Polymer Networks for Enrichment of Calcium Ions
Abstract
:1. Introduction
2. Materials and Methods
2.1. Materials
2.2. Preparation of In Situ Swollen Free-Standing Solvogels
2.3. Methods
2.3.1. Quantitative Analysis of the Soluble Contents in the Gel Samples
2.3.2. In Situ ATR-FTIR Spectroscopy
2.3.3. Photorheology
2.3.4. Solid State NMR Spectroscopy
2.3.5. Scanning Electron Microscopy (SEM)
2.3.6. Titration of Swollen Networks
2.3.7. Energy-Dispersive X-ray Spectroscopy (EDX)
2.3.8. Wide-Angle X-ray Scattering (WAXS)
3. Results and Discussion
3.1. Influence of Reaction Conditions on the Solvogel Composition
3.2. Determination of the Crosslinker Content Necessary to Form Macroscopic Gels
3.3. Photorheological Monitoring of Network Formation
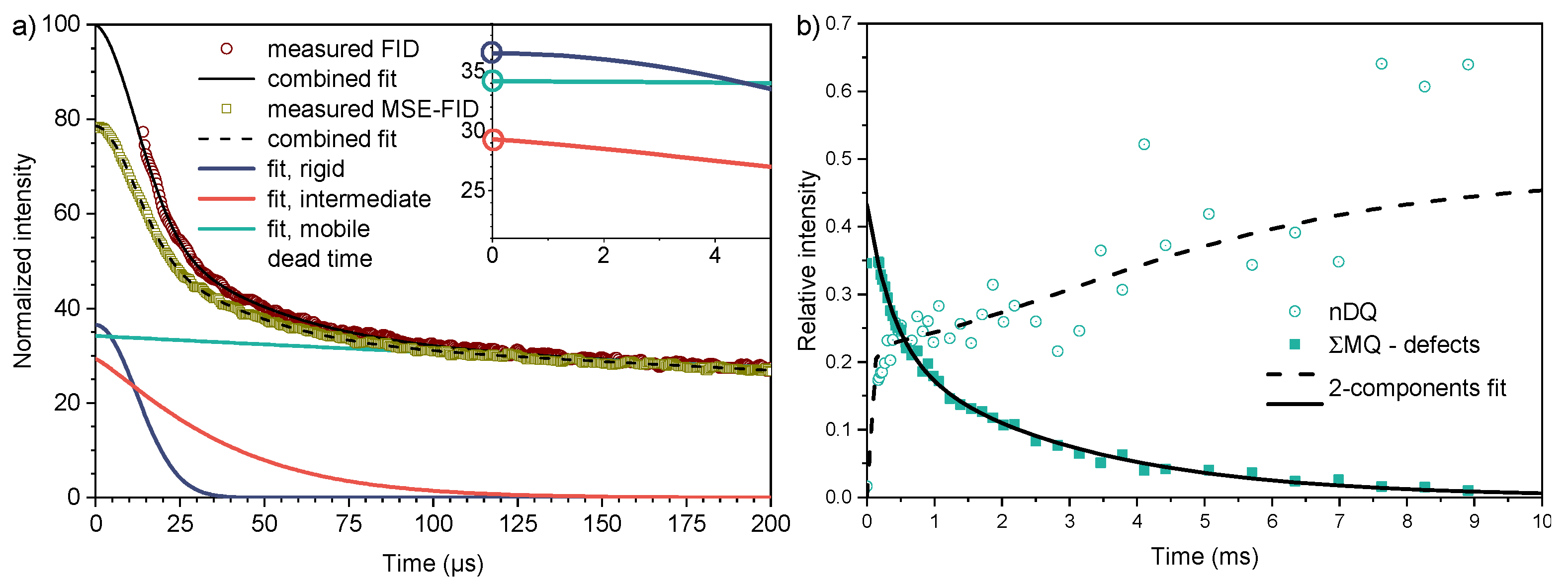
3.4. Characterization of the Polymer Network Microstructure by Solid State NMR
3.5. Polymer Network Morphology Examined by SEM
3.6. Buffering Behavior of the Polymer Networks
3.7. Determination of Calcium Enrichment in the Swollen Gels
4. Conclusions
Supplementary Materials
Author Contributions
Funding
Institutional Review Board Statement
Informed Consent Statement
Data Availability Statement
Acknowledgments
Conflicts of Interest
References
- Sagle, A.C.; Ju, H.; Freeman, B.D.; Sharma, M.M. PEG-based hydrogel membrane coatings. Polymer 2009, 50, 756–766. [Google Scholar] [CrossRef]
- Ju, H.; McCloskey, B.D.; Sagle, A.C.; Kusuma, V.A.; Freeman, B.D. Preparation and characterization of crosslinked poly(ethylene glycol) diacrylate hydrogels as fouling-resistant membrane coating materials. J. Membr. Sci. 2009, 330, 180–188. [Google Scholar] [CrossRef]
- Hoy, O.; Zdyrko, B.; Lupitskyy, R.; Sheparovych, R.; Aulich, D.; Wang, J.; Bittrich, E.; Eichhorn, K.J.; Uhlmann, P.; Hinrichs, K.; et al. Synthetic hydrophilic materials with tunable strength and a range of hydrophobic interactions. Adv. Funct. Mater. 2010, 20, 2240–2247. [Google Scholar] [CrossRef]
- Welzel, P.B.; Prokoph, S.; Zieris, A.; Grimmer, M.; Zschoche, S.; Freudenberg, U.; Werner, C. Modulating Biofunctional starPEG Heparin Hydrogels by Varying Size and Ratio of the Constituents. Polymers 2011, 3, 602–620. [Google Scholar] [CrossRef] [Green Version]
- Caló, E.; Khutoryanskiy, V.V. Biomedical applications of hydrogels: A review of patents and commercial products. Eur. Polym. J. 2015, 65, 252–267. [Google Scholar] [CrossRef] [Green Version]
- Wöhl-Bruhn, S.; Bertz, A.; Harling, S.; Menzel, H.; Bunjes, H. Hydroxyethyl starch-based polymers for the controlled release of biomacromolecules from hydrogel microspheres. Eur. J. Pharm. Biopharm. 2012, 81, 573–581. [Google Scholar] [CrossRef] [PubMed]
- Betancourt, T.; Pardo, J.; Soo, K.; Peppas, N.A. Characterization of pH-responsive hydrogels of poly(itaconic acid-g-ethylene glycol) prepared by UV-initiated free radical polymerization as biomaterials for oral delivery of bioactive agents. J. Biomed. Mater. Res.—Part A 2010, 93, 175–188. [Google Scholar] [CrossRef] [Green Version]
- Majcher, M.J.; Hoare, T. Applications of Hydrogels. In Functional Biopolymers. Polymers and Polymeric Composites: A Reference Series; Jafar, M.M., Sheardown, H., Al-Ahmed, A., Eds.; Springer: Berlin/Heidelberg, Germany, 2019; pp. 453–490. ISBN 9783319959900. [Google Scholar]
- Moszner, N.; Zeuner, F.; Angermann, J.; Fischer, U.K.; Rheinberger, V. Monomers for adhesive polymers, 4. Synthesis and radical polymerization of hydrolytically stable crosslinking monomers. Macromol. Mater. Eng. 2003, 288, 621–628. [Google Scholar] [CrossRef]
- Moszner, N.; Fischer, U.K.; Angermann, J.; Rheinberger, V. Bis-(acrylamide)s as new cross-linkers for resin-based composite restoratives. Dent. Mater. 2006, 22, 1157–1162. [Google Scholar] [CrossRef]
- Pavlinec, J.; Kleinova, A.; Angermann, J.; Lamparth, I.; Moszner, N. Monomers for adhesive polymers, 12. Synthesis and free-radical homo- and copolymerization of 2-ethoxycarbonylallyl 5-(1,2-dithiolane-3-yl)-pentanoate. Macromol. Mater. Eng. 2013, 298, 1220–1231. [Google Scholar] [CrossRef]
- Catel, Y.; Fischer, U.K.; Moszner, N. Monomers for adhesive polymers, 13. Synthesis, radical photopolymerization and adhesive properties of polymerizable 2-substituted 1,3-propylidenediphosphonic acids. Des. Monomers Polym. 2014, 17, 286–299. [Google Scholar] [CrossRef] [Green Version]
- Lamparth, I.; Fischer, U.K.; Pavlinec, J.; Kleinova, A.; Moszner, N. Monomers for adhesive polymers, 14. Synthesis and radical polymerization of 4-[11-(acryloyl-methyl-amino)-undecyloxy]-phthalic acid and {10-[1,3- bis(methacrylamido)-propoxy]-decyloxy}-phthalic acid. Macromol. Mater. Eng. 2014, 299, 834–842. [Google Scholar] [CrossRef]
- Moszner, N.; Salz, U.; Zimmermann, J. Chemical aspects of self-etching enamel-dentin adhesives: A systematic review. Dent. Mater. 2005, 21, 895–910. [Google Scholar] [CrossRef] [PubMed]
- Moszner, N.; Salz, U. Recent developments of new components for dental adhesives and composites. Macromol. Mater. Eng. 2007, 292, 245–271. [Google Scholar] [CrossRef]
- Moszner, N.; Salz, U. New developments of polymeric dental composites. Prog. Polym. Sci. 2001, 26, 535–576. [Google Scholar] [CrossRef]
- Moszner, N.; Zeuner, F.; Fischer, U.K.; Rheinberger, V. Monomers for adhesive polymers, 2. Synthesis and radical polymerisation of hydrolytically stable acrylic phosphonic acids. Macromol. Chem. Phys. 1999, 200, 1062–1067. [Google Scholar] [CrossRef]
- Moszner, N.; Pavlinec, J.; Angermann, J. Monomers for adhesive polymers, 7. Solution and bulk polymerization of N-(2-hydroxyethylmethyl)acrylamide and copolymerization with N,N′-diethyl-1,3-bis(acrylamido)propane. Macromol. Chem. Phys. 2007, 208, 529–540. [Google Scholar] [CrossRef]
- Moszner, N.; Zeuner, F.; Rheinberger, V. Synthesis and radical polymerization of hydrolytically stable dentin bonding agents. Macromol. Symp. 2001, 175, 133–139. [Google Scholar] [CrossRef]
- Salz, U.; Zimmermann, J.; Zeuner, F.; Moszner, N. Hydrolytic stability of self-etching adhesive systems. J. Adhes. Dent. 2005, 7, 107–116. [Google Scholar] [CrossRef]
- Osada, Y.; Kajiwara, K.; Fushimi, T.; Irasa, O.; Hirokawa, Y.; Matsunaga, T.; Shimomura, T.; Wang, L.; Ishida, H. Gel compound data index. In Gels Handbook; Elsevier: Amsterdam, The Netherlands, 2001; pp. 75–154. ISBN 978-0-12-394690-4. [Google Scholar]
- Salz, U.; Mücke, A.; Zimmermann, J.; Tay, F.; Pashley, D.H. pKa value and buffering capacity of acidic monomers commonly used in self-etching primers. J. Adhes. Dent. 2006, 8, 143–150. [Google Scholar]
- Dalas, E.; Kallitsis, J.K.; Koutsoukos, P.G. Crystallization of Hydroxyapatite on Polymers. Langmuir 1991, 7, 1822–1826. [Google Scholar] [CrossRef]
- Heinze, M.; Starke, S.; Händler, M.; Komber, H.; Drache, M.; Moszner, N.; Voit, B.; Pospiech, D. Combination of nuclear magnetic resonance spectroscopy and nonlinear methods to analyze the copolymerization of phosphonic acid derivatives. J. Appl. Polym. Sci. 2019, 136, 48256. [Google Scholar] [CrossRef]
- Horn, C.; Pospiech, D.; Allertz, P.J.; Müller, M.; Salchert, K.; Hommel, R. Chemical Design of Hydrogels with Immobilized Laccase for the Reduction of Persistent Trace Compounds in Wastewater. ACS Appl. Polym. Mater. 2021, 3, 2823–2834. [Google Scholar] [CrossRef]
- Moszner, N. New monomers for dental application. Macromol. Symp. 2004, 217, 63–75. [Google Scholar] [CrossRef]
- Müller, M.; Rieser, T.; Lunkwitz, K.; Meier-Haack, J. Polyelectrolyte complex layers: A promising concept for antifouling coatings verified by in-situ ATR-FTIR spectroscopy. Macromol. Rapid Commun. 1999, 20, 607–611. [Google Scholar] [CrossRef]
- Gorsche, C.; Harikrishna, R.; Baudis, S.; Knaack, P.; Husar, B.; Laeuger, J.; Hoffmann, H.; Liska, R. Real Time-NIR/MIR-Photorheology: A Versatile Tool for the in Situ Characterization of Photopolymerization Reactions. Anal. Chem. 2017, 89, 4958–4968. [Google Scholar] [CrossRef]
- Arndt, K.F. Polymercharakterisierung; Carl Hanser Verlag: München, Germany, 1996; ISBN 978-3-446-17588-4. [Google Scholar]
- Treloar, L.R.G. The Physics of Rubber Elasticity, 3rd ed.; Clarendon Press: Oxford, UK, 1975; ISBN 0198570279. [Google Scholar]
- Nandi, S.; Winter, H.H. Swelling behavior of partially cross-linked polymers: A ternary system. Macromolecules 2005, 38, 4447–4455. [Google Scholar] [CrossRef] [Green Version]
- Schäler, K.; Roos, M.; Micke, P.; Golitsyn, Y.; Seidlitz, A.; Thurn-Albrecht, T.; Schneider, H.; Hempel, G.; Saalwächter, K. Basic principles of static proton low-resolution spin diffusion NMR in nanophase-separated materials with mobility contrast. Solid State Nucl. Magn. Reson. 2015, 72, 50–63. [Google Scholar] [CrossRef]
- Baum, J.; Pines, A. NMR Studies of Clustering in Solids. J. Am. Chem. Soc. 1986, 108, 7447–7454. [Google Scholar] [CrossRef] [Green Version]
- Saalwächter, K.; Gottlieb, M.; Liu, R.; Oppermann, W. Gelation as studied by proton multiple-quantum NMR. Macromolecules 2007, 40, 1555–1561. [Google Scholar] [CrossRef] [Green Version]
- Jakisch, L.; Garaleh, M.; Schäfer, M.; Mordvinkin, A.; Saalwächter, K.; Böhme, F. Synthesis and Structural NMR Characterization of Novel PPG/PCL Conetworks Based upon Heterocomplementary Coupling Reactions. Macromol. Chem. Phys. 2018, 219, 1–9. [Google Scholar] [CrossRef]
- McNaught, A.D.; Wilkinson, A.; Jenkins, A.D. IUPAC Compendium of Chemical Terminology: The Gold Book; 2.3.3; International Union of Pure and Applied Chemistry: Research Triangle Park, NC, USA, 2014; ISBN 0865426848. [Google Scholar]
- Helfferich, F.G. Ion Exchange; Dover Publications: New York, NY, USA, 1995; ISBN 0486687848. [Google Scholar]
- Donnan, F.G. The theory of membrane equilibria. Chem. Rev. 1924, 1, 73–90. [Google Scholar] [CrossRef]
- Horta, A.; Molina, M.J.; Gómez-Antón, M.R.; Piérola, I.F. The pH inside a swollen polyelectrolyte gel: Poly(N-vinylimidazole). J. Phys. Chem. B 2008, 112, 10123–10129. [Google Scholar] [CrossRef] [PubMed]
- Honda, M. Study on the Relation between pH of Ion Exchange Resin Phase and the Composition of Solution at Equilibrium. J. Am. Chem. Soc. 1951, 73, 2943–2944. [Google Scholar] [CrossRef]
- Frueh, J.; Gai, M.; Halstead, S.; He, Q. Structure and Thermodynamics of Polyelectrolyte Complexes. In Polyelectrolytes; Springer: Hoboken, NJ, USA, 2014; pp. 19–86. [Google Scholar]
- Ou, Z.; Muthukumar, M. Langevin dynamics of semiflexible polyelectrolytes: Rod-toroid-globule-coil structures and counterion distribution. J. Chem. Phys. 2005, 123, 074905. [Google Scholar] [CrossRef]
- Furuichi, K.; Oaki, Y.; Ichimiya, H.; Komotori, J.; Imai, H. Preparation of hierarchically organized calcium phosphate-organic polymer composites by calcification of hydrogel. Sci. Technol. Adv. Mater. 2006, 7, 219–225. [Google Scholar] [CrossRef]
- Zhang, L.; Song, S.I.; Zheng, S.; Yu, S.J.; Kim, K.H.; Suh, H.; Kim, I. Nontoxic poly(ethylene oxide phosphonamidate) hydrogels as templates for biomimetic mineralization of calcium carbonate and hydroxyapatite architectures. J. Mater. Sci. 2013, 48, 288–298. [Google Scholar] [CrossRef]
- Yokoi, T.; Kawashita, M.; Kawachi, G.; Kikuta, K.; Ohtsuki, C. Synthesis of calcium phosphate crystals in a silica hydrogel containing phosphate ions. J. Mater. Res. 2009, 24, 2154–2160. [Google Scholar] [CrossRef]
- Cao, Y.; Mei, M.L.; Li, Q.L.; Lo, E.C.M.; Chu, C.H. Agarose hydrogel biomimetic mineralization model for the regeneration of enamel prismlike tissue. ACS Appl. Mater. Interfaces 2014, 6, 410–420. [Google Scholar] [CrossRef]
- Gross, K.A.; Petzold, C.; Pluduma-Lafarge, L.; Kumermanis, M.; Haugen, H.J. Structural and chemical hierarchy in hydroxyapatite coatings. Materials 2020, 13, 4447. [Google Scholar] [CrossRef]













| Solvent | PG | EtOH/H2O (50/50) | EtOH/H2O (80/20) | EtOH | iPrOH | DMSO |
|---|---|---|---|---|---|---|
| Monomer (mol%) | 7.4 | 2.5 | 3.4 | 4.6 | 5.6 | 7.6 |
| Double bond conversion (%) after t | ||||||
| 5 min | 22 | 64 | 45 | 34 | 78 | 58 |
| 10 min | 22 | 85 | 58 | 39 | 82 | 75 |
| 15 min | 22 | 86 | 65 | 43 | 82 | 82 |
| Ratio of ECPA/BNEAA in Solution (wt.%) | Solvent | Mass Loss in Dialysis (wt.%) | Components in Dialysate | Ratio of ECPA/BNEAA in Network (wt.%) |
|---|---|---|---|---|
| 19.5/0.5 | PG | 5.3 | PG | 19.5/0.5 |
| 17.0/3.0 | EtOH/H2O (50/50) | 0.0 | - | 17.0/3.0 |
| 19.5/0.5 | iPrOH | 13.3 | ECPA, poly(ECPA) | 16.8/0.5 |
| 17.0/3.0 | DMSO | 0.0 | 17.0/3.0 |
| Ratio ECPA/BNEAA (wt.%/wt.%) | ||||||
|---|---|---|---|---|---|---|
| Solvent | 0/20 | 10/10 | 15/5 | 17/3 | 19/1 | 19.5/0.5 |
| Gelation time (s) | ||||||
| PG | (a) | 6.8 | 9.3 | 10.0 | 12.7 | 19.9 |
| EtOH/H2O (50/50) | (a) | 13.2 | 26.2 | 25.6 | (a) | (a) |
| EtOH/H2O (80/20) | 4.7 | 16.6 | 31.5 | (a) | (a) | (a) |
| iPrOH | (a) | 10.2 | (b) | (b) | (a) | (a) |
Publisher’s Note: MDPI stays neutral with regard to jurisdictional claims in published maps and institutional affiliations. |
© 2021 by the authors. Licensee MDPI, Basel, Switzerland. This article is an open access article distributed under the terms and conditions of the Creative Commons Attribution (CC BY) license (https://creativecommons.org/licenses/by/4.0/).
Share and Cite
Heinze, M.; Horn, C.; Pospiech, D.; Boldt, R.; Kobsch, O.; Eckstein, K.; Jehnichen, D.; Voit, B.; Baudis, S.; Liska, R.; et al. Polymer Networks for Enrichment of Calcium Ions. Polymers 2021, 13, 3506. https://doi.org/10.3390/polym13203506
Heinze M, Horn C, Pospiech D, Boldt R, Kobsch O, Eckstein K, Jehnichen D, Voit B, Baudis S, Liska R, et al. Polymer Networks for Enrichment of Calcium Ions. Polymers. 2021; 13(20):3506. https://doi.org/10.3390/polym13203506
Chicago/Turabian StyleHeinze, Marcus, Christoph Horn, Doris Pospiech, Regine Boldt, Oliver Kobsch, Kathrin Eckstein, Dieter Jehnichen, Brigitte Voit, Stefan Baudis, Robert Liska, and et al. 2021. "Polymer Networks for Enrichment of Calcium Ions" Polymers 13, no. 20: 3506. https://doi.org/10.3390/polym13203506
APA StyleHeinze, M., Horn, C., Pospiech, D., Boldt, R., Kobsch, O., Eckstein, K., Jehnichen, D., Voit, B., Baudis, S., Liska, R., Naumova, A., Saalwächter, K., Lendenmann, U., & Moszner, N. (2021). Polymer Networks for Enrichment of Calcium Ions. Polymers, 13(20), 3506. https://doi.org/10.3390/polym13203506

