Preparation and Physicochemical Properties of Modified Corn Starch–Chitosan Biodegradable Films
Abstract
:1. Introduction
2. Materials and Methods
2.1. Materials
2.2. Preparation of Films
2.3. Thickness
2.4. Water Solubility
2.5. Contact Angle
2.6. Fourier Transform Infrared (FT-IR) Analysis
2.7. X-ray Diffraction (XRD) Analysis
2.8. Thermal Properties
2.9. Water-Vapor Permeability (WVP)
2.10. Adsorption Isotherms
2.11. Mechanical Properties
2.12. Statistical Analysis
3. Results and Discussion
3.1. Thickness
3.2. Water Solubility and Contact Angle
3.3. Fourier Transform Infrared (FT-IR) Analysis
3.4. X-ray Diffraction
3.5. Thermal Properties
3.6. Water-Vapor Permeability (WVP)
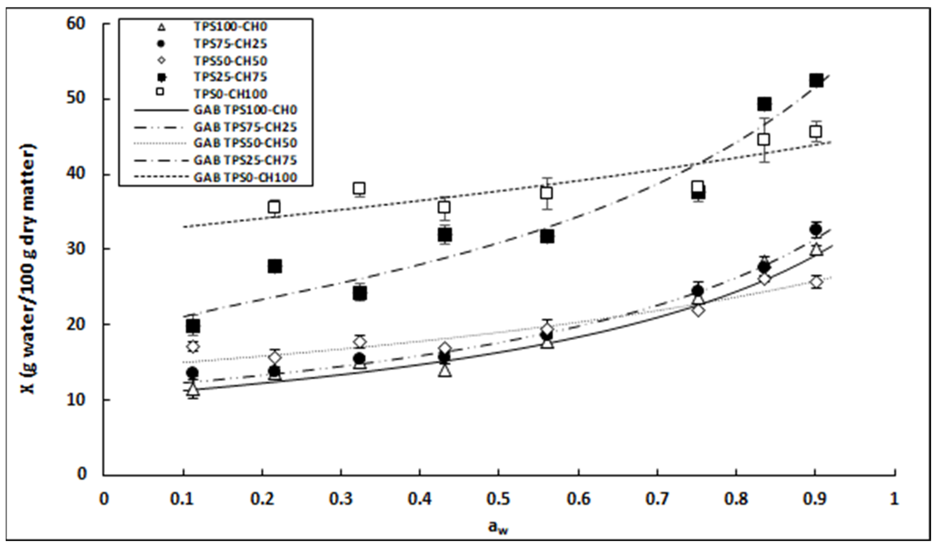
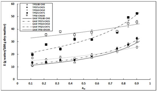
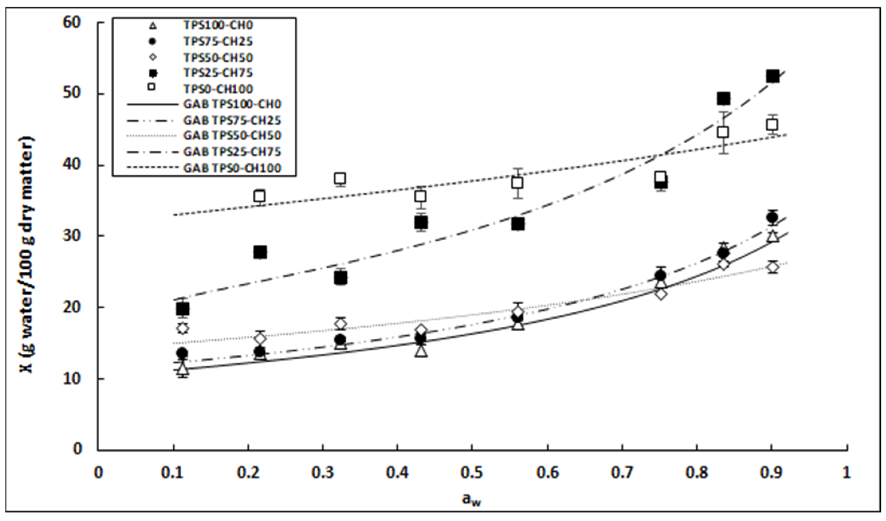
3.7. Water-Vapor Adsorption Isotherms
3.8. Mechanical Properties
4. Conclusions
Author Contributions
Funding
Institutional Review Board Statement
Informed Consent Statement
Data Availability Statement
Acknowledgments
Conflicts of Interest
References
- Katerinopoulou, K.; Giannakas, A.; Grigoriadi, K.; Barkoula, N.M.; Ladavos, A. Preparation and characterization of acetylated corn starch–(PVOH)/clay nanocomposite films. Carbohydr. Polym. 2014, 102, 216–222. [Google Scholar] [CrossRef]
- Choo, K.W.; Lin, M.; Mustapha, A. Chitosan/acetylated starch composite films incorporated with essential oils: Physiochemical and antimicrobial properties. Food Biosci. 2021, 43, 101287. [Google Scholar] [CrossRef]
- Colussi, R.; Pinto, V.Z.; El Halal, S.L.M.; Biduski, B.; Prietto, L.; Castilhos, D.D.; Zavareze, E.D.R.; Dias, A.R.G. Acetylated rice starches films with different levels of amylose: Mechanical, water vapor barrier, thermal, and biodegradability properties. Food Chem. 2017, 221, 1614–1620. [Google Scholar] [CrossRef] [PubMed]
- Calambas, H.L.; Fonseca, A.; Adames, D.; Aguirre-Loredo, Y.; Caicedo, C. Physical-Mechanical Behavior and Water-Barrier Properties of Biopolymers-Clay Nanocomposites. Molecules 2021, 26, 6734. [Google Scholar] [CrossRef]
- Combrzyński, M.; Oniszczuk, T.; Kupryaniuk, K.; Wójtowicz, A.; Mitrus, M.; Milanowski, M.; Soja, J.; Budziak-Wieczorek, I.; Karcz, D.; Kamiński, D.; et al. Physical Properties, Spectroscopic, Microscopic, X-ray, and Chemometric Analysis of Starch Films Enriched with Selected Functional Additives. Materials 2021, 14, 2673. [Google Scholar] [CrossRef] [PubMed]
- Aranaz, I.; Alcántara, A.R.; Civera, M.C.; Arias, C.; Elorza, B.; Caballero, A.H.; Acosta, N. Chitosan: An Overview of Its Properties and Applications. Polymers 2021, 13, 3256. [Google Scholar] [CrossRef]
- Ferreira, R.R.; Souza, A.G.; Quispe, Y.M.; Rosa, D.S. Essential oils loaded-chitosan nanocapsules incorporation in biodegradable starch films: A strategy to improve fruits shelf life. Int. J. Biol. Macromol. 2021, 188, 628–638. [Google Scholar] [CrossRef]
- Lipatova, I.; Losev, N.; Makarova, L.; Rodicheva, J.; Burmistrov, V. Effect of composition and mechanoactivation on the properties of films based on starch and chitosans with high and low deacetylation. Carbohydr. Polym. 2020, 239, 116245. [Google Scholar] [CrossRef] [PubMed]
- Fonseca-García, A.; Jiménez-Regalado, E.J.; Aguirre-Loredo, R.Y. Preparation of a novel biodegradable packaging film based on corn starch-chitosan and poloxamers. Carbohydr. Polym. 2020, 251, 117009. [Google Scholar] [CrossRef] [PubMed]
- Aguirre-Loredo, R.Y.; Rodriguez-Hernandez, A.I.; Morales-Sánchez, E.; Gomez-Aldapa, C.; Velazquez, G. Effect of equilibrium moisture content on barrier, mechanical and thermal properties of chitosan films. Food Chem. 2016, 196, 560–566. [Google Scholar] [CrossRef] [PubMed]
- ASTM, E96; Standard Test Methods for Water Vapor Transmission of Materials; ASTM International: West Conshohocken, PA, USA, 2002.
- Wolf, W.; Spiess, W.E.L.; Jung, G. Standardization of Isotherm Measurements (Cost-Project 90 and 90 BIS). In Properties of Water in Foods: In Relation to Quality and Stability; Simatos, D., Multon, J.L., Eds.; Springer: Dordrecht, The Netherlands, 1985; pp. 661–679. [Google Scholar]
- ASTM, D882; Standard Test Method for Tensile Properties of Thin Plastic Sheeting; ASTM International: West Conshohocken, PA, USA, 2012.
- Chi, H.; Xu, K.; Wu, X.; Chen, Q.; Xue, D.; Song, C.; Zhang, W.; Wang, P. Effect of acetylation on the properties of corn starch. Food Chem. 2008, 106, 923–928. [Google Scholar] [CrossRef]
- Ma, X.; Yu, J. Formamide as the plasticizer for thermoplastic starch. J. Appl. Polym. Sci. 2004, 93, 1769–1773. [Google Scholar] [CrossRef]
- Meng, W.; Shi, J.; Zhang, X.; Lian, H.; Wang, Q.; Peng, Y. Effects of peanut shell and skin extracts on the antioxidant ability, physical and structure properties of starch-chitosan active packaging films. Int. J. Biol. Macromol. 2020, 152, 137–146. [Google Scholar] [CrossRef]
- Ávila, A.; Bierbrauer, K.; Pucci, G.; López-González, M.; Strumia, M. Study of optimization of the synthesis and properties of biocomposite films based on grafted chitosan. J. Food Eng. 2012, 109, 752–761. [Google Scholar] [CrossRef]
- Bernazzani, P.; Peyyavula, V.; Agarwal, S.; Tatikonda, R. Evaluation of the phase composition of amylose by FTIR and isothermal immersion heats. Polymer 2008, 49, 4150–4158. [Google Scholar] [CrossRef]
- Ma, Z.; Ma, M.; Zhou, D.; Li, X.; Hu, X. The retrogradation characteristics of pullulanase debranched field pea starch: Effects of storage time and temperature. Int. J. Biol. Macromol. 2019, 134, 984–992. [Google Scholar] [CrossRef]
- Fan, M.; Hu, Q.; Shen, K. Preparation and structure of chitosan soluble in wide pH range. Carbohydr. Polym. 2009, 78, 66–71. [Google Scholar] [CrossRef]
- Diop, C.I.K.; Li, H.L.; Xie, B.J.; Shi, J. Effects of acetic acid/acetic anhydride ratios on the properties of corn starch acetates. Food Chem. 2011, 126, 1662–1669. [Google Scholar] [CrossRef]
- Singh, J.; Kaur, L.; McCarthy, O.J. Factors influencing the physico-chemical, morphological, thermal and rheological properties of some chemically modified starches for food applications—A review. Food Hydrocoll. 2007, 21, 1–22. [Google Scholar] [CrossRef]
- Suyatma, N.E.; Tighzert, A.L.; Copinet, A.; Coma, V. Effects of Hydrophilic Plasticizers on Mechanical, Thermal, and Surface Properties of Chitosan Films. J. Agric. Food Chem. 2005, 53, 3950–3957. [Google Scholar] [CrossRef]
- Ramesh, N.S.; Davis, P.K.; Zielinski, J.M.; Danner, R.P.; Duda, J.L. Application of free-volume theory to self diffusion of solvents in polymers below the glass transition temperature: A review. J. Polym. Sci. Part B Polym. Phys. 2011, 49, 1629–1644. [Google Scholar] [CrossRef]
- Bourtoom, T.; Chinnan, M.S. Preparation and properties of rice starch–chitosan blend biodegradable film. LWT 2008, 41, 1633–1641. [Google Scholar] [CrossRef]
- Yepes, O.O.; Jaramillo, C.M.; Guz, L.; Famá, L. Biodegradable and Edible Starch Composites with Fiber-Rich Lentil Flour to Use as Food Packaging. Starch-Stärke 2018, 70, 1700222. [Google Scholar] [CrossRef]
- da Silva, A.O.; Cortez-Vega, W.R.; Prentice, C.; Fonseca, G.G. Development and characterization of biopolymer films based on bocaiuva (Acromonia aculeata) flour. Int. J. Biol. Macromol. 2020, 155, 1157–1168. [Google Scholar] [CrossRef]
- Jost, V. Packaging related properties of commercially available biopolymers–An overview of the status quo. Express Polym. Lett. 2018, 12, 429–435. [Google Scholar] [CrossRef]
- Galus, S.; Kibar, E.A.A.; Gniewosz, M.; Kraśniewska, K. Novel Materials in the Preparation of Edible Films and Coatings—A Review. Coatings 2020, 10, 674. [Google Scholar] [CrossRef]
- Phan, T.D.; Debeaufort, F.; Luu, D.; Voilley, A. Functional Properties of Edible Agar-Based and Starch-Based Films for Food Quality Preservation. J. Agric. Food Chem. 2005, 53, 973–981. [Google Scholar] [CrossRef]
- Ferreira, M.L.; Pedroni, V.I.; Alimenti, G.A.; Gschaider, M.E.; Schulz, P.C. The interaction between water vapor and chitosan II: Computational study. Colloids Surf. A Physicochem. Eng. Asp. 2008, 315, 241–249. [Google Scholar] [CrossRef]
- Gómez-Aldapa, C.A.; Velazquez, G.; Gutiérrez, M.C.; Castro-Rosas, J.; Jiménez-Regalado, E.J.; Aguirre-Loredo, R.Y. Characterization of Functional Properties of Biodegradable Films Based on Starches from Different Botanical Sources. Starch-Stärke 2020, 72, 1900282. [Google Scholar] [CrossRef]
- Qiao, C.; Ma, X.; Zhang, J.; Yao, J. Effect of hydration on water state, glass transition dynamics and crystalline structure in chitosan films. Carbohydr. Polym. 2018, 206, 602–608. [Google Scholar] [CrossRef] [PubMed]
- Santacruz, S.; Rivadeneira, C.; Castro, M. Edible films based on starch and chitosan. Effect of starch source and concentration, plasticizer, surfactant’s hydrophobic tail and mechanical treatment. Food Hydrocoll. 2015, 49, 89–94. [Google Scholar] [CrossRef]
- Gao, C.; Wang, S.; Liu, B.; Yao, S.; Dai, Y.; Zhou, L.; Qin, C.; Fatehi, P. Sustainable Chitosan-Dialdehyde Cellulose Nanocrystal Film. Materials 2021, 14, 5851. [Google Scholar] [CrossRef]
- Briassoulis, D.; Giannoulis, A. Evaluation of the functionality of bio-based food packaging films. Polym. Test. 2018, 69, 39–51. [Google Scholar] [CrossRef]
- Rennert, M.; Nase, M.; Lach, R.; Reincke, K.; Arndt, S.; Androsch, R.; Grellmann, W. Influence of low-density polyethylene blown film thickness on the mechanical properties and fracture toughness. J. Plast. Film Sheeting 2013, 29, 327–346. [Google Scholar] [CrossRef]
- Sangroniz, A.; Zhu, J.-B.; Tang, X.; Etxeberria, A.; Chen, E.Y.-X.; Sardon, H. Packaging materials with desired mechanical and barrier properties and full chemical recyclability. Nat. Commun. 2019, 10, 3559. [Google Scholar] [CrossRef] [Green Version]
- Tuhin, M.O.; Rahman, N.; Haque, M.; Khan, R.A.; Dafader, N.C.; Islam, R.; Nurnabi, M.; Tonny, W. Modification of mechanical and thermal property of chitosan–starch blend films. Radiat. Phys. Chem. 2012, 81, 1659–1668. [Google Scholar] [CrossRef]
- Epure, V.; Griffon, M.; Pollet, E.; Avérous, L. Structure and properties of glycerol-plasticized chitosan obtained by mechanical kneading. Carbohydr. Polym. 2011, 83, 947–952. [Google Scholar] [CrossRef]






| Starch:Chitosan Volume Solution Ratios | Thickness (µm) | Solubility (%) | Contact Angle (°) | WVP × 10−11 (g·m−1·s−1·Pa−1) |
|---|---|---|---|---|
| TPS100-CH0 | 110.36 ± 1.61 d | 30.70 ± 2.35 a | 90.58 ± 0.40 d | 26.20 ± 6.43 e |
| TPS75-CH25 | 162.54 ± 7.84 e | 47.24 ± 2.07 b | 86.08 ± 0.06 c | 4.95 ± 0.81 c |
| TPS50-CH50 | 70.06 ± 0.95 b | 49.86 ± 5.30 b | 72.39 ± 0.51 b | 5.74 ± 0.77 d |
| TPS25-CH75 | 90.46 ± 6.48 c | 70.92 ± 7.42 c | 56.79 ± 1.05 a | 0.55 ± 0.03 a |
| TPS0-CH100 | 49.07 ± 2.59 a | 68.84 ± 6.68 c | 67.51 ± 2.02 b | 4.01 ± 0.52 b |
| Film Sample Starch–Chitosan (TPS-CH) Ratios | T10 | T30 | Td1 * | Td2 * | Tg1 * | Tm1 | Tg2 * |
|---|---|---|---|---|---|---|---|
| °C | |||||||
| TPS100-CH0 | 198.3 | 287.7 | — | 295.9 | 55.1 | 127.6 | |
| TPS75-CH25 | 168.0 | 303.0 | 287.3 | 330.7 | — | 131.4 | 156.6 |
| TPS50-CH50 | 173.2 | 270.3 | 261.1 | 303.1 | 56.2 | 111.1 ** | 111.1 ** |
| TPS25-CH75 | 158.3 | 256.0 | 261.0 | 300.0 | — | 108.9 ** | 108.9 ** |
| TPS0-CH100 | 118.1 | 179.4 | 259.7 | — | — | 163.8 | |
| Starch–Chitosan Volume Solution Ratios (TPS-CH) | Xm | C | k | R2 |
|---|---|---|---|---|
| TPS100-CH0 | 10.71 | 1540.74 | 0.72 | 0.989 |
| TPS75-CH25 | 11.35 | 9510.04 | 0.71 | 0.994 |
| TPS50-CH50 | 14.38 | 15,718.83 | 0.49 | 0.975 |
| TPS25-CH75 | 20.85 | 241.73 | 0.66 | 0.963 |
| TPS0-CH100 | 32.20 | 4555.95 | 0.29 | 0.919 |
Publisher’s Note: MDPI stays neutral with regard to jurisdictional claims in published maps and institutional affiliations. |
© 2021 by the authors. Licensee MDPI, Basel, Switzerland. This article is an open access article distributed under the terms and conditions of the Creative Commons Attribution (CC BY) license (https://creativecommons.org/licenses/by/4.0/).
Share and Cite
Jiménez-Regalado, E.J.; Caicedo, C.; Fonseca-García, A.; Rivera-Vallejo, C.C.; Aguirre-Loredo, R.Y. Preparation and Physicochemical Properties of Modified Corn Starch–Chitosan Biodegradable Films. Polymers 2021, 13, 4431. https://doi.org/10.3390/polym13244431
Jiménez-Regalado EJ, Caicedo C, Fonseca-García A, Rivera-Vallejo CC, Aguirre-Loredo RY. Preparation and Physicochemical Properties of Modified Corn Starch–Chitosan Biodegradable Films. Polymers. 2021; 13(24):4431. https://doi.org/10.3390/polym13244431
Chicago/Turabian StyleJiménez-Regalado, Enrique Javier, Carolina Caicedo, Abril Fonseca-García, Claudia Cecilia Rivera-Vallejo, and Rocio Yaneli Aguirre-Loredo. 2021. "Preparation and Physicochemical Properties of Modified Corn Starch–Chitosan Biodegradable Films" Polymers 13, no. 24: 4431. https://doi.org/10.3390/polym13244431
APA StyleJiménez-Regalado, E. J., Caicedo, C., Fonseca-García, A., Rivera-Vallejo, C. C., & Aguirre-Loredo, R. Y. (2021). Preparation and Physicochemical Properties of Modified Corn Starch–Chitosan Biodegradable Films. Polymers, 13(24), 4431. https://doi.org/10.3390/polym13244431

