Molecular Weight-Dependent Physical and Photovoltaic Properties of Poly(3-alkylthiophene)s with Butyl, Hexyl, and Octyl Side-Chains
Abstract
:1. Introduction
2. Materials and Methods
2.1. Materials
2.2. Measurements
2.3. General Method for the Synthesis of P3AT
2.3.1. Controlled MW P3BT Polymer
2.3.2. Controlled MW P3HT Polymer
2.3.3. Controlled MW P3OT Polymer
2.4. UV-Visible Absorption and Photoluminescence Studies
2.5. Fabrication and Characterization of Polymer Solar Cells
3. Results and Discussion
3.1. Synthesis and MW Distributions of P3AT
3.2. Physical Properties
3.2.1. Thermal Properties
3.2.2. Optical Properties
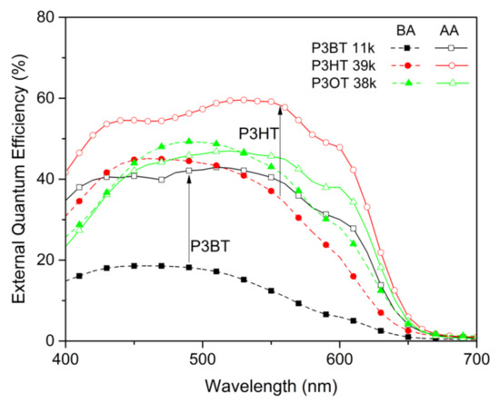
3.3. Electrical Properties
4. Conclusions
Supplementary Materials
Author Contributions
Funding
Acknowledgments
Conflicts of Interest
References
- Jadoun, S.; Riaz, U. Conjugated polymer light-emitting diodes. In Polymers for Light-Emitting Devices and Displays; Wiley-Scrivener: Beverly, MA, USA, 2020; pp. 77–98. [Google Scholar]
- Jhang, R.-X.; Chen, G.-L.; Raja, R.; Chen, P.-T.; Hayashi, M.; Rwei, S.-P.; Hsu, S.-h.; Wang, L. Difluoroterthiophene as promising block to build highly planar conjugated polymer for polymer photovoltaic cells. Dyes Pigments 2021, 188, 109206. [Google Scholar] [CrossRef]
- Dang, M.T.; Hirsch, L.; Wantz, G. P3HT: PCBM, best seller in polymer photovoltaic research. Adv. Mater. 2011, 23, 3597–3602. [Google Scholar] [CrossRef]
- Nurazzi, N.M.; Abdullah, N.; Demon, S.Z.N.; Halim, N.A.; Mohamad, I.S. The Influence of Reaction Time on Non-Covalent Functionalisation of P3HT/MWCNT Nanocomposites. Polymers 2021, 13, 1916. [Google Scholar] [CrossRef] [PubMed]
- Wang, Y.; Wang, T.; Chen, J.; Do Kim, H.; Gao, P.; Wang, B.; Iriguchi, R.; Ohkita, H. Quadrupolar D–A–D diketopyrrolopyrrole-based small molecule for ternary blend polymer solar cells. Dyes Pigments 2018, 158, 213–218. [Google Scholar] [CrossRef]
- Wang, Y.; Chen, J.; Kim, H.D.; Wang, B.; Iriguchi, R.; Ohkita, H. Ternary blend solar cells based on a conjugated polymer with diketopyrrolopyrrole and carbazole units. Front. Energy Res. 2018, 6, 113. [Google Scholar] [CrossRef]
- Wakayama, Y.; Hayakawa, R.; Higashiguchi, K.; Matsuda, K. Photochromism for optically functionalized organic field-effect transistors: A comprehensive review. J. Mater. Chem. C 2020, 8, 10956–10974. [Google Scholar] [CrossRef]
- Tang, W.; Huang, Y.; Han, L.; Liu, R.; Su, Y.; Guo, X.; Yan, F. Recent progress in printable organic field effect transistors. J. Mater. Chem. C 2019, 7, 790–808. [Google Scholar] [CrossRef]
- Osedach, T.P.; Andrew, T.L.; Bulović, V. Effect of synthetic accessibility on the commercial viability of organic photovoltaics. Energy Environ. Sci. 2013, 6, 711–718. [Google Scholar] [CrossRef]
- He, Z.; Zhang, Z.; Bi, S.; Chen, J. Effect of polymer molecular weight on morphology and charge transport of small-molecular organic semiconductors. Electron. Mater. Lett. 2020, 16, 441–450. [Google Scholar] [CrossRef]
- Kline, R.J.; McGehee, M.D.; Kadnikova, E.N.; Liu, J.; Frechet, J.M. Controlling the field-effect mobility of regioregular polythiophene by changing the molecular weight. Adv. Mater. 2003, 15, 1519–1522. [Google Scholar] [CrossRef]
- Jaglarz, J.; Małek, A.; Sanetra, J. Thermal Dependence of Optical Parameters of Thin Polythiophene Films Blended with PCBM. Polymers 2018, 10, 454. [Google Scholar] [CrossRef] [PubMed] [Green Version]
- Chevrier, M.; Kesters, J.; Houston, J.E.; Van den Brande, N.; Chambon, S.; Richeter, S.; Van Mele, B.; Arnold, T.; Mehdi, A.; Lazzaroni, R. Phosphonium-based polythiophene conjugated polyelectrolytes with different surfactant counterions: Thermal properties, self-assembly and photovoltaic performances. Polym. Int. 2021, 70, 457–466. [Google Scholar] [CrossRef]
- Pipertzis, A.; Mühlinghaus, M.; Mezger, M.; Scherf, U.; Floudas, G. Polymerized ionic liquids with polythiophene backbones: Self-assembly, thermal properties, and ion conduction. Macromolecules 2018, 51, 6440–6450. [Google Scholar] [CrossRef]
- Nielsen, C.B.; McCulloch, I. Recent advances in transistor performance of polythiophenes. Prog. Polym. Sci. 2013, 38, 2053–2069. [Google Scholar] [CrossRef]
- Smith, Z.C.; Wright, Z.M.; Arnold, A.M.; Sauvé, G.; McCullough, R.D.; Sydlik, S.A. Increased Toughness and Excellent Electronic Properties in Regioregular Random Copolymers of 3-Alkylthiophenes and Thiophene. Adv. Electron. Mater. 2017, 3, 1600316. [Google Scholar] [CrossRef]
- McCullogh, R.D.; Williams, S.P.; Tristam-Nagle, S.; Jayaraman, M.; Ewbank, P.C.; Miller, L. The first synthesis and new properties of regioregular, head-to-tail coupled polythiophenes. Synth. Met. 1995, 69, 279–282. [Google Scholar] [CrossRef]
- Kudret, S.; Van den Brande, N.; Defour, M.; Van Mele, B.; Lutsen, L.; Vanderzande, D.; Maes, W. Synthesis of ester side chain functionalized all-conjugated diblock copolythiophenes via the Rieke method. Polym. Chem. 2014, 5, 1832–1837. [Google Scholar] [CrossRef]
- Chen, T.-A.; Wu, X.; Rieke, R.D. Regiocontrolled synthesis of poly (3-alkylthiophenes) mediated by Rieke zinc: Their characterization and solid-state properties. J. Am. Chem. Soc. 1995, 117, 233–244. [Google Scholar] [CrossRef]
- Wu, X.; Chen, T.-A.; Rieke, R.D. Synthesis of regioregular head-to-tail poly [3-(alkylthio) thiophenes]. A highly electroconductive polymer. Macromolecules 1995, 28, 2101–2102. [Google Scholar] [CrossRef]
- Amna, B.; Siddiqi, H.M.; Hassan, A.; Ozturk, T. Recent developments in the synthesis of regioregular thiophene-based conjugated polymers for electronic and optoelectronic applications using nickel and palladium-based catalytic systems. RSC Adv. 2020, 10, 4322–4396. [Google Scholar] [CrossRef] [Green Version]
- Klein, F.W.; Lamps, J.-P.; Raoui, M.; Paillet, M.; Sauvajol, J.-L.; Mésini, P.J.; Petit, P. Design and synthesis of aniline-appended P3HT for single step covalent functionalisation of carbon nanotubes. Polym. Chem. 2020, 11, 6319–6327. [Google Scholar] [CrossRef]
- Stefan, M.C.; Bhatt, M.P.; Sista, P.; Magurudeniya, H.D. Grignard metathesis (GRIM) polymerization for the synthesis of conjugated block copolymers containing regioregular poly (3-hexylthiophene). Polym. Chem. 2012, 3, 1693–1701. [Google Scholar] [CrossRef]
- Yokoyama, A.; Miyakoshi, R.; Yokozawa, T. Chain-growth polymerization for poly (3-hexylthiophene) with a defined molecular weight and a low polydispersity. Macromolecules 2004, 37, 1169–1171. [Google Scholar] [CrossRef]
- Miyakoshi, R.; Yokoyama, A.; Yokozawa, T. Catalyst-transfer polycondensation. Mechanism of Ni-catalyzed chain-growth polymerization leading to well-defined poly (3-hexylthiophene). J. Am. Chem. Soc. 2005, 127, 17542–17547. [Google Scholar] [CrossRef]
- Bautista, M.V.; Varni, A.J.; Ayuso-Carrillo, J.; Tsai, C.-H.; Noonan, K.J. Chain-Growth Polymerization of Benzotriazole Using Suzuki–Miyaura Cross-Coupling and Dialkylbiarylphosphine Palladium Catalysts. ACS Macro Lett. 2020, 9, 1357–1362. [Google Scholar] [CrossRef]
- Lin, P.-S.; Shoji, Y.; Afraj, S.N.; Ueda, M.; Lin, C.-H.; Inagaki, S.; Endo, T.; Tung, S.-H.; Chen, M.-C.; Liu, C.-L. Controlled Synthesis of Poly [(3-alkylthio) thiophene] s and Their Application to Organic Field-Effect Transistors. ACS Appl. Mater. Interfaces 2021, 13, 31898–31909. [Google Scholar] [CrossRef]
- Seyler, H.; Subbiah, J.; Jones, D.J.; Holmes, A.B.; Wong, W.W. Controlled synthesis of poly (3-hexylthiophene) in continuous flow. Beilstein J. Org. Chem. 2013, 9, 1492–1500. [Google Scholar] [CrossRef] [PubMed]
- Kim, Y.; Cook, S.; Tuladhar, S.M.; Choulis, S.A.; Nelson, J.; Durrant, J.R.; Bradley, D.D.; Giles, M.; McCulloch, I.; Ha, C.-S. A strong regioregularity effect in self-organizing conjugated polymer films and high-efficiency polythiophene: Fullerene solar cells. In Materials For Sustainable Energy: A Collection of Peer-Reviewed Research and Review Articles from Nature Publishing Group; World Scientific: Singapore, 2011; pp. 63–69. [Google Scholar]
- Polkehn, M.; Tamura, H.; Burghardt, I. Impact of charge-transfer excitons in regioregular polythiophene on the charge separation at polythiophene-fullerene heterojunctions. J. Phys. B At. Mol. Opt. Phys. 2017, 51, 014003. [Google Scholar] [CrossRef]
- Spoltore, D.; Vangerven, T.; Verstappen, P.; Piersimoni, F.; Bertho, S.; Vandewal, K.; Van den Brande, N.; Defour, M.; Van Mele, B.; De Sio, A. Effect of molecular weight on morphology and photovoltaic properties in P3HT: PCBM solar cells. Org. Electron. 2015, 21, 160–170. [Google Scholar] [CrossRef]
- Lee, Y.; Oh, J.Y.; Son, S.Y.; Park, T.; Jeong, U. Effects of regioregularity and molecular weight on the growth of polythiophene nanofibrils and mixes of short and long nanofibrils to enhance the hole transport. ACS Appl. Mater. Interfaces 2015, 7, 27694–27702. [Google Scholar] [CrossRef] [PubMed]
- Seibers, Z.D.; Le, T.P.; Lee, Y.; Gomez, E.D.; Kilbey, S.M. Impact of low molecular weight poly (3-hexylthiophene) s as additives in organic photovoltaic devices. ACS Appl. Mater. Interfaces 2018, 10, 2752–2761. [Google Scholar] [CrossRef]
- Arias, J.J.R.; Marques, M.d.F.V. Performance of poly (3-hexylthiophene) in bulk heterojunction solar cells: Influence of polymer size and size distribution. React. Funct. Polym. 2017, 113, 58–69. [Google Scholar] [CrossRef]
- Chen, C.-M.; Jen, T.-H.; Chen, S.-A. Effective end group modification of poly (3-hexylthiophene) with functional electron-deficient moieties for performance improvement in polymer solar cell. ACS Appl. Mater. Interfaces 2015, 7, 20548–20555. [Google Scholar] [CrossRef] [PubMed]
- Thankaraj Salammal, S.; Dai, S.; Pietsch, U.; Grigorian, S.; Koenen, N.; Scherf, U.; Kayunkid, N.; Brinkmann, M. Influence of alkyl side chain length on the in-plane stacking of room temperature and low temperature cast poly(3-alkylthiophene) thin films. Eur. Polym. J. 2015, 67, 199–212. [Google Scholar] [CrossRef]
- Xu, W.-L.; Yang, X.-Y.; Zheng, F.; Jin, H.-D.; Hao, X.-T. Effect of alkyl side-chain length on the photophysical, morphology and photoresponse properties of poly(3-alkylthiophene). J. Phys. D Appl. Phys. 2015, 48, 485501. [Google Scholar] [CrossRef]
- Kobayashi, T.; Kinoshita, K.; Niwa, A.; Nagase, T.; Naito, H. Photoluminescence Properties of Polymorphic Modifications of Low Molecular Weight Poly(3-hexylthiophene). Nanoscale Res. Lett. 2017, 12, 368. [Google Scholar] [CrossRef] [Green Version]
- Zen, A.; Pflaum, J.; Hirschmann, S.; Zhuang, W.; Jaiser, F.; Asawapirom, U.; Rabe, J.P.; Scherf, U.; Neher, D. Effect of Molecular Weight and Annealing of Poly(3-hexylthiophene)s on the Performance of Organic Field-Effect Transistors. Adv. Funct. Mater. 2004, 14, 757–764. [Google Scholar] [CrossRef]
- Koch, F.P.V.; Rivnay, J.; Foster, S.; Müller, C.; Downing, J.M.; Buchaca-Domingo, E.; Westacott, P.; Yu, L.; Yuan, M.; Baklar, M.; et al. The impact of molecular weight on microstructure and charge transport in semicrystalline polymer semiconductors–poly(3-hexylthiophene), a model study. Prog. Polym. Sci. 2013, 38, 1978–1989. [Google Scholar] [CrossRef]
- Mardi, S.; Pea, M.; Notargiacomo, A.; Yaghoobi Nia, N.; Carlo, A.D.; Reale, A. The Molecular Weight Dependence of Thermoelectric Properties of Poly (3-Hexylthiophene). Materials 2020, 13, 1404. [Google Scholar] [CrossRef] [PubMed] [Green Version]
- Liu, F.; Chen, D.; Wang, C.; Luo, K.; Gu, W.; Briseno, A.L.; Hsu, J.W.P.; Russell, T.P. Molecular Weight Dependence of the Morphology in P3HT:PCBM Solar Cells. ACS Appl. Mater. Interfaces 2014, 6, 19876–19887. [Google Scholar] [CrossRef]
- Holmes, N.P.; Nicolaidis, N.; Feron, K.; Barr, M.; Burke, K.B.; Al-Mudhaffer, M.; Sista, P.; Kilcoyne, A.L.D.; Stefan, M.C.; Zhou, X.; et al. Probing the origin of photocurrent in nanoparticulate organic photovoltaics. Sol. Energy Mater. Sol. Cells 2015, 140, 412–421. [Google Scholar] [CrossRef] [Green Version]
- Yi, H.; Im, C.; An, J.; Lee, S.; Park, H. Acceptor blending ratio dependence of bulk heterojunction organic photovoltaic devices. J. Korean Phys. Soc. 2014, 64, 910–916. [Google Scholar] [CrossRef]
- Sista, P.; Luscombe, C.K. Progress in the Synthesis of Poly (3-hexylthiophene). In P3HT Revisited—From Molecular Scale to Solar Cell Devices; Ludwigs, S., Ed.; Springer: Berlin/Heidelberg, Germany, 2014; Volume 265, pp. 1–38. [Google Scholar]
- Bronstein, H.A.; Luscombe, C.K. Externally Initiated Regioregular P3HT with Controlled Molecular Weight and Narrow Polydispersity. J. Am. Chem. Soc. 2009, 131, 12894–12895. [Google Scholar] [CrossRef]
- Sheina, E.E.; Liu, J.; Iovu, M.C.; Laird, D.W.; McCullough, R.D. Chain Growth Mechanism for Regioregular Nickel-Initiated Cross-Coupling Polymerizations. Macromolecules 2004, 37, 3526–3528. [Google Scholar] [CrossRef]
- Liu, J.; Loewe, R.S.; McCullough, R.D. Employing MALDI-MS on poly (alkylthiophenes): Analysis of molecular weights, molecular weight distributions, end-group structures, and end-group modifications. Macromolecules 1999, 32, 5777–5785. [Google Scholar] [CrossRef]
- Wong, M.; Hollinger, J.; Kozycz, L.M.; McCormick, T.M.; Lu, Y.; Burns, D.C.; Seferos, D.S. An apparent size-exclusion quantification limit reveals a molecular weight limit in the synthesis of externally initiated polythiophenes. ACS Macro Lett. 2012, 1, 1266–1269. [Google Scholar] [CrossRef]
- Hiorns, R.C.; Khoukh, A.; Gourdet, B.; Dagron-Lartigau, C. Extremely regio-regular poly (3-alkylthiophene)s from simplified chain-growth Grignard metathesis polymerisations and the modification of their chain-ends. Polym. Int. 2006, 55, 608–620. [Google Scholar] [CrossRef]
- Barbarella, G.; Bongini, A.; Zambianchi, M. Regiochemistry and Conformation of Poly(3-hexylthiophene) via the Synthesis and the Spectroscopic Characterization of the Model Configurational Triads. Macromolecules 2002, 27, 3039–3045. [Google Scholar] [CrossRef]
- Savagatrup, S.; Printz, A.D.; Wu, H.; Rajan, K.M.; Sawyer, E.J.; Zaretski, A.V.; Bettinger, C.J.; Lipomi, D.J. Viability of stretchable poly(3-heptylthiophene) (P3HpT) for organic solar cells and field-effect transistors. Synth. Met. 2015, 203, 208–214. [Google Scholar] [CrossRef]
- Gray, A.P. Polymer crystallinity determinations by DSC. Thermochim. Acta 1970, 1, 563–579. [Google Scholar] [CrossRef]
- Grimme, J.; Kreyenschmidt, M.; Uckert, F.; Müllen, K.; Scherf, U. On the conjugation length in poly (para-phenylene)-type polymers. Adv. Mater. 1995, 7, 292–295. [Google Scholar] [CrossRef]
- Zen, A.; Saphiannikova, M.; Neher, D.; Grenzer, J.; Grigorian, S.; Pietsch, U.; Asawapirom, U.; Janietz, S.; Scherf, U.; Lieberwirth, I. Effect of molecular weight on the structure and crystallinity of poly (3-hexylthiophene). Macromolecules 2006, 39, 2162–2171. [Google Scholar] [CrossRef]
- Brown, P.J.; Thomas, D.S.; Köhler, A.; Wilson, J.S.; Kim, J.-S.; Ramsdale, C.M.; Sirringhaus, H.; Friend, R.H. Effect of interchain interactions on the absorption and emission of poly (3-hexylthiophene). Phys. Rev. B 2003, 67, 064203. [Google Scholar] [CrossRef] [Green Version]
- Roncali, J. Conjugated poly (thiophenes): Synthesis, functionalization, and applications. Chem. Rev. 1992, 92, 711–738. [Google Scholar] [CrossRef]
- Xie, H.; O’Dwyer, S.; Corish, J.; Morton-Blake, D. The thermochromism of poly (3-alkylthiophene) s: The role of the side chains. Synth. Met. 2001, 122, 287–296. [Google Scholar] [CrossRef]
- Meier, H.; Stalmach, U.; Kolshorn, H. Effective conjugation length and UV/vis spectra of oligomers. Acta Polym. 1997, 48, 379–384. [Google Scholar] [CrossRef]
- Zhou, C.; Liang, Y.; Liu, F.; Sun, C.; Huang, X.; Xie, Z.; Huang, F.; Roncali, J.; Russell, T.P.; Cao, Y. Chain length dependence of the photovoltaic properties of monodisperse donor–acceptor oligomers as model compounds of polydisperse low band gap polymers. Adv. Funct. Mater. 2014, 24, 7538–7547. [Google Scholar] [CrossRef] [Green Version]
- Scharsich, C.; Lohwasser, R.H.; Sommer, M.; Asawapirom, U.; Scherf, U.; Thelakkat, M.; Neher, D.; Köhler, A. Control of aggregate formation in poly (3-hexylthiophene) by solvent, molecular weight, and synthetic method. J. Polym. Sci. Part B Polym. Phys. 2012, 50, 442–453. [Google Scholar] [CrossRef] [Green Version]
- Xin, H.; Ren, G.; Kim, F.S.; Jenekhe, S.A. Bulk heterojunction solar cells from poly (3-butylthiophene)/fullerene blends: In situ self-assembly of nanowires, morphology, charge transport, and photovoltaic properties. Chem. Mater. 2008, 20, 6199–6207. [Google Scholar] [CrossRef]
- Li, G.; Shrotriya, V.; Yao, Y.; Yang, Y. Investigation of annealing effects and film thickness dependence of polymer solar cells based on poly (3-hexylthiophene). J. Appl. Phys. 2005, 98, 043704. [Google Scholar] [CrossRef] [Green Version]
- Parlak, E.A. The blend ratio effect on the photovoltaic performance and stability of poly (3-hexylthiophene):[6,6]-phenyl-C61 butyric acid methyl ester (PCBM) and poly (3-octylthiophene): PCBM solar cells. Sol. Energy Mater. Sol. Cells 2012, 100, 174–184. [Google Scholar] [CrossRef]
- Park, H.; An, J.; Song, J.; Lee, M.; Ahn, H.; Jahnel, M.; Im, C. Thickness-dependent internal quantum efficiency of narrow band-gap polymer-based solar cells. Sol. Energy Mater. Sol. Cells 2015, 143, 242–249. [Google Scholar] [CrossRef]












| P3AT | [1]0/[Ni]0 | Yield (%) | Mn (kDa) a | n(Thiophene Units) b | Mw (kDa) a | PDI a | Mn (kDa) c | RR (%) c |
|---|---|---|---|---|---|---|---|---|
| P3BT-11 | 110 | - | 11.3 | 82 | 15.7 | 1.39 | - | 98 |
| P3BT-17 | 110 | - | 17.4 | 126 | 24.0 | 1.38 | - | 98 |
| P3BT-23 | 110 | - | 23.1 | 167 | 353 | 1.53 | - | 98 |
| P3HT-15 | 71 | 85.7 | 15.2 | 91 | 20.8 | 1.37 | 12.0 | 98 |
| P3HT-21 | 83 | 86.6 | 21.1 | 127 | 29.9 | 1.42 | 14.0 | 98 |
| P3HT-39 | 120 | 81.0 | 39.2 | 236 | 56.0 | 1.43 | 20.0 | 98 |
| P3HT-52 | 154 | 82.2 | 52.3 | 315 | 68.5 | 1.31 | - | 99 |
| P3HT-61 | 200 | 67.2 | 61.1 | 368 | 91.7 | 1.50 | - | 98 |
| P3HT-70 | 250 | 68.8 | 70.8 | 427 | 99.1 | 1.40 | - | 98 |
| P3HT-72 | 333 | 57.9 | 72.3 | 435 | 108.5 | 1.50 | - | 99 |
| P3HT-72a | 500 | 53.3 | 72.4 | 436 | 108.6 | 1.50 | - | 99 |
| P3HT-72b | 1000 | 24.4 | 72.6 | 436 | 103.1 | 1.42 | - | 98 |
| P3OT-12 | 67 | 54.0 | 12.2 | 63 | 16.3 | 1.34 | 13.6 | 98 |
| P3OT-13 | 83 | 63.6 | 13.7 | 71 | 17.3 | 1.26 | 16.6 | 97 |
| P3OT-18 | 110 | 66.4 | 18.8 | 97 | 25.2 | 1.34 | 21.5 | 99 |
| P3OT-38 | 167 | 70.8 | 38.1 | 196 | 51.4 | 1.35 | 32.4 | 98 |
| P3OT-72 | 333 | 73.1 | 72.2 | 372 | 111.9 | 1.55 | - | 98 |
Publisher’s Note: MDPI stays neutral with regard to jurisdictional claims in published maps and institutional affiliations. |
© 2021 by the authors. Licensee MDPI, Basel, Switzerland. This article is an open access article distributed under the terms and conditions of the Creative Commons Attribution (CC BY) license (https://creativecommons.org/licenses/by/4.0/).
Share and Cite
Nguyen, T.-D.; Nguyen, V.-H.; Song, J.; An, J.; Truong, N.-T.; Dang, C.-H.; Im, C. Molecular Weight-Dependent Physical and Photovoltaic Properties of Poly(3-alkylthiophene)s with Butyl, Hexyl, and Octyl Side-Chains. Polymers 2021, 13, 3440. https://doi.org/10.3390/polym13193440
Nguyen T-D, Nguyen V-H, Song J, An J, Truong N-T, Dang C-H, Im C. Molecular Weight-Dependent Physical and Photovoltaic Properties of Poly(3-alkylthiophene)s with Butyl, Hexyl, and Octyl Side-Chains. Polymers. 2021; 13(19):3440. https://doi.org/10.3390/polym13193440
Chicago/Turabian StyleNguyen, Thanh-Danh, Van-Hai Nguyen, Jongwoo Song, Jongdeok An, Ngoc-Thuan Truong, Chi-Hien Dang, and Chan Im. 2021. "Molecular Weight-Dependent Physical and Photovoltaic Properties of Poly(3-alkylthiophene)s with Butyl, Hexyl, and Octyl Side-Chains" Polymers 13, no. 19: 3440. https://doi.org/10.3390/polym13193440
APA StyleNguyen, T.-D., Nguyen, V.-H., Song, J., An, J., Truong, N.-T., Dang, C.-H., & Im, C. (2021). Molecular Weight-Dependent Physical and Photovoltaic Properties of Poly(3-alkylthiophene)s with Butyl, Hexyl, and Octyl Side-Chains. Polymers, 13(19), 3440. https://doi.org/10.3390/polym13193440

