Mass-Synthesized Solution-Processable Polyimide Gate Dielectrics for Electrically Stable Operating OFETs and Integrated Circuits
Abstract
:1. Introduction
2. Materials and Methods
2.1. Preparation of Materials
2.2. Device Fabrication
2.3. Characterizations
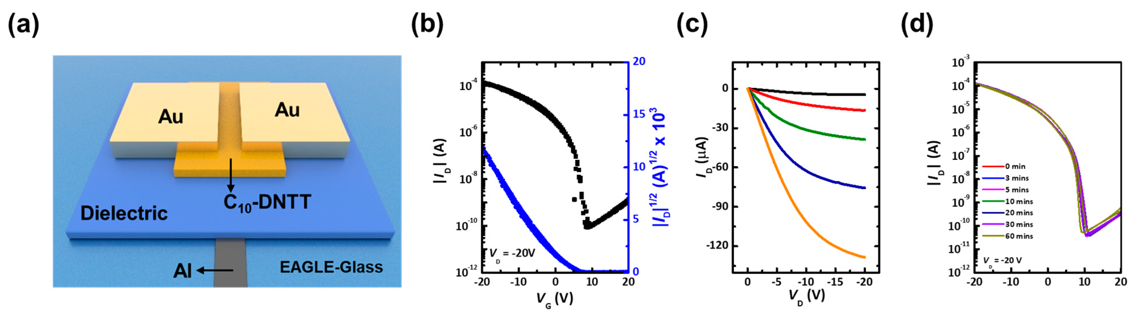
3. Results and Discussion
4. Conclusions
Supplementary Materials
Author Contributions
Funding
Institutional Review Board Statement
Informed Consent Statement
Data Availability Statement
Acknowledgments
Conflicts of Interest
References
- Li, J.; Tang, W.; Wang, Q.; Sun, W.; Zhang, Q.; Guo, X.; Wang, X.; Yan, F. Solution-processable organic and hybrid gate dielectrics for printed electronics. Mater. Sci. Eng. R Rep. 2018, 127, 1–36. [Google Scholar] [CrossRef]
- Wang, Y.; Huang, X.; Li, T.; Li, L.; Guo, X.; Jiang, P. Polymer-Based Gate Dielectrics for Organic Field-Effect Transistors. Chem. Mater. 2019, 31, 2212–2240. [Google Scholar] [CrossRef]
- Stucchi, E.; Dell’Erba, G.; Colpani, P.; Kim, Y.-H.; Caironi, M. Low-Voltage, Printed, All-Polymer Integrated Circuits Employing a Low-Leakage and High-Yield Polymer Dielectric. Adv. Electron. Mater. 2018, 4, 1800340. [Google Scholar] [CrossRef] [Green Version]
- Guo, S.; Wang, Z.; Chen, X.; Li, L.; Li, J.; Ji, D.; Li, L.; Hu, W. Low-voltage polymer-dielectric-based organic field-effect transistors and applications. Nano Select 2021. [Google Scholar] [CrossRef]
- Tang, X.; Kwon, H.-j.; Li, Z.; Wang, R.; Kim, S.J.; Park, C.E.; Jeong, Y.J.; Kim, S.H. Strategy for Selective Printing of Gate Insulators Customized for Practical Application in Organic Integrated Devices. ACS Appl. Mater. Interfaces 2021, 13, 1043–1056. [Google Scholar] [CrossRef]
- Kim, K.; Shin, S.; Kim, S.H.; Lee, J.; An, T.K. High-efficiency nitrene-based crosslinking agent for robust dielectric layers and high-performance solution-processed organic field-effect transistors. Appl. Surf. Sci. 2019, 479, 280–286. [Google Scholar] [CrossRef]
- Min, H.; Kang, B.; Shin, Y.S.; Kim, B.; Lee, S.W.; Cho, J.H. Transparent and Colorless Polyimides Containing Multiple Trifluoromethyl Groups as Gate Insulators for Flexible Organic Transistors with Superior Electrical Stability. ACS Appl. Mater. Interfaces 2020, 12, 18739–18747. [Google Scholar] [CrossRef] [PubMed]
- Kim, M.J.; Lee, M.; Min, H.; Kim, S.; Yang, J.; Kweon, H.; Lee, W.; Kim, D.H.; Choi, J.-H.; Ryu, D.Y.; et al. Universal three-dimensional crosslinker for all-photopatterned electronics. Nat. Commun. 2020, 11, 1520. [Google Scholar] [CrossRef] [PubMed] [Green Version]
- Kim, D.W.; Min, S.-Y.; Lee, Y.; Jeong, U. Transparent Flexible Nanoline Field-Effect Transistor Array with High Integration in a Large Area. ACS Nano 2020, 14, 907–918. [Google Scholar] [CrossRef]
- Huang, W.; Fan, H.; Zhuang, X.; Yu, J. Effect of UV/ozone treatment on polystyrene dielectric and its application on organic field-effect transistors. Nanoscale Res. Lett. 2014, 9, 479. [Google Scholar] [CrossRef] [Green Version]
- Lyu, B.; Kim, M.; Jing, H.; Kang, J.; Qian, C.; Lee, S.; Cho, J.H. Large-Area MXene Electrode Array for Flexible Electronics. ACS Nano 2019, 13, 11392–11400. [Google Scholar] [CrossRef]
- Chen, Z.; Zhu, D.; Tong, F.; Lu, X.; Lu, Q. Low Dielectric Constant Polyimide Hybrid Films Prepared by in Situ Blow-Balloon Method. ACS Appl. Polym. Mater. 2019, 1, 2189–2196. [Google Scholar] [CrossRef]
- Park, H.; Yoo, S.; Won, J.C.; Kim, Y.H. Room-temperature, printed, low-voltage, flexible organic field-effect transistors using soluble polyimide gate dielectrics. APL Mater. 2020, 8, 011112. [Google Scholar] [CrossRef] [Green Version]
- Ji, D.; Li, T.; Hu, W.; Fuchs, H. Recent Progress in Aromatic Polyimide Dielectrics for Organic Electronic Devices and Circuits. Adv. Mater. 2019, 31, 1806070. [Google Scholar] [CrossRef]
- Meador, M.A.B.; Vivod, S.L. Polyimide Synthesis. In Encyclopedia of Polymeric Nanomaterials; Kobayashi, S., Müllen, K., Eds.; Springer: Berlin/Heidelberg, Germany, 2021; pp. 1–11. [Google Scholar]
- Kang, M.J.; Doi, I.; Mori, H.; Miyazaki, E.; Takimiya, K.; Ikeda, M.; Kuwabara, H. Alkylated Dinaphtho [2,3-b:2′,3′-f]Thieno[3,2-b]Thiophenes (Cn-DNTTs): Organic Semiconductors for High-Performance Thin-Film Transistors. Adv. Mater. 2011, 23, 1222–1225. [Google Scholar] [CrossRef] [PubMed]
- Sadhasivam, B.; Muthusamy, S. Thermal and dielectric properties of newly developed L-tryptophan-based optically active polyimide and its POSS nanocomposites. Des. Monomers Polym. 2016, 19, 236–247. [Google Scholar] [CrossRef] [Green Version]
- Kim, S.; Jang, K.-S.; Choi, H.-D.; Choi, S.-H.; Kwon, S.-J.; Kim, I.-D.; Lim, J.A.; Hong, J.-M. Porous polyimide membranes prepared by wet phase inversion for use in low dielectric applications. Int. J. Mol. Sci. 2013, 14, 8698–8707. [Google Scholar] [CrossRef] [Green Version]
- Kwon, H.-J.; Ye, H.; Baek, Y.; Hong, J.; Wang, R.; Choi, Y.; Lee, I.; Park, C.E.; Nam, S.; Kim, J.; et al. Printable Ultra-Flexible Fluorinated Organic–Inorganic Nanohybrid Sol–Gel Derived Gate Dielectrics for Highly Stable Organic Thin-Film Transistors and Other Practical Applications. Adv. Funct. Mater. 2021, 31, 2009539. [Google Scholar] [CrossRef]
- Kwon, H.-J.; Tang, X.; Shin, S.; Hong, J.; Jeong, W.; Jo, Y.; An, T.K.; Lee, J.; Kim, S.H. Facile Photo-cross-linking System for Polymeric Gate Dielectric Materials toward Solution-Processed Organic Field-Effect Transistors: Role of a Cross-linker in Various Polymer Types. ACS Appl. Mater. Interfaces 2020, 12, 30600–30615. [Google Scholar] [CrossRef]
- Lill, A.T.; Eftaiha, A.a.F.; Huang, J.; Yang, H.; Seifrid, M.; Wang, M.; Bazan, G.C.; Nguyen, T.-Q. High-k Fluoropolymer Gate Dielectric in Electrically Stable Organic Field-Effect Transistors. ACS Appl. Mater. Interfaces 2019, 11, 15821–15828. [Google Scholar] [CrossRef]
- Xu, B.; Dogan, T.; Wilbers, J.G.E.; de Jong, M.P.; Bobbert, P.A.; van der Wiel, W.G. Fabrication, electrical characterization and device simulation of vertical P3HT field-effect transistors. J. Sci. Adv. Mater. Devices 2017, 2, 501–514. [Google Scholar] [CrossRef]
- Seo, J.; Oh, S.; Choi, G.; Choi, H.H.; Lee, H.S. Polymeric Conformation of Organic Interlayers as a Determining Parameter for the Charge Transport of Organic Field-Effect Transistors. Macromol. Res. 2020, 28, 670–676. [Google Scholar] [CrossRef]
- Kwon, H.-J.; Gao, C.Y.; Tang, X.; Hong, J.; Park, C.E.; Kong, H.; Kim, S.H.; Yang, H. Comparison of semiconductor growth and charge transport on hydrophobic polymer dielectrics of organic field-effect transistors: Cytop vs. polystyrene. Org. Electron. 2020, 77, 105485. [Google Scholar] [CrossRef]
- Pei, K.; Chen, M.; Zhou, Z.; Li, H.; Chan, P.K.L. Overestimation of Carrier Mobility in Organic Thin Film Transistors Due to Unaccounted Fringe Currents. ACS Appl. Electron. Mater. 2019, 1, 379–388. [Google Scholar] [CrossRef]
- Hofmockel, R.; Zschieschang, U.; Kraft, U.; Rödel, R.; Hansen, N.H.; Stolte, M.; Würthner, F.; Takimiya, K.; Kern, K.; Pflaum, J.; et al. High-mobility organic thin-film transistors based on a small-molecule semiconductor deposited in vacuum and by solution shearing. Org. Electron. 2013, 14, 3213–3221. [Google Scholar] [CrossRef]
- Kojima, H.; Abe, R.; Fujiwara, F.; Nakagawa, M.; Takahashi, K.; Kuzuhara, D.; Yamada, H.; Yakiyama, Y.; Sakurai, H.; Yamamoto, T.; et al. Universality of the giant Seebeck effect in organic small molecules. Mater. Chem. Front. 2018, 2, 1276–1283. [Google Scholar] [CrossRef]
- Jeong, Y.J.; Yun, D.-J.; Nam, S.; Jang, J. Enhanced gate-bias stress stability of organic field-effect transistors by introducing a fluorinated polymer in semiconductor/insulator ternary blends. Appl. Surf. Sci. 2019, 481, 642–648. [Google Scholar] [CrossRef]
- Liu, C.; Xu, Y.; Li, Y.; Scheideler, W.; Minari, T. Critical Impact of Gate Dielectric Interfaces on the Contact Resistance of High-Performance Organic Field-Effect Transistors. J. Phys. Chem. C 2013, 117, 12337–12345. [Google Scholar] [CrossRef]
- Sim, K.; Rao, Z.; Kim, H.-J.; Thukral, A.; Shim, H.; Yu, C. Fully rubbery integrated electronics from high effective mobility intrinsically stretchable semiconductors. Sci. Adv. 2019, 5, eaav5749. [Google Scholar] [CrossRef] [PubMed] [Green Version]
- Tang, X.; Murali, G.; Lee, H.; Park, S.; Lee, S.; Oh, S.M.; Lee, J.; Ko, T.Y.; Koo, C.M.; Jeong, Y.J.; et al. Engineering Aggregation-Resistant MXene Nanosheets As Highly Conductive and Stable Inks for All-Printed Electronics. Adv. Funct. Mater. 2021, 31, 2010897. [Google Scholar] [CrossRef]
- Lee, D.; Yoon, J.; Lee, J.; Lee, B.-H.; Seol, M.-L.; Bae, H.; Jeon, S.-B.; Seong, H.; Im, S.G.; Choi, S.-J.; et al. Logic circuits composed of flexible carbon nanotube thin-film transistor and ultra-thin polymer gate dielectric. Sci. Rep. 2016, 6, 26121. [Google Scholar] [CrossRef] [PubMed] [Green Version]
- Lai, S.; Casula, G.; Ricci, P.C.; Cosseddu, P.; Bonfiglio, A. All-Organic, Low Voltage, Transparent and Compliant Organic Field-Effect Transistor Fabricated by Means of Large-Area, Cost-Effective Techniques. Appl. Sci. 2020, 10, 6656. [Google Scholar] [CrossRef]






Publisher’s Note: MDPI stays neutral with regard to jurisdictional claims in published maps and institutional affiliations. |
© 2021 by the authors. Licensee MDPI, Basel, Switzerland. This article is an open access article distributed under the terms and conditions of the Creative Commons Attribution (CC BY) license (https://creativecommons.org/licenses/by/4.0/).
Share and Cite
Wang, R.; Lee, J.; Hong, J.; Kwon, H.-j.; Ye, H.; Park, J.; Park, C.E.; Kim, J.H.; Choi, H.H.; Eom, K.; et al. Mass-Synthesized Solution-Processable Polyimide Gate Dielectrics for Electrically Stable Operating OFETs and Integrated Circuits. Polymers 2021, 13, 3715. https://doi.org/10.3390/polym13213715
Wang R, Lee J, Hong J, Kwon H-j, Ye H, Park J, Park CE, Kim JH, Choi HH, Eom K, et al. Mass-Synthesized Solution-Processable Polyimide Gate Dielectrics for Electrically Stable Operating OFETs and Integrated Circuits. Polymers. 2021; 13(21):3715. https://doi.org/10.3390/polym13213715
Chicago/Turabian StyleWang, Rixuan, Joonjung Lee, Jisu Hong, Hyeok-jin Kwon, Heqing Ye, Juhyun Park, Chan Eon Park, Joon Ho Kim, Hyun Ho Choi, Kyuyoung Eom, and et al. 2021. "Mass-Synthesized Solution-Processable Polyimide Gate Dielectrics for Electrically Stable Operating OFETs and Integrated Circuits" Polymers 13, no. 21: 3715. https://doi.org/10.3390/polym13213715
APA StyleWang, R., Lee, J., Hong, J., Kwon, H.-j., Ye, H., Park, J., Park, C. E., Kim, J. H., Choi, H. H., Eom, K., & Kim, S. H. (2021). Mass-Synthesized Solution-Processable Polyimide Gate Dielectrics for Electrically Stable Operating OFETs and Integrated Circuits. Polymers, 13(21), 3715. https://doi.org/10.3390/polym13213715

