Hopping Conductivity and Dielectric Relaxations in Ag/PAN Nanocomposites
Abstract
:1. Introduction
2. Experimental Section
3. Results and Discussion
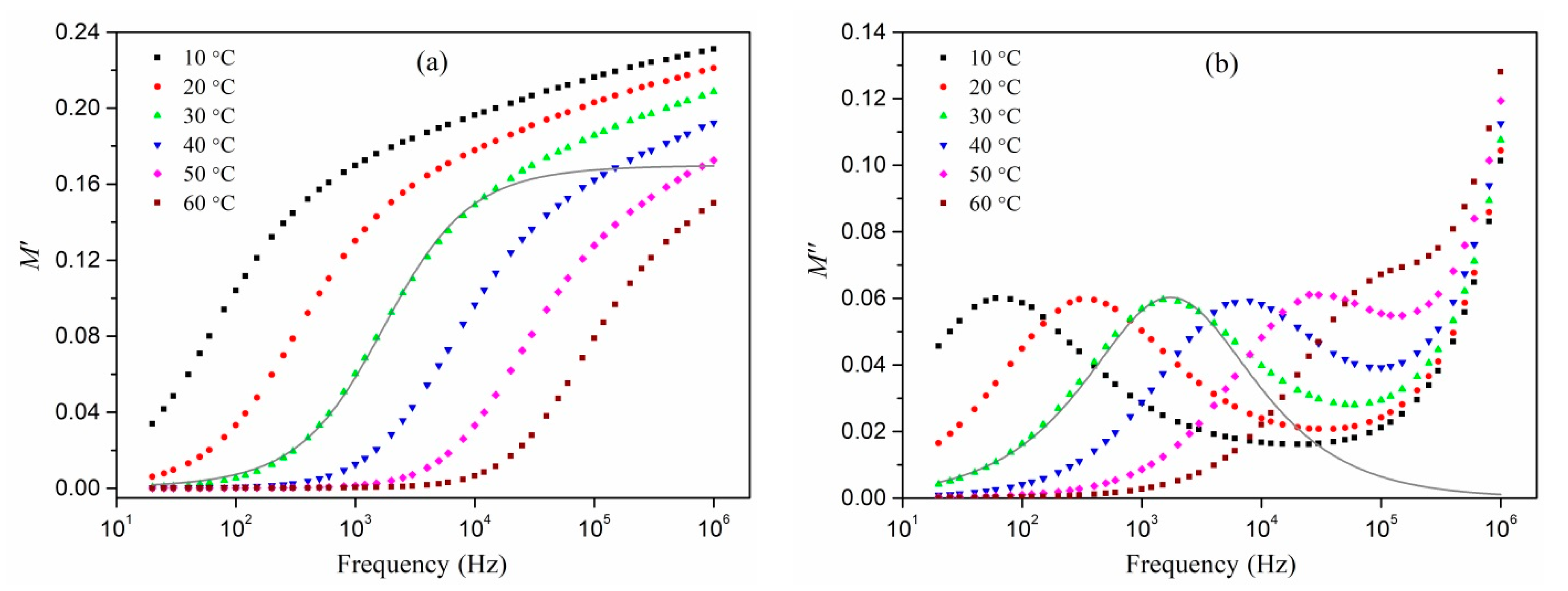
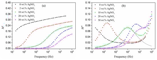
3.1. Dielectric Dispersion
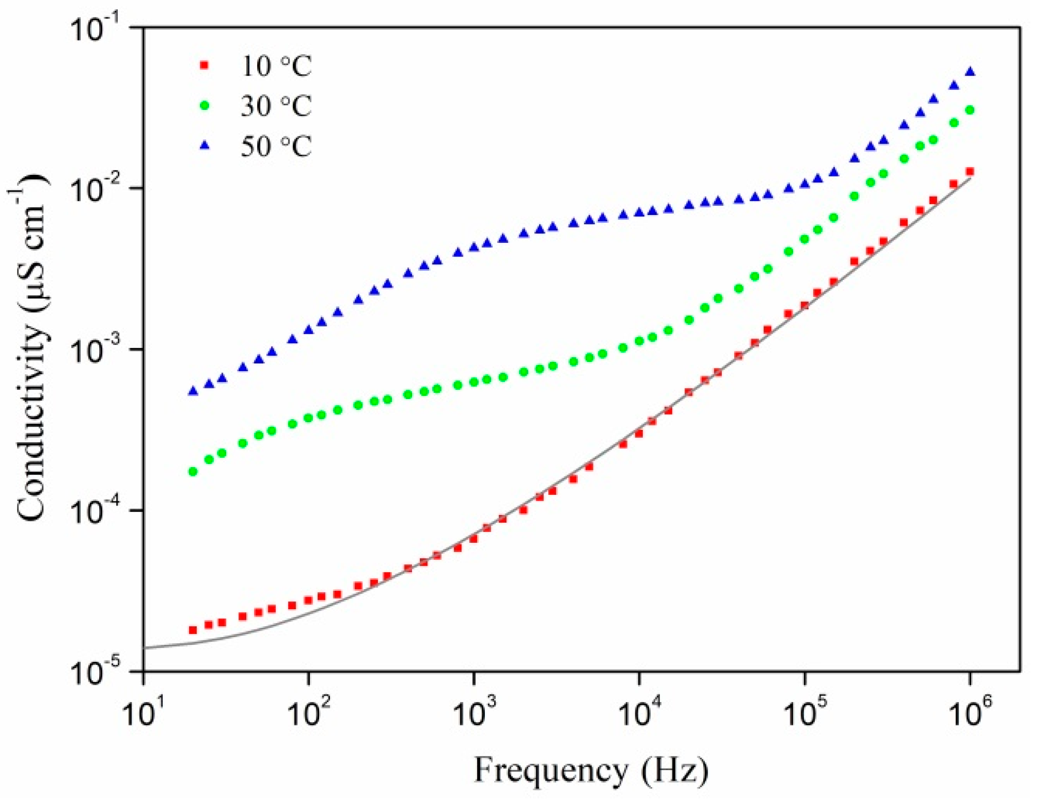
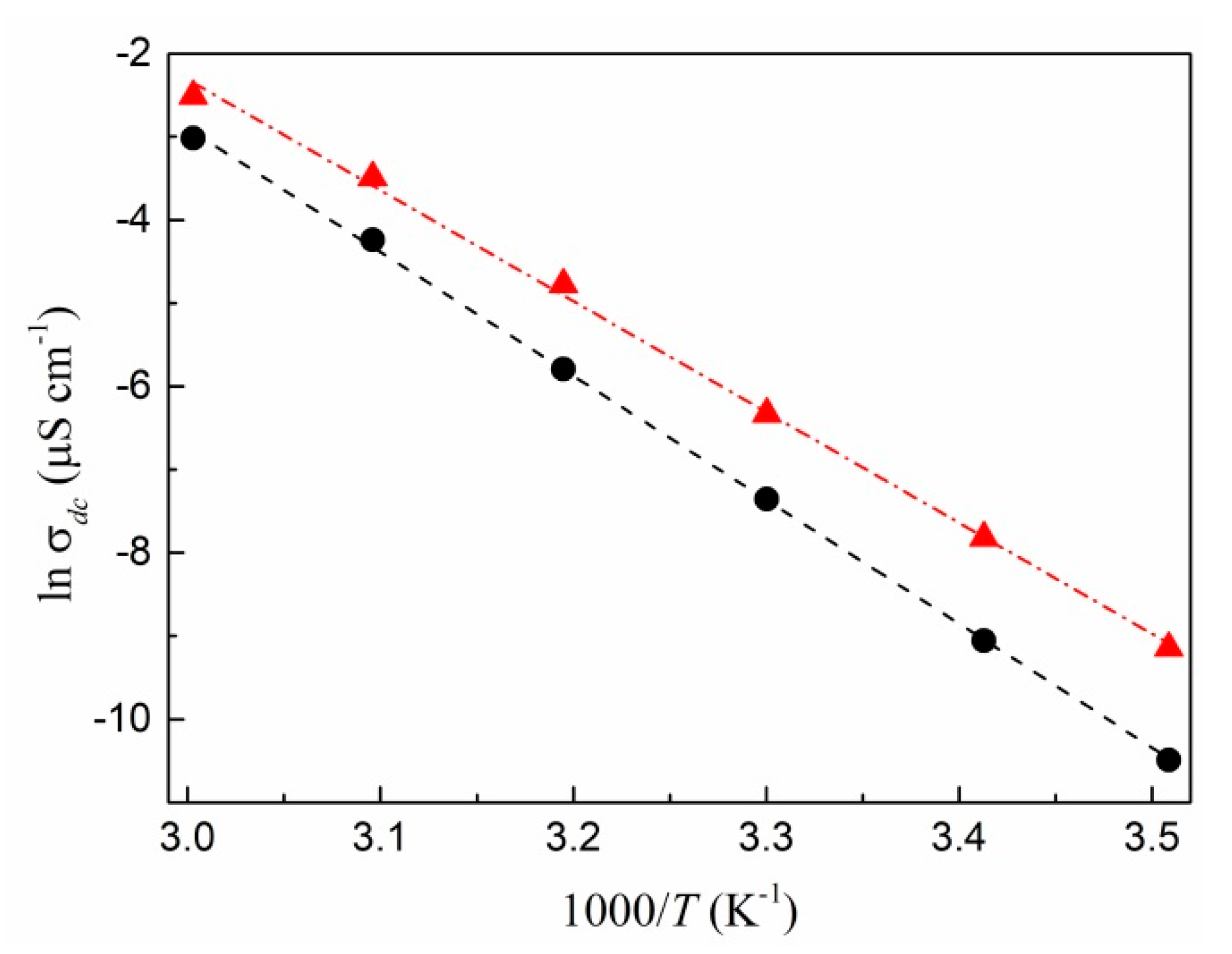
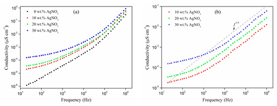
3.2. AC Conductivity
- (1)
- ionic conductivity through the ions apportioned in the polymer matrix;
- (2)
- the polymer’s electronic conductivity;
- (3)
- electronic conductivity in the chain of contacting metal nanoparticles (metallic regime);
- (4)
- tunneling (hopping) electronic conductivity between isolated metal particles (dielectric regime).
4. Conclusions
Author Contributions
Funding
Institutional Review Board Statement
Informed Consent Statement
Data Availability Statement
Conflicts of Interest
References
- Luo, X.; Chung, D.D.L. Electromagnetic interference shielding using continuous carbon-fiber carbon-matrix and polymer-matrix composites. Compos. Part B Eng. 1999, 30, 227–231. [Google Scholar] [CrossRef]
- Chou, K.-S.; Huang, K.-C.; Shih, Z.-H. Effect of mixing process on electromagnetic interference shielding effectiveness of nickel/acrylonitrile-butadiene-styrene composites. J. Appl. Polym. Sci. 2005, 97, 128–135. [Google Scholar] [CrossRef]
- Stru, R.; Glatz-Reichenbach, J. Feature Article Conducting Polymer Composites. J. Electroceram. 1999, 3, 329–346. [Google Scholar] [CrossRef]
- Amoli, B.M.; Trinidad, J.; Hu, A.; Zhou, Y.N.; Zhao, B. Highly electrically conductive adhesives using silver nanoparticle (Ag NP)-decorated graphene: The effect of NPs sintering on the electrical conductivity improvement. J. Mater. Sci. Mater. Electron. 2015, 26, 590–600. [Google Scholar] [CrossRef]
- Stassi, S.; Cauda, V.; Canavese, G.; Manfredi, D.; Pirri, C.F. Synthesis and Characterization of Gold Nanostars as Filler of Tunneling Conductive Polymer Composites. Eur. J. Inorg. Chem. 2012, 2012, 2669–2673. [Google Scholar] [CrossRef]
- Stassi, S.; Canavese, G.; Cosiansi, F.; Gazia, R.; Fallauto, C.; Corbellini, S.; Pirola, M.; Cocuzza, M. Smart piezoresistive tunnelling composite for flexible robotic sensing skin. Smart Mater. Struct. 2013, 22, 125039. [Google Scholar] [CrossRef]
- Krasteva, N.; Besnard, I.; Guse, B.; Bauer, R.E.; Müllen, K.; Yasuda, A.; Vossmeyer, T. Self-Assembled Gold Nanoparticle/Dendrimer Composite Films for Vapor Sensing Applications. Nano Lett. 2002, 2, 551–555. [Google Scholar] [CrossRef]
- Kouloumbi, N.; Tsangaris, G.M.; Kyvelidis, G.C.; Psarras, G.C. Composite coatings and their performance in corrosive environment. Br. Corros. J. 1999, 34, 267–272. [Google Scholar] [CrossRef]
- Grundmeier, G.; Stratmann, M. Adhesion and De-adhesion mechanisms at polymer/metal interfaces: Mechanistic Understanding Based on in Situ Studies of Buried Interfaces. Annu. Rev. Mater. Res. 2005, 35, 571–615. [Google Scholar] [CrossRef]
- Matienzo, L.J.; Unertl, W.N. Adhesion of metal films to polyimides. In Polyimides Fundamentals and Applications; CRC Press: Boca Raton, FL, USA, 2018. [Google Scholar] [CrossRef]
- Ho, P.S. Chemistry and adhesion of metal-polymer interfaces. Appl. Surf. Sci. 1990, 41–42, 559–566. [Google Scholar] [CrossRef]
- Du, H.; Chen, H.; Gong, J.; Wang, T.G.; Sun, C.; Lee, S.W.; Wen, L.S. Use of effective medium theory to model the effect of the microstructure on dc conductivity of nano-titanium films. Appl. Surf. Sci. 2004, 233, 99–104. [Google Scholar] [CrossRef]
- Bloor, D.; Graham, A.; Williams, E.J.; Laughlin, P.J.; Lussey, D. Metal–Polymer composite with nanostructured filler particles and amplified physical properties. Appl. Phys. Lett. 2006, 88, 102103. [Google Scholar] [CrossRef] [Green Version]
- Stassi, S.; Canavese, G.; Cauda, V.; Marasso, S.L.; Pirri, C. Evaluation of different conductive nanostructured particles as filler in smart piezoresistive composites. Nanoscale Res. Lett. 2012, 7, 327. [Google Scholar] [CrossRef] [PubMed] [Green Version]
- Starkweather, H.W.; Avakian, P. Conductivity and the electric modulus in polymers. J. Polym. Sci. Part B Polym. Phys. 1992, 30, 637–641. [Google Scholar] [CrossRef]
- Hodge, I.M.; Eisenberg, A. Conductivity relaxation in an amorphous-iron-containing organic polymer. J. Non Cryst. Solids. 1978, 27, 441–443. [Google Scholar] [CrossRef]
- Quinten, M. Local fields close to the surface of nanoparticles and aggregates of nanoparticles. Appl. Phys. B. 2001, 73, 245–255. [Google Scholar] [CrossRef]
- Kausar, A. Polymer/Silver Nanoparticle Nanocomposite as Antimicrobial Materials. Front. Sci. 2017, 7, 31–35. [Google Scholar]
- Barrera, N.; Guerrero, L.; Debut, A.; Santa-Cruz, P. Printable nanocomposites of polymers and silver nanoparticles for antibacterial devices produced by DoD technology. PLoS ONE 2018, 13, e0200918. [Google Scholar] [CrossRef] [PubMed]
- Kudryashov, M.A.; Mashin, A.I.; Tyurin, A.S.; Fedosov, A.E.; Chidichimo, G.; de Filpo, G. Morphology of a silver/polyacrylonitrile nanocomposite. Tech. Phys. 2011, 56, 92–96. [Google Scholar] [CrossRef]
- Kudryashov, M.A.; Mashin, A.I.; Tyurin, A.S.; Chidichimo, G.; de Filpo, G. Metal-polymer composite films based on polyacrylonitrile and silver nanoparticles. Preparation and properties. J. Surf. Investig. X-ray Synchrotron Neutron Tech. 2010, 4, 437–441. [Google Scholar] [CrossRef]
- Raptis, C.G.; Patsidis, A.; Psarras, G.C. Electrical response and functionality of polymer matrix-titanium carbide composites. Express Polym. Lett. 2010, 4, 234–243. [Google Scholar] [CrossRef]
- Bakr, A.A.; North, A.M.; Kossmehl, G. Charge carrier hopping in poly(arylene vinylenes). Eur. Polym. J. 1977, 13, 799–803. [Google Scholar] [CrossRef]
- Psarras, G.C.; Manolakaki, E.; Tsangaris, G.M. Electrical relaxations in polymeric particulate composites of epoxy resin and metal particles. Compos. Part A Appl. Sci. Manuf. 2002, 33, 375–384. [Google Scholar] [CrossRef]
- Psarras, G.C.; Manolakaki, E.; Tsangaris, G.M. Dielectric dispersion and ac conductivity in—Iron particles loaded—polymer composites. Compos. Part A Appl. Sci. Manuf. 2003, 34, 1187–1198. [Google Scholar] [CrossRef]
- Baziard, Y.; Breton, S.; Toutain, S.; Gourdenne, A. Dielectric properties of aluminium powder-epoxy resin composites. Eur. Polym. J. 1988, 24, 521–526. [Google Scholar] [CrossRef]
- Blythe, T.; Bloor, D. Electrical Properties of Polymers; Cambridge University Press: New York, NY, USA, 2005; p. 480. [Google Scholar]
- Wagner, K.W. Erklärung der dielektrischen Nachwirkungsvorgänge auf Grund Maxwellscher Vorstellungen. Archiv Elektrotech. 1914, 2, 371–387. [Google Scholar] [CrossRef] [Green Version]
- Tsangaris, G.M.; Kouloumbi, N.; Kyvelidis, S. Interfacial relaxation phenomena in particulate composites of epoxy resin with copper or iron particles. Mater. Chem. Phys. 1996, 44, 245–250. [Google Scholar] [CrossRef]
- Debye, P. Polar Molecules; Chemical Catalog Co., Inc.: New York, NY, USA, 1929; p. 172. [Google Scholar]
- Sillars, R.W. The properties of a dielectric containing semiconducting particles of various shapes. J. Inst. Electr. Eng. 1937, 80, 378–394. [Google Scholar] [CrossRef]
- Tsangaris, G.M.; Psarras, G.C.; Tsangaris, G.M. Electric modulus and interfacial polarization in composite polymeric systems. J. Mater. Sci. 1998, 33, 2027–2037. [Google Scholar] [CrossRef]
- Cole, K.S.; Cole, R.H. Dispersion and Absorption in Dielectrics I. Alternating Current Characteristics. J. Chem. Phys. 1941, 9, 341–351. [Google Scholar] [CrossRef] [Green Version]
- Davidson, D.W.; Cole, R.H. Dielectric Relaxation in Glycerine. J. Chem. Phys. 1950, 18, 1417. [Google Scholar] [CrossRef]
- Havriliak, S.; Negami, S. A complex plane analysis of α-dispersions in some polymer systems. J. Polym. Sci. Part C Polym. Symp. 1966, 14, 99–117. [Google Scholar] [CrossRef]
- Williams, G.; Watts, D.C. Non-symmetrical dielectric relaxation behaviour arising from a simple empirical decay function. Trans. Faraday Soc. 1970, 66, 80. [Google Scholar] [CrossRef]
- Canavese, G.; Stassi, S.; Stralla, M.; Bignardi, C.; Pirri, C.F. Stretchable and conformable metal–polymer piezoresistive hybrid system. Sens. Actuators A Phys. 2012, 186, 191–197. [Google Scholar] [CrossRef]
- Bloor, D.; Donnelly, K.; Hands, P.J.; Laughlin, P.; Lussey, D. A metal–polymer composite with unusual properties. J. Phys. D Appl. Phys. 2005, 38, 2851–2860. [Google Scholar] [CrossRef]
- Stassi, S.; Canavese, G. Spiky nanostructured metal particles as filler of polymeric composites showing tunable electrical conductivity. J. Polym. Sci. Part B Polym. Phys. 2012, 50, 984–992. [Google Scholar] [CrossRef]
- Schürmann, U.; Takele, H.; Zaporojtchenko, V.; Faupel, F. Optical and electrical properties of polymer metal nanocomposites prepared by magnetron co-sputtering. Thin Solid Films. 2006, 515, 801–804. [Google Scholar] [CrossRef]
- Sheng, P. Theory for the Dielectric Function of Granular Composite Media. Phys. Rev. Lett. 1980, 45, 60–63. [Google Scholar] [CrossRef]
- Garboczi, E.J.; Snyder, K.A.; Douglas, J.F.; Thorpe, M.F. Geometrical percolation threshold of overlapping ellipsoids. Phys. Rev. E 1995, 52, 819–828. [Google Scholar] [CrossRef] [PubMed] [Green Version]
- Rehwald, W.; Kiess, H.; Binggeli, B. Frequency dependent conductivity in polymers and other disordered materials. Z. Physik B Condens. Matter 1987, 68, 143–148. [Google Scholar] [CrossRef]
- Mott, N.F.; Davis, E.A. Electronic Processes in Non-Crystalline Materials; Oxford University Press: Oxford, UK, 1979; p. 590. [Google Scholar]
- Austin, I.G.; Garbett, E.S. Far infra-red vibrational spectra of crystalline and amorphous As2Se3. Philos. Mag. 1971, 23, 17–28. [Google Scholar] [CrossRef]
- Mustafaeva, S.N. Frequency dispersion of dielectric coefficients of layered TlGaS2 single crystals. Phys. Solid State. 2004, 46, 1008–1010. [Google Scholar] [CrossRef]
- Psarras, G.C. Hopping conductivity in polymer matrix–metal particles composites. Compos. Part. A Appl. Sci. Manuf. 2006, 37, 1545–1553. [Google Scholar] [CrossRef]
- Dyre, J.C. The random free-energy barrier model for ac conduction in disordered solids. J. Appl. Phys. 1988, 64, 2456–2468. [Google Scholar] [CrossRef] [Green Version]
- Namikawa, H. Characterization of the diffusion process in oxide glasses based on the correlation between electric conduction and dielectric relaxation. J. Non Cryst. Solids. 1975, 18, 173–195. [Google Scholar] [CrossRef]
- Aronzon, B.A.; Kovalev, D.Y.; Varfolomeev, A.E.; Likal’ter, A.A.; Ryl’kov, V.V.; Sedova, M.A. Conductivity, magnetoresistance, and the Hall effect in granular Fe/SiO2 films. Phys. Solid State 1999, 41, 857–863. [Google Scholar] [CrossRef]
- Ershov, B.G.; Janata, E.; Henglein, A. Growth of silver particles in aqueous solution: Long-lived “magic” clusters and ionic strength effects. J. Phys. Chem. 1993, 97, 339–343. [Google Scholar] [CrossRef]
- Ershov, B.G.; Janata, E.; Henglein, A.; Fojtik, A. Silver atoms and clusters in aqueous solution: Absorption spectra and the particle growth in the absence of stabilizing Ag+ ions. J. Phys. Chem. 1993, 97, 4589–4594. [Google Scholar] [CrossRef]
- Ershov, B.G.; Ionova, G.V.; Kiseleva, A.A. Silver clusters: Calculations of the optical transitions, the formation and properties of the “magic” positively charged clusters. Zh. Fiz. Khim. 1995, 69, 260–267, [in Russian]. [Google Scholar]
- Kulesza, A.; Mitrić, R.; Bonačić-Koutecký, V.; Bellina, B.; Compagnon, I.; Broyer, M.; Antoine, R.; Dugourd, P. Doubly Charged Silver Clusters Stabilized by Tryptophan: Ag42+ as an Optical Marker for Monitoring Particle Growth. Angew. Angew. Chem. Int. Ed. 2011, 50, 878–881. (In Russian) [Google Scholar] [CrossRef]
- Abeles, B.; Sheng, P.; Coutts, M.D.; Arie, Y. Structural and electrical properties of granular metal films. Adv. Phys. 1975, 24, 407–461. [Google Scholar] [CrossRef]
- Mochalov, L.; Logunov, A.; Kitnis, A.; Vorotyntsev, V. Plasma-Chemistry of Arsenic Selenide Films: Relationship Between Film Properties and Plasma Power. Plasma Chem. Plasma Process. 2020, 40, 407–421. [Google Scholar] [CrossRef]
- Vorotyntsev, V.; Malyshev, V.M.; Mochalov, L.; Petukhov, A.N.; Salníková, M. The capture of nanosized particles by the directional crystallization of sulfur. Sep. Purif. Technol. 2018, 199, 214–221. [Google Scholar] [CrossRef]
- Mochalov, L.; Logunov, A.; Markin, A.; Kitnis, A.; Vorotyntsev, V. Characteristics of the Te-based chalcogenide films dependently on the parameters of the PECVD process. Opt. Quantum Electron. 2020, 52, 197. [Google Scholar] [CrossRef]
- Vorotyntsev, A.V.; Petukhov, A.N.; Makarov, D.A.; Sazanova, T.S.; Razov, E.N.; Nyuchev, A.V.; Mochalov, L.A.; Markov, A.N.; Kulikov, A.D.; Vorotyntsev, V.M. Supported ionic liquid-like phases based on CMS/DVB with different NR3 cations as catalysts for the chlorosilanes disproportionation. Appl. Catal. B Environ. 2018, 239, 102–113. [Google Scholar] [CrossRef]
- Mochalov, L.; Logunov, A.; Markin, A.; Kitnis, A.; Vorotyntsev, V. Plasma-prepared arsenic telluride films: Relationship between physico-chemical properties on the parameters of the deposition process. Mater. Res. Express 2019, 6, 126436. [Google Scholar] [CrossRef]










Publisher’s Note: MDPI stays neutral with regard to jurisdictional claims in published maps and institutional affiliations. |
© 2021 by the authors. Licensee MDPI, Basel, Switzerland. This article is an open access article distributed under the terms and conditions of the Creative Commons Attribution (CC BY) license (https://creativecommons.org/licenses/by/4.0/).
Share and Cite
Kudryashov, M.A.; Logunov, A.A.; Mochalov, L.A.; Kudryashova, Y.P.; Trubyanov, M.M.; Barykin, A.V.; Vorotyntsev, I.V. Hopping Conductivity and Dielectric Relaxations in Ag/PAN Nanocomposites. Polymers 2021, 13, 3251. https://doi.org/10.3390/polym13193251
Kudryashov MA, Logunov AA, Mochalov LA, Kudryashova YP, Trubyanov MM, Barykin AV, Vorotyntsev IV. Hopping Conductivity and Dielectric Relaxations in Ag/PAN Nanocomposites. Polymers. 2021; 13(19):3251. https://doi.org/10.3390/polym13193251
Chicago/Turabian StyleKudryashov, M.A., A.A. Logunov, L.A. Mochalov, Yu.P. Kudryashova, M.M. Trubyanov, A.V. Barykin, and I.V. Vorotyntsev. 2021. "Hopping Conductivity and Dielectric Relaxations in Ag/PAN Nanocomposites" Polymers 13, no. 19: 3251. https://doi.org/10.3390/polym13193251
APA StyleKudryashov, M. A., Logunov, A. A., Mochalov, L. A., Kudryashova, Y. P., Trubyanov, M. M., Barykin, A. V., & Vorotyntsev, I. V. (2021). Hopping Conductivity and Dielectric Relaxations in Ag/PAN Nanocomposites. Polymers, 13(19), 3251. https://doi.org/10.3390/polym13193251

