-Curing Resin Transformers
Abstract
1. Introduction
2. Materials
2.1. Polyurethane Cold-Curing Matrix
2.2. Zinc Oxide Nanometric Filler
2.3. Pu/Zno Preparation
3. Methods
3.1. Dissipation Factor and Relative Permittivity Measurements
3.2. Real and Imaginary Parts of Complex Permittivity Measurements
3.3. Conductivity Measurements
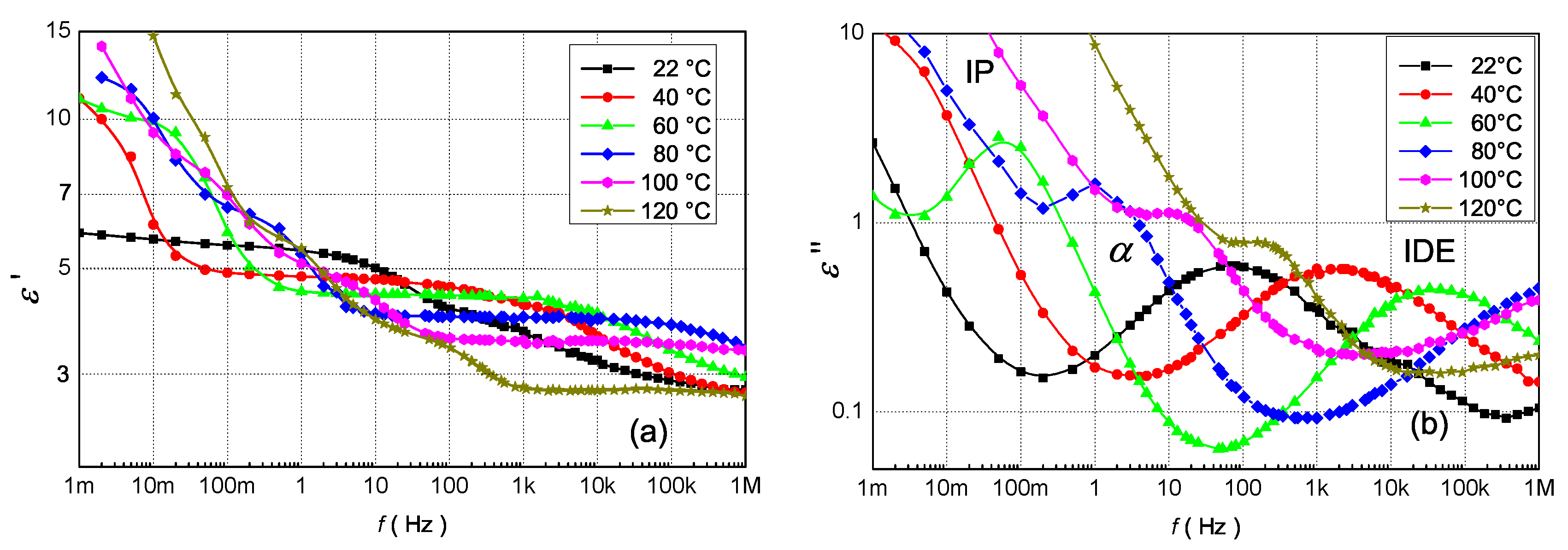
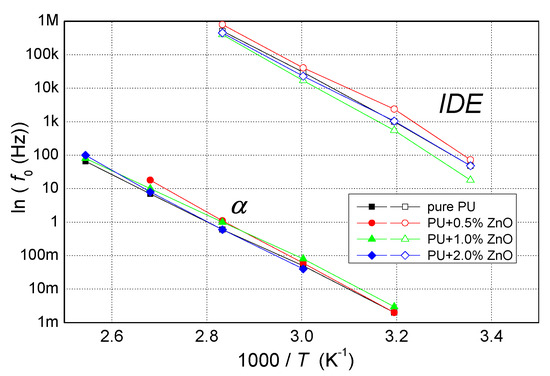
4. Results
5. Discussion
6. Conclusions
Author Contributions
Funding
Data Availability Statement
Conflicts of Interest
References
- Tang, S.; Hale, C.; Thaker, H. Reliability modeling of power transformers with maintenance outage. Syst. Sci. Control. Eng. 2014, 2, 316–324. [Google Scholar] [CrossRef]
- Bartley, W.H. Investigating transformer failure. In Proceedings of the Weidmann-ACTI 5th Annual Technical Conference on New Diagnostic Concepts for Better Asset Management, Albuquerque, NM, USA, 13–15 November 2006. [Google Scholar]
- Chiesa, M.; Das, S.K. Experimental investigation of the dielectric and cooling performance of colloidal suspensions in insulating media. Colloids Surf. 2009, 335, 88–97. [Google Scholar] [CrossRef]
- Rajnak, M.; Timko, M.; Kopcansky, P.; Paulovicova, K.; Kuchta, J.; Franko, M.; Kurimsky, J.; Dolnik, B.; Cimbala, R. Transformer oil-based magnetic nanofluid with high dielectric losses tested for cooling of a model transformer. IEEE Trans. Dielectr. Electr. Insul. 2019, 26, 1343–1349. [Google Scholar] [CrossRef]
- Rafiq, M.; Yuzhen, L.; Chengrong, L. A Review on Properties, Opportunities, and Challenges of Transformer Oil-Based Nanofluids. J. Nanomater. 2016, 2016, 8371560. [Google Scholar] [CrossRef]
- Saha, T.K.; Purkait, P. Monitoring and Estimation Techniques. In Transformer Ageing; Saha, T.K., Purkait, P., Eds.; JohnWiley & Sons Singapore Pte. Ltd.: Hoboken, NJ, USA, 2017; pp. 1–35. [Google Scholar]
- Wu, W.; Kern, J.A. Temperature rise prediction of a natural cooling dry-type transformer. In Proceedings of the SoutheastCon 2016, Norfolk, VA, USA, 30 March–3 April 2016. [Google Scholar]
- Ding, X.; Ning, W. Analysis of the Dry-type Transformer Temperature Field Based on Fluid-solid Coupling. In Proceedings of the Second International Conference on Instrumentation, Measurement, Computer, Communication and Control, Harbin, China, 8–10 December 2012; Volume 2, pp. 520–523. [Google Scholar]
- Mafra, R.; Magalhães, E.; Anselmo, B.; Belchior, F.; Lima e Silva, S. Winding Hottest-Spot Temperature Analysis in Dry-Type Transformer Using Numerical Simulation. Energies 2018, 12, 68. [Google Scholar] [CrossRef]
- Pierce, L.W. Thermal considerations in specifying dry-type transformers. IEEE Trans. Ind. Appl. 1994, 30, 1090–1098. [Google Scholar] [CrossRef]
- Kumar, S.K.; Benicewicz, B.C.; Vaia, R.A.; Winey, K.I. 50th Anniversary Perspective: Are Polymer Nanocomposites Practical for Applications. Macromolecules 2017, 50, 714–731. [Google Scholar] [CrossRef]
- Kim, M.I.; Kim, S.; Kim, T.; Lee, D.K.; Seo, B.; Lim, C.-S. Mechanical and thermal properties of epoxy composites containing zirconium oxide impregnated halloysite nanotubes. Coatings 2017, 7, 231. [Google Scholar]
- Domun, N.; Paton, K.R.; Hadavinia, H.; Sainsbury, T.; Zhang, T.; Mohamud, H. Enhancement of fracture toughness of epoxy nanocomposites by combining nanotubes and nanosheets as fillers. Materials 2017, 10, 1179. [Google Scholar] [CrossRef]
- Zhang, X.; Wen, H.; Wu, Y. Computational thermomechanical properties of silica–epoxy nanocomposites by molecular dynamic simulation. Polymers 2017, 9, 430. [Google Scholar] [CrossRef]
- Kochetov, R. Thermal and Electrical Properties of Nanocomposites, Including Material Processing. Ph.D. Thesis, Wöhrmann Print Service, Zutphen, The Netherlands, 2012; pp. 16–27. [Google Scholar]
- Singha, S.; Thomas, J.M. Dielectric Properties of Epoxy Nanocomposites. IEEE Trans. Dielectr. Electr. Insul. 2008, 15, 12–23. [Google Scholar] [CrossRef]
- Roy, M.; Nelson, J.K.; MacCrone, R.K.; Schadler, L.S.; Reed, C.W.; Keefe, R.; Zenger, W. Polymer Nanocomposite Dielectrics–The Role of the Interface. IEEE Trans. Dielectr. Electr. Insul. 2005, 12, 629–643. [Google Scholar] [CrossRef]
- Tanaka, T.; Montanari, G.C.; Malhaupt, R. Process, understanding and challenges in the field of nanodielectrics. IEEE Trans. Dielectr. Electr. Insul. 2004, 11, 763–784. [Google Scholar] [CrossRef]
- Tanaka, T.; Kozako, M.; Fuse, N.; Ohki, Y. Proposal of a multi-core model for polymer nanocomposite dielectrics. IEEE Trans. Dielectr. Electr. Insul. 2005, 12, 669–681. [Google Scholar] [CrossRef]
- Pissis, P. Molecular Dynamics of Thermoset Nanocomposites. In Thermoset Nanocomposites for Engineering Application; Smithers Rapra Technology Ltd.: Shawbury, UK, 2007; pp. 143–206. [Google Scholar]
- Siyanbola, T.O.; Sasidhar, K.; Rao, B.V.S.K.; Narayan, R.; Olaofe, O.; Akintayo, E.T.; Raju, K.V.S.N. Development of Functional Polyurethane–ZnO Hybrid Nanocomposite Coatings from Thevetia peruviana Seed Oil. J. Am. Oil Chem. Soc. 2015, 92, 267–275. [Google Scholar] [CrossRef]
- Wang, H.; Qiu, X.; Liu, W.; Fu, F.; Yang, D. A Novel Lignin/ZnO Hybrid Nanocomposite with Excellent UV-Absorption Ability and Its Application in Transparent Polyurethane Coating. Ind. Eng. Chem. Res. 2017, 56, 11133–11141. [Google Scholar] [CrossRef]
- Soltani, B.; Asghari, M. Effects of ZnO Nanoparticle on the Gas Separation Performance of Polyurethane Mixed Matrix Membrane. Membranes 2017, 7, 43. [Google Scholar] [CrossRef]
- El Mogy, S.A.; Youssef, R.S.; Abd El Megeed, A.A. Processing of Polyurethane Nanocomposite Reinforced with nanosized Zinc Oxide: Effect on Mechanical and Acoustic Properties. Egypt J. Chem. 2019, 62, 333–341. [Google Scholar] [CrossRef]
- Preety; Hooda, V. A novel polyurethane/nano ZnO matrix for immobilization of chitinolytic enzymes and optical sensing of chitin. Egypt J. Chem. 2018, 106, 1173–1183. [Google Scholar]
- Velayutham, T.S.; Abd Majid, W.H.; Gan, W.C.; Khorsand Zak, A.; Gan, S.N. Theoretical and experimental approach on dielectric properties of ZnO nanoparticles and polyurethane/ZnO nanocomposites. J. Appl. Phys. 2012, 112, 054106. [Google Scholar] [CrossRef]
- Soulintzis, A.; Kontos, G.; Karahaliou, P.; Psarras, G.C.; Georga, S.N.; Krontiras, C.A. Dielectric relaxation processes in epoxy resin—ZnO composites. J. Polym. Sci. B Polym. Phys. 2009, 47, 445–454. [Google Scholar] [CrossRef]
- Hernandez, M.; Ezquerra, T.A.; Verdejo, R.; Lopez-Manchado, M.A. Role of vulcanizing additives on the segmental dynamics of natural rubber. Macromolecules 2012, 45, 1070–1075. [Google Scholar] [CrossRef]
- Kontos, G.A.; Soulintzis, A.L.; Karahaliou, P.K.; Psarras, G.C.; Georga, S.N.; Krontiras, C.A.; Pisanias, M.N. Electrical relaxation dynamics in TiO2-polymer matrix composites. EXPRESS Polym. Lett. 2007, 1, 781–789. [Google Scholar] [CrossRef]
- Ramajo, L.A.; Cristóbal, A.A.; Botta, P.M.; Porto López, J.M.; Reboredo, M.M.; Castro, M.S. Dielectric and magnetic response of Fe3O4/epoxy composites. Compos. Part A Appl. Sci. Manuf. 2009, 40, 388–393. [Google Scholar] [CrossRef]
- Polyurethanes. Meyler’s Side Effects of Drugs; Aronson, J.K., Ed.; Elsevier: Amsterdam, The Netherlands, 2016; p. 874. [Google Scholar]
- Vahabi, H.; Rastin, H.; Movahedifar, E.; Antoun, K.; Brosse, N.; Saeb, M.R. Flame Retardancy of Bio-Based Polyurethanes: Opportunities and Challenges. Polymers 2020, 12, 1234. [Google Scholar] [CrossRef]
- Fricova, O.; Hutnikova, M.; Kovalakova, M.; Baran, A. Influence of aging on molecular motion in PBAT-thermoplastic starch blends studied using solid-state NMR. Int. J. Polym. Anal. Charact 2020, 25, 275–282. [Google Scholar] [CrossRef]
- Knibbe, D.E. A Chemical and Physical Comparison of Polyurethane Hot Cure and Cold Cure Moulding. J. Cell. Plast. 1985, 21, 264–268. [Google Scholar] [CrossRef]
- Montesano, L. Room Temperature-Curing Polyurethane Casting Compounds. Ind. Eng. Chem. Prod. Res. Dev. 1964, 3, 133–137. [Google Scholar] [CrossRef]
- VUKI a.s. VUKOL O22, Material Safety Data Sheet According to Regulation (EC) No 1907/2006; VUKI a.s.: Bratislava, Slovakia, 2018. [Google Scholar]
- VUKI a.s. VUKIL M, Material Safety Data Sheet According to Regulation (EC) No 1907/2006 and Modified According to 2015/830/EU; VUKI a.s.: Bratislava, Slovakia, 2020. [Google Scholar]
- VUKI a.s. Impregnants, VUKUR OM 22, Material Data Sheet; VUKI a.s.: Bratislava, Slovakia, 2013. [Google Scholar]
- Wang, Z.L. Nanostructures of zinc oxide. Mater. Today 2004, 7, 26–33. [Google Scholar] [CrossRef]
- Galdámez-Martinez, A.; Santana, G.; Güell, F.; Martínez-Alanis, P.R.; Dutt, A. Photoluminescence of ZnO Nanowires: A Review. Nanomaterials 2020, 10, 857. [Google Scholar] [CrossRef]
- Wang, J.; Chen, R.; Xiang, L.; Komarneni, S. Synthesis, properties and applications of ZnO nanomaterials with oxygen vacancies: A review. Ceram. Int. 2018, 44, 7357–7377. [Google Scholar] [CrossRef]
- Abbas Shah, N.; Gul, M.; Abbas, M.; Amin, M. Synthesis of Metal Oxide Semiconductor Nanostructures for Gas Sensors. In Gas Sensors; Khan, S.H., Ed.; IntechOpen Limited: London, UK, 2020; pp. 1–23. [Google Scholar]
- Hahn, Y.-B. Zinc oxide nanostructures and their applications. Korean J. Chem. Eng. 2011, 28, 1797–1813. [Google Scholar] [CrossRef]
- Janotti, A.; Van de Walle, C.G. Fundamentals of zinc oxide as a semiconductor. Rep. Prog. Phys. 2009, 72, 126501. [Google Scholar] [CrossRef]
- Nanostructured & Amorphous Materials, Inc. Zirconia Nanopowder, Calcia Doped (ZrO2/8 mol%CaO, 99.9%, 20–30 nm). Available online: https://www.nanoamor.com/inc/sdetail/3261 (accessed on 10 October 2020).
- Rahman, M.M. Polyurethane/Zinc Oxide (PU/ZnO) Composite—Synthesis, Protective Property and Application. Polymers 2020, 12, 1535. [Google Scholar] [CrossRef] [PubMed]
- González-Irún Rodríguez, J.; Carreira, P.; García-Diez, A.; Hui, D.; Artiaga, R.; Liz-Marzán, L.M. Nanofiller effect on the glass transition of a polyurethane. J. Therm. Anal. Calorim. 2007, 87, 45–47. [Google Scholar] [CrossRef]
- Rittigstein, P.; Torkelson, J.M. Polymer–nanoparticle interfacial interactions in polymer nanocomposites: Confinement effects on glass transition temperature and suppression of physical aging. J. Polym. Sci. B Polym. Phys. 2006, 44, 2935–2943. [Google Scholar] [CrossRef]
- Barrau, S.; Demont, P.; Maraval, C.; Bernes, A.; Lacabanne, C. Glass Transition Temperature Depression at the Percolation Threshold in Carbon Nanotube–Epoxy Resin and Polypyrrole–Epoxy Resin Composites. Macromol. Rapid Commun. 2005, 25, 390–394. [Google Scholar] [CrossRef]
- Stanzione, M.; Russo, V.; Oliviero, M.; Verdolotti, L.; Sorrentino, A.; Di Serio, M.; Tesser, R.; Iannace, S.; Lavorgna, M. Characterization of sustainable polyhydroxyls, produced from bio-based feedstock, and polyurethane and copolymer urethane-amide foams. J. Data Brief 2018, 21, 269–275. [Google Scholar] [CrossRef]
- Kao, K.C. Dielectric Phenomena in Solids with Emphasis on Physical Concepts of Electronic Processes; Elsevier Academic Press: Amsterdam, The Netherlands, 2004. [Google Scholar]
- Kremer, F.; Schönhals, A. (Eds.) Broadband Dielectric Spectroscopy; Springer: Heidelberg, Germany, 2003. [Google Scholar]
- Maity, P.; Poovamma, P.K.; Basu, S.; Parameswaran, V.; Gupta, N. Dielectric spectroscopy of epoxy resin with and without nanometric alumina fillers. IEEE Trans. Dielectr. Electr. Insul. 2009, 16, 1481–1488. [Google Scholar] [CrossRef]
- Hardon, S.; Kudelcik, J.; Trnka, P.; Totzauer, P.; Hornak, J.; Michal, O. The influence of ZnO nanoparticles on the dielectric properties of epoxy resin. In Proceedings of the Applied Physics of Condensed Matter (APCOM 2019), Strbske Pleso, Slovakia, 19–21 June 2019; Volume 2131, p. 020015. [Google Scholar]
- Wang, X.; Chen, Q.; Yang, H.; Zhou, K.; Ning, X. Electrical properties of epoxy/ZnO nano-composite. J. Mater. Sci. Mater. Electron. 2018, 29, 12765–12770. [Google Scholar] [CrossRef]
- Tomara, G.N.; Kerasidou, A.P.; Patsidis, A.C.; Karahaliou, P.K.; Psarras, G.C.; Georga, S.N.; Krontiras, C.A. Dielectric response and energy storage efficiency of low content TiO2-polymer matrix nanocomposites. Compos. Part A Appl. Sci. Manuf. 2015, 71, 204–211. [Google Scholar] [CrossRef]
- Wang, Z.; Zhou, W.; Dong, L.; Sui, X.; Zuo, J.; Cai, H.; Cai, J. Dielectric relaxation dynamics of Al/epoxy micro-composites. J. Alloys Compd. 2016, 689, 342–349. [Google Scholar] [CrossRef]
- Zhao, W.; Fan, Y.; Chen, H. Dielectric properties and corona resistance of Si-B/epoxy nano-composites. J. Mater. Sci. Mater. Electron. 2019, 30, 16298–16307. [Google Scholar] [CrossRef]
- Sun, X.W.; Yang, Y. Introduction. In ZnO Nanostructures and Their Applications; Sun, X.W., Yang, Y., Eds.; Taylor & Francis Group: New York, NY, USA, 2012; pp. 1–14. [Google Scholar]







| Parameter | Unit | Castor Oil-Based Polyol | Hardener |
|---|---|---|---|
| Viscosity at 25 °C | mPa·s | 900–1000 | 85–135 |
| Viscosity of mixture | mPa·s | 700–1000 | 700–1000 |
| Fire point | °C | >200 | >200 |
| Curing time | h | 24 | - |
| Color | green | green | |
| Mixing ration | 100 | 37 | |
| Curing temperature | room | room |
| Parameter | Unit | Value | Parameter | Unit | Value |
|---|---|---|---|---|---|
| Size | nm | 20 | Loss on drying | wt.% | ≤1 (110 °C/2 h) |
| Bulk density | g/cm | 0.1–0.2 | pH | 6.5–7.5 | |
| SSA | m/g | ≥40 | Morphology | spherical | |
| Purity | % | 99+ | Color | white |
| Parameter | Units | PU | +0.5% | +1.0% | +2.0% |
|---|---|---|---|---|---|
| 4.7 | 3.5 | 2.8 | 5.3 | ||
| 4.8 | 2.7 | 3.1 | 1.8 | ||
| s | 0.44 | 0.14 | 0.16 | 0.2 | |
| Hz | 0.36 | 1.1 | 1.0 | 0.8 | |
| 0.42 | 0.54 | 0.81 | 0.9 | ||
| S/m | 1.1 | 21.7 | 62.3 | 5.4 | |
| 4.9 | 2.0 | 0.8 | 1.1 | ||
| µs | 0.32 | 0.2 | 0.4 | 0.35 | |
| kHz | 510 | 800 | 400 | 450 | |
| 0.1 | 0.41 | 0.77 | 0.23 |
Publisher’s Note: MDPI stays neutral with regard to jurisdictional claims in published maps and institutional affiliations. |
© 2021 by the authors. Licensee MDPI, Basel, Switzerland. This article is an open access article distributed under the terms and conditions of the Creative Commons Attribution (CC BY) license (http://creativecommons.org/licenses/by/4.0/).
Share and Cite
Kúdelčík, J.; Hardoň, Š.; Trnka, P.; Michal, O.; Hornak, J. Dielectric Responses of Polyurethane/Zinc Oxide Blends for Dry-Type Cast Cold-Curing Resin Transformers. Polymers 2021, 13, 375. https://doi.org/10.3390/polym13030375
Kúdelčík J, Hardoň Š, Trnka P, Michal O, Hornak J. Dielectric Responses of Polyurethane/Zinc Oxide Blends for Dry-Type Cast Cold-Curing Resin Transformers. Polymers. 2021; 13(3):375. https://doi.org/10.3390/polym13030375
Chicago/Turabian StyleKúdelčík, Jozef, Štefan Hardoň, Pavel Trnka, Ondřej Michal, and Jaroslav Hornak. 2021. "Dielectric Responses of Polyurethane/Zinc Oxide Blends for Dry-Type Cast Cold-Curing Resin Transformers" Polymers 13, no. 3: 375. https://doi.org/10.3390/polym13030375
APA StyleKúdelčík, J., Hardoň, Š., Trnka, P., Michal, O., & Hornak, J. (2021). Dielectric Responses of Polyurethane/Zinc Oxide Blends for Dry-Type Cast Cold-Curing Resin Transformers. Polymers, 13(3), 375. https://doi.org/10.3390/polym13030375

