Systematic Evaluation of a Novel Self-Healing Poly(acrylamide-co-vinyl acetate)/Alginate Polymer Gel for Fluid Flow Control in High Temperature and High Salinity Reservoirs
Abstract
:1. Introduction
2. Experimental
2.1. Materials
2.2. Preparation of Alg-IPNG Particles and Structural Study
2.3. Self-Healing and Rheological Study
2.4. Thermal Stability Evaluation
3. Results and Discussions
3.1. Synthesis of Alg-IPNG Gels
3.2. Water Uptake and Reinforcement of the Alg-IPNG Gel Particles
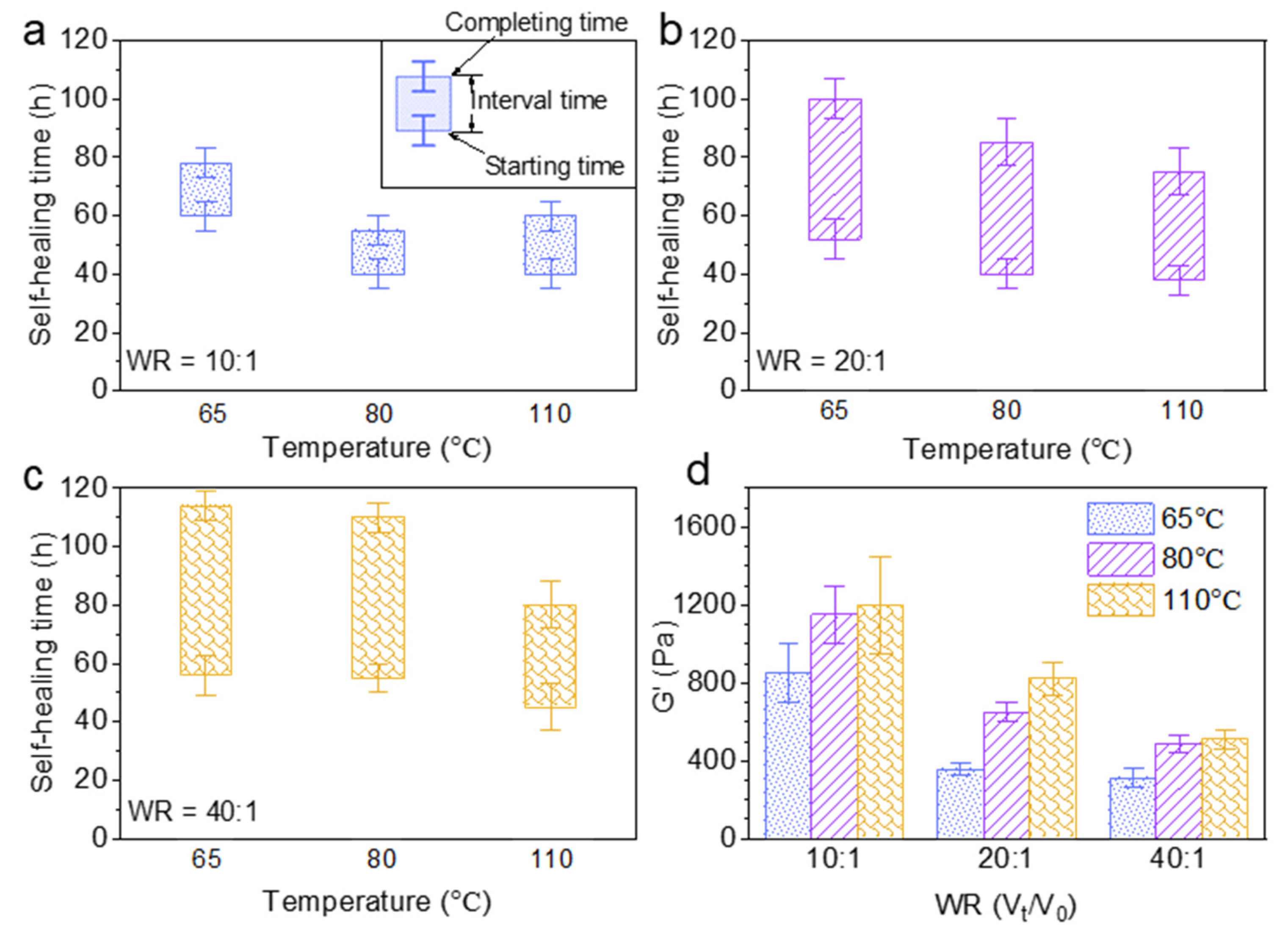
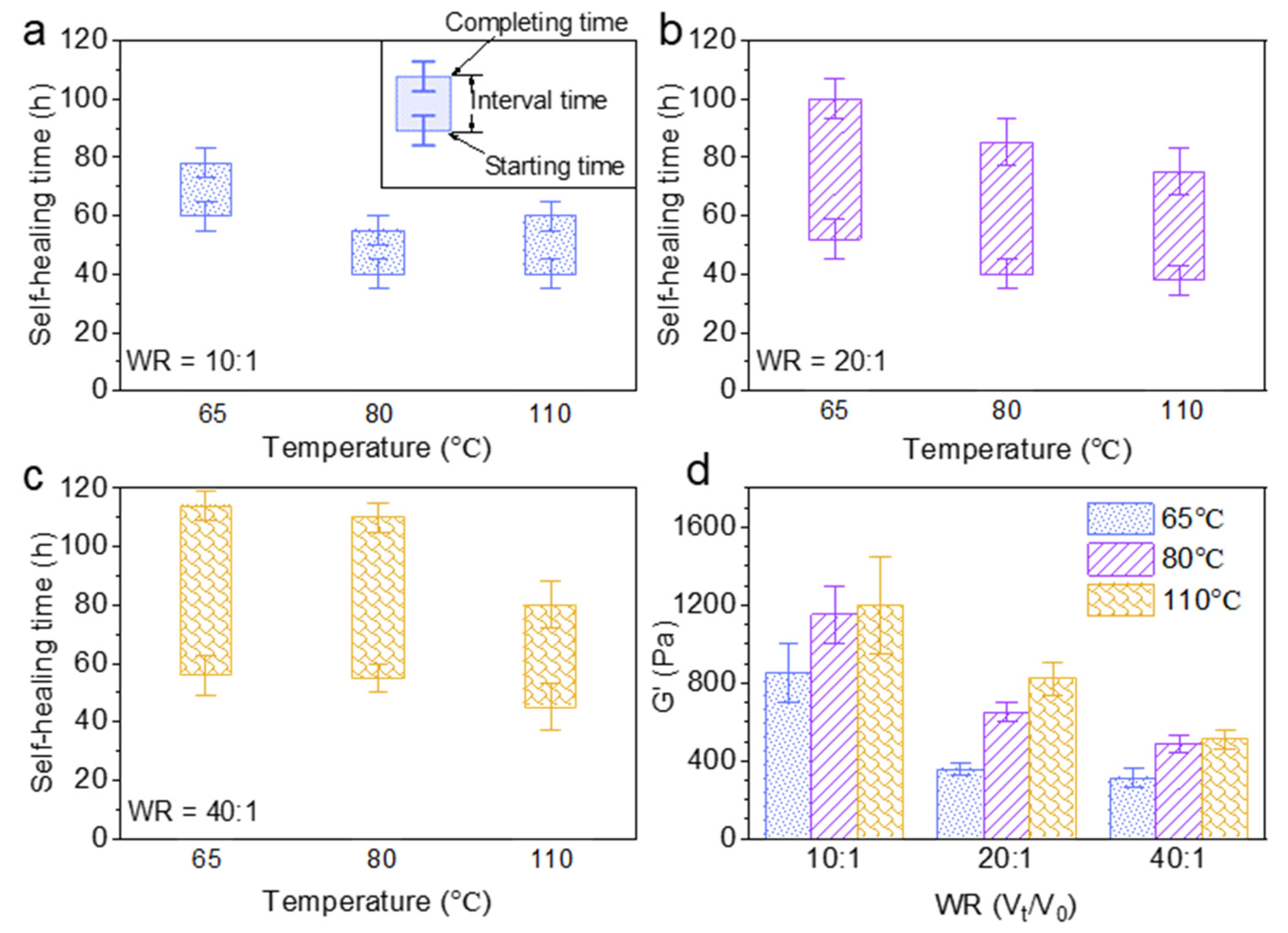
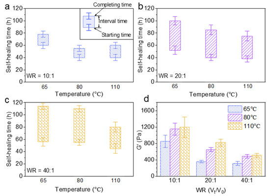
3.3. Self-Healing Behavior of Swollen Alg-IPNG Particle
3.4. Thermal Stability of the Self-Healed Alg-IPNG
4. Conclusions
Author Contributions
Funding
Institutional Review Board Statement
Informed Consent Statement
Data Availability Statement
Conflicts of Interest
References
- Nayak, A.K.; Das, B. Introduction to polymeric gels. In Polymeric Gels; Pal, K., Banerjee, I., Eds.; Woodhead Publishing: Cambridge, UK, 2018; pp. 3–27. [Google Scholar]
 - Bai, B.; Liu, Y.; Coste, J.-P.; Li, L. Preformed particle gel for conformance control: Transport mechanism through porous media. SPE Reserv. Eval. Eng. 2007, 10, 176–184. [Google Scholar] [CrossRef] [Green Version]
 - Zhang, H.; Bai, B. Preformed-Particle-Gel Transport Through Open Fractures and Its Effect on Water Flow. SPE J. 2011, 16, 388–400. [Google Scholar] [CrossRef]
 - Bai, Z.; Zhang, Z.; Li, J.; Guo, J. Textile-based triboelectric nanogenerators with high-performance via optimized functional elastomer composited tribomaterials as wearable power source. Nano Energy 2019, 65. [Google Scholar] [CrossRef]
 - Xu, D.; Wang, W.; Zheng, Y.; Tian, S.; Chen, Y.; Lu, Z.; Wang, Y.; Liu, K.; Wang, D. Graft Copolymer Elastomers with Polar Polyacrylonitrile as Semicrystalline Side Chains: Excellent Toughness and Healability. Macromolecules 2020, 53, 8928–8939. [Google Scholar] [CrossRef]
 - Molloy, P.; Smith, M.; Cowling, M. The effects of salinity and temperature on the behaviour of polyacrylamide gels. Mater. Des. 2000, 21, 169–174. [Google Scholar] [CrossRef]
 - Pu, J.; Bai, B.; Alhuraishawy, A.; Thomas, S.; Chen, Y.; Sun, X. A Novel Re-Assembly Preformed Polymer Particle Gel RPPG and Re-Assembling Characteristics under Extreme Heterogeneous Reservoir Conditions. In SPE Annual Technical Conference and Exhibition; Society of Petroleum Engineers: Richardson, TX, USA, 2018. [Google Scholar]
 - Enick, R.M.; Olsen, D.K.; Ammer, J.R.; Schuller, W. Mobility and Conformance Control for CO2 EOR via Thickeners, Foams, and Gels—A Literature Review of 40 Years of Research and Pilot Tests. In SPE Improved Oil Recovery Symposium; OnePetro: Richardson, TX, USA, 2012. [Google Scholar] [CrossRef]
 - Guo, H.; Han, Y.; Zhao, W.; Yang, J.; Zhang, L. Universally autonomous self-healing elastomer with high stretchability. Nat. Commun. 2020, 11, 1–9. [Google Scholar] [CrossRef]
 - Liang, Z.; Huang, D.; Zhao, L.; Nie, Y.; Zhou, Z.; Hao, T.; Li, S. Self-healing Polyurethane Elastomer Based on Molecular Design: Combination of Reversible Hydrogen Bonds and High Segment Mobility. J. Inorg. Organomet. Polym. Mater. 2021, 31, 683–694. [Google Scholar] [CrossRef]
 - White, S.R.; Sottos, N.; Geubelle, P.; Moore, J.; Kessler, M.R.; Sriram, S.R.; Brown, E.N.; Viswanathan, S. Autonomic healing of polymer composites. Nature 2001, 409, 794–797. [Google Scholar] [CrossRef] [PubMed]
 - Ghosh, B.; Urban, M.W. Self-Repairing Oxetane-Substituted Chitosan Polyurethane Networks. Science 2009, 323, 1458–1460. [Google Scholar] [CrossRef]
 - Matricardi, P.; Di Meo, C.; Coviello, T.; Hennink, W.E.; Alhaique, F. Interpenetrating Polymer Networks polysaccharide hydrogels for drug delivery and tissue engineering. Adv. Drug Deliv. Rev. 2013, 65, 1172–1187. [Google Scholar] [CrossRef]
 - Kirchmajer, D.M.; Iii, R.G.; Panhuis, M.I.H. An overview of the suitability of hydrogel-forming polymers for extrusion-based 3D-printing. J. Mater. Chem. B 2015, 3, 4105–4117. [Google Scholar] [CrossRef]
 - Bai, C.; Huang, Q.; Zhang, X.; Xiong, X. Mechanical Strengths of Hydrogels of Poly (N, N-Dimethylacrylamide)/Alginate with IPN and of Poly (N, N-Dimethylacrylamide)/Chitosan with Semi-IPN Microstructures. Macromol. Mater. Eng. 2019, 304, 1900309. [Google Scholar] [CrossRef]
 - Henderson, K.J.; Zhou, T.C.; Otim, K.J.; Shull, K.R. Ionically Cross-Linked Triblock Copolymer Hydrogels with High Strength. Macromolecules 2010, 43, 6193–6201. [Google Scholar] [CrossRef]
 - Bertagnolli, C.; da Silva, M.G.C.; Guibal, E. Chromium biosorption using the residue of alginate extraction from Sargassum filipendula. Chem. Eng. J. 2014, 237, 362–371. [Google Scholar] [CrossRef]
 - Li, P.; Zhang, J.; Wang, A. A NovelN-Succinylchitosan-graft-Polyacrylamide/Attapulgite Composite Hydrogel Prepared through Inverse Suspension Polymerization. Macromol. Mater. Eng. 2007, 292, 962–969. [Google Scholar] [CrossRef]
 - Pu, J.; Gu, X.; Luo, M.; Bai, Y. Polyelectrolyte complex induced Stimuli-responsive Self-association and reinforcement of interpenetrated Poly(acrylamide-co-vinyl acetate)/alginate particles for fossil energy recovery. J. Mol. Liq. 2021, 343, 117596. [Google Scholar] [CrossRef]
 - Pu, J.; Geng, J.; Bai, B. Effect of the chromium ion diffusion in polyacrylamide/chromium acetate gelation system with surrounding water on gelation behavior. J. Pet. Sci. Eng. 2018, 171, 1067–1076. [Google Scholar] [CrossRef]
 - Gales, J.; Young, T.-S.; Willhite, G.; Green, D. Equilibrium Swelling and Syneresis Properties of Xanthan Gum-Cr(III) Gels. SPE Adv. Technol. Ser. 1994, 2, 190–198. [Google Scholar] [CrossRef]
 - Kavanagh, G.M.; Ross-Murphy, S.B. Rheological characterisation of polymer gels. Prog. Polym. Sci. 1998, 23, 533–562. [Google Scholar] [CrossRef]
 - Pu, J.; Bai, B.; Alhuraishawy, A.; Schuman, T.; Chen, Y.; Sun, X. A Recrosslinkable Preformed Particle Gel for Conformance Control in Heterogeneous Reservoirs Containing Linear-Flow Features. SPE J. 2019, 24, 1714–1725. [Google Scholar] [CrossRef]
 - Yang, Y.; Zhu, H.; Tsai, Y.-T.; Bai, L.; Deng, J. Study on the Thermal Stability of Thermosensitive Hydrogel. Procedia Eng. 2016, 135, 501–509. [Google Scholar] [CrossRef] [Green Version]
 - Lin, W.; Zhou, Y.; Zhao, Y.; Zhu, A.Q.; Wu, C. Cr3+/COO- Complexation Induced Aggregation of Gelatin in Dilute Solution. Macromolecules 2002, 35, 7407–7413. [Google Scholar] [CrossRef]
 - Don, T.-M.; King, C.-F.; Chiu, W.-Y. Preparation of Chitosan-graft-poly(vinyl acetate) Copolymers and Their Adsorption of Copper Ion. Polym. J. 2002, 34, 418–425. [Google Scholar] [CrossRef] [Green Version]
 - Tackett, J.E. Characterization of Chromium(III) Acetate in Aqueous Solution. Appl. Spectrosc. 1989, 43, 490–499. [Google Scholar] [CrossRef]
 - Pu, J.; Geng, J.; Han, P.; Bai, B. Preparation and salt-insensitive behavior study of swellable, Cr3+-embedded microgels for water management. J. Mol. Liq. 2019, 273, 551–558. [Google Scholar] [CrossRef]
 - Yang, C.H.; Wang, M.X.; Haider, H.; Yang, J.H.; Sun, J.-Y.; Chen, Y.M.; Zhou, J.; Suo, Z. Strengthening alginate/polyacrylamide hydrogels using various multivalent cations. ACS Appl. Mater. Interfaces 2013, 5, 10418–10422. [Google Scholar] [CrossRef] [PubMed]
 - Jain, R.; McCool, C.S.; Green, D.W.; Willhite, G.P.; Michnick, M.J. Reaction Kinetics of the Uptake of Chromium (III) Acetate by Polyacrylamide. SPE J. 2005, 10, 247–255. [Google Scholar] [CrossRef]
 - Jørgensen, T.E.; Sletmoen, M.; Draget, A.K.I.; Stokke, B.T. Influence of Oligoguluronates on Alginate Gelation, Kinetics, and Polymer Organization. Biomacromolecules 2007, 8, 2388–2397. [Google Scholar] [CrossRef]
 - Wang, L.; Long, Y.; Ding, H.; Geng, J.; Bai, B. Mechanically robust re-crosslinkable polymeric hydrogels for water management of void space conduits containing reservoirs. Chem. Eng. J. 2017, 317, 952–960. [Google Scholar] [CrossRef] [Green Version]
 - Targac, G.; Gallo, C.; Smith, D.; Huang, C.-K.; Autry, S.; Peirce, J.; Baohong, L. Case History of Conformance Solutions for West Sak Wormhole/Void Space Conduit with a New Reassembling Pre-formed Particle Gel RPPG. In SPE Improved Oil Recovery Symposium; OnePetro: Richardson, TX, USA, 2020. [Google Scholar]
 - Aldhaheri, M.; Wei, M.; Zhang, N.; Bai, B. A Novel Survey of Bulk Gel Treatment Designs in Injection Wells-Part I: Gel Strength. In Offshore Technology Conference; OnePetro: Richardson, TX, USA, 2018. [Google Scholar]
 






Publisher’s Note: MDPI stays neutral with regard to jurisdictional claims in published maps and institutional affiliations.  | 
© 2021 by the authors. Licensee MDPI, Basel, Switzerland. This article is an open access article distributed under the terms and conditions of the Creative Commons Attribution (CC BY) license (https://creativecommons.org/licenses/by/4.0/).
Share and Cite
Pu, J.; Bai, B.; Schuman, T.P. Systematic Evaluation of a Novel Self-Healing Poly(acrylamide-co-vinyl acetate)/Alginate Polymer Gel for Fluid Flow Control in High Temperature and High Salinity Reservoirs. Polymers 2021, 13, 3616. https://doi.org/10.3390/polym13213616
Pu J, Bai B, Schuman TP. Systematic Evaluation of a Novel Self-Healing Poly(acrylamide-co-vinyl acetate)/Alginate Polymer Gel for Fluid Flow Control in High Temperature and High Salinity Reservoirs. Polymers. 2021; 13(21):3616. https://doi.org/10.3390/polym13213616
Chicago/Turabian StylePu, Jingyang, Baojun Bai, and Thomas P. Schuman. 2021. "Systematic Evaluation of a Novel Self-Healing Poly(acrylamide-co-vinyl acetate)/Alginate Polymer Gel for Fluid Flow Control in High Temperature and High Salinity Reservoirs" Polymers 13, no. 21: 3616. https://doi.org/10.3390/polym13213616
APA StylePu, J., Bai, B., & Schuman, T. P. (2021). Systematic Evaluation of a Novel Self-Healing Poly(acrylamide-co-vinyl acetate)/Alginate Polymer Gel for Fluid Flow Control in High Temperature and High Salinity Reservoirs. Polymers, 13(21), 3616. https://doi.org/10.3390/polym13213616
        
                                                
