Unmodified Silica Nanoparticles Enhance Mechanical Properties and Welding Ability of Epoxy Thermosets with Tunable Vitrimer Matrix
Abstract
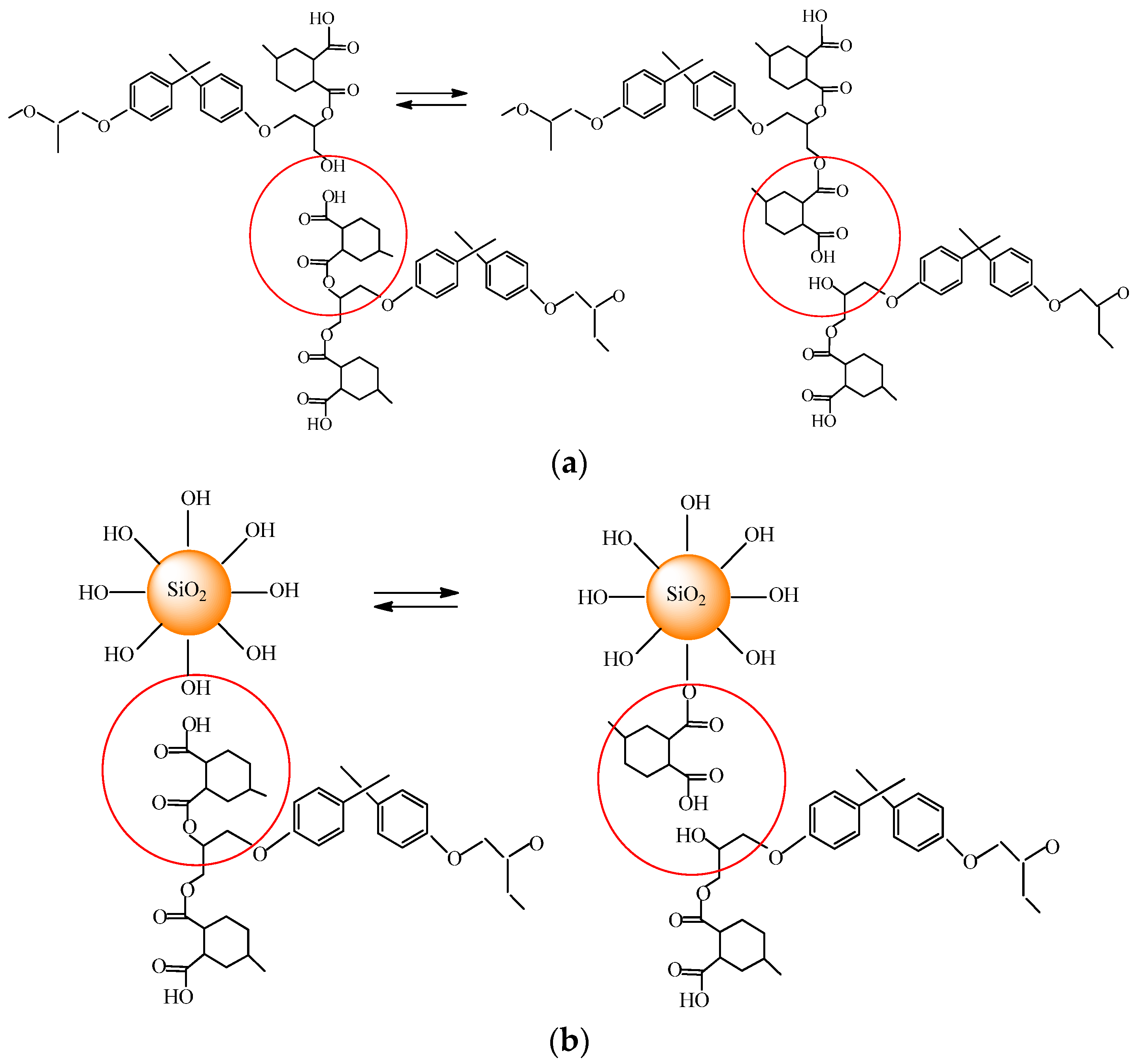
:1. Introduction
2. Materials and Methods
2.1. Materials
2.2. Synthesis of Epoxy/Silica Thermosets with Vitrimer Matrix
2.3. Mechanical Properties
2.4. Thermomechanical Analysis
2.5. Fourier-Transform Infrared Spectroscopy (FTIR)
2.6. Investigation of the Ability of Epoxy Vitrimer Nanocomposite for Welding
3. Results and Discussion
3.1. Mechanical and Thermal Properties of Epoxy/Silica Vitrimer Nanocomposites
3.2. Investigation of the Ability of Epoxy/Silica Vitrimers for Welding
4. Conclusions
Supplementary Materials
Author Contributions
Funding
Institutional Review Board Statement
Informed Consent Statement
Data Availability Statement
Acknowledgments
Conflicts of Interest
References
- Montarnal, D.; Capelot, M.; Tournilhac, F.; Leibler, L. Silica-like malleable materials from permanent organic networks. Science 2011, 334, 965–968. [Google Scholar] [CrossRef] [PubMed]
- Denissen, W.; Winne, J.M.; Du Prez, F.E. Vitrimers: Permanent organic networks with glass-like fluidity. Chem. Sci. 2016, 7, 30–38. [Google Scholar] [CrossRef] [PubMed] [Green Version]
- Capelot, M.; Montarnal, D.; Tournilhac, F.; Leibler, L. Metal-catalyzed transesterification for healing and assembling of thermosets. J. Am. Chem. Soc. 2012, 134, 7664–7667. [Google Scholar] [CrossRef] [PubMed]
- Ran, Y.; Zheng, L.-J.; Zeng, J.-B. Dynamic crosslinking: An efficient approach to fabricate epoxy vitrimer. Materials 2021, 14, 919. [Google Scholar] [CrossRef]
- Spiesschaert, Y.; Guerre, M.; De Baere, I.; Van Paepegem, W.; Winne, J.M.; Du Prez, F.E. Dynamic curing agents for amine-hardened epoxy vitrimers with short (re)processing times. Macromolecules 2020, 53, 2485–2495. [Google Scholar] [CrossRef]
- Obadia, M.M.; Mudraboyina, B.P.; Serghei, A.; Montarnal, D.; Drockenmuller, E. Reprocessing and recycling of highly cross-linked ion-conducting networks through transalkylation exchanges of C-N bonds. J. Am. Chem. Soc. 2015, 137, 6078–6083. [Google Scholar] [CrossRef]
- Lu, Y.X.; Tournilhac, F.; Leibler, L.; Guan, Z. Making insoluble polymer networks malleable via olefin metathesis. J. Am. Chem. Soc. 2012, 134, 8424–8427. [Google Scholar] [CrossRef]
- Lu, Y.; Guan, Z. Olefin metathesis for effective polymer healing via dynamic exchange of strong carbon − carbon double bonds. J. Am. Chem. Soc. 2012, 134, 14226–14231. [Google Scholar] [CrossRef]
- Imbernon, L.; Oikonomou, E.K.; Norvez, S.; Leibler, L. Chemically crosslinked yet reprocessable epoxidized natural rubber via thermo-activated disulfide rearrangements. Polym. Chem. 2015, 6, 4271–4278. [Google Scholar] [CrossRef]
- Denissen, W.; Rivero, G.; Nicolaÿ, R.; Leibler, L.; Winne, J.M.; Du Prez, F.E. Vinylogous urethane vitrimers. Adv. Funct. Mater. 2015, 25, 2451–2457. [Google Scholar] [CrossRef]
- Yang, Y.; Pei, Z.; Zhang, X.; Tao, L.; Wei, Y.; Ji, Y. Carbon nanotube-vitrimer composite for facile and efficient photo-welding of epoxy. Chem. Sci. 2014, 5, 3486–3492. [Google Scholar] [CrossRef]
- Yu, K.; Shi, Q.; Li, H.; Jabour, J.; Yang, H.; Dunn, M.L.; Wang, T.; Qi, H.J. Interfacial welding of dynamic covalent network polymers. J. Mech. Phys. Solids. 2016, 94, 1–17. [Google Scholar] [CrossRef] [Green Version]
- Liu, H.; Zhang, H.; Wang, H.; Huang, X.; Huang, G.; Wu, J. Weldable, malleable and programmable epoxy vitrimers with high mechanical properties and water insensitivity. Chem. Eng. J. 2019, 368, 61–790. [Google Scholar] [CrossRef]
- Awad, S.A.; Fellows, C.M.; Mahini, S.M. Effects of accelerated weathering on the chemical, mechanical, thermal and morphological properties of an epoxy/multi-walled carbon nanotube composite. Polym. Test. 2018, 66, 70–77. [Google Scholar] [CrossRef]
- Uthaman, A.; Xian, G.; Thomas, S.; Wang, Y.; Zheng, Q.; Liu, X. Durability of an epoxy resin and its carbon fiber-reinforced polymer composite upon immersion in water, acidic, and alkaline solutions. Polymers 2020, 12, 614. [Google Scholar] [CrossRef] [Green Version]
- Kumar, S.; Krishnan, S.; Samal, S.K.; Mohanty, S.; Nayak, S.K. Toughening of petroleum based (DGEBA) epoxy resins with various renewable resources based flexible chains for high performance applications: A review. Ind. Eng. Chem. Res. 2018, 57, 2711–2726. [Google Scholar] [CrossRef]
- Lascano, D.; Quiles-Carrillo, L.; Torres-Giner, S.; Boronat, T.; Montanes, N. Optimization of the curing and post-curing conditions for the manufacturing of partially bio-based epoxy resins with improved toughness. Polymers 2019, 11, 1354. [Google Scholar] [CrossRef] [Green Version]
- Legrand, A.; Soulié-Ziakovic, C. Silica-epoxy vitrimer nanocomposites. Macromolecules 2016, 49, 5893–5902. [Google Scholar] [CrossRef]
- Krishnakumar, B.; Prasanna Sanka, R.V.S.; Binder, W.H.; Park, C.; Jung, J.; Parthasarthy, V.; Rana, S.; Yun, G.J. Catalyst free self-healable vitrimer/graphene oxide nanocomposites. Compos. Part B Eng. 2020, 184, 107647. [Google Scholar] [CrossRef]
- Yue, L.; Ke, K.; Amirkhosravi, M.; Gray, T.G.; Manas-Zloczower, I. Catalyst-free mechanochemical recycling of biobased epoxy with cellulose nanocrystals. ACS Appl. Bio Mater. 2021, 4, 4176–4183. [Google Scholar] [CrossRef]
- Wang, S.; Ma, S.; Cao, L.; Li, Q.; Ji, Q.; Huang, J.; Lu, N.; Xu, X.; Liu, Y.; Zhu, J. Conductive vitrimer nanocomposites enable advanced and recyclable thermo-sensitive materials. J. Mater. Chem. C 2020, 8, 11681–11686. [Google Scholar] [CrossRef]
- Liu, Y.-Y.; Liu, G.-L.; Li, Y.-D.; Weng, Y.; Zeng, J.-B. Biobased high-performance epoxy vitrimer with UV shielding for recyclable carbon fiber reinforced composites. ACS Sustain. Chem. Eng. 2021, 9, 4638–4647. [Google Scholar] [CrossRef]
- Kaiser, T. Highly crosslinked polymers. Prog. Polym. Sci. 1989, 14, 373–450. [Google Scholar] [CrossRef]
- Sprenger, S. Epoxy resin composites with surface-modified silicon dioxide nanoparticles: A review. J. Appl. Polym. Sci. 2013, 130, 1421–1428. [Google Scholar] [CrossRef]
- Pourrajabian, A.; Dehghan, M.; Javed, A.; Wood, D. Choosing an appropriate timber for a small wind turbine blade: A comparative study. Renew. Sustain. Energy Rev. 2019, 100, 1–8. [Google Scholar] [CrossRef]
- Ruiz, Q.; Pourchet, S.; Placet, V.; Plasseraud, L.; Boni, G. New eco-friendly synthesized thermosets from isoeugenol-based epoxy resins. Polymers 2020, 12, 229. [Google Scholar] [CrossRef] [PubMed] [Green Version]
- Yuasa, S.; Okabayashi, M.; Ohno, H.; Suzuki, K.; Kusumoto, K. Amorphous, Spherical Inorganic Compound and Process for Preparation Thereof. U.S. Patent 4,764,497A, 16 August 1988. [Google Scholar]
- Barabanova, A.I.; Pryakhina, T.A.; Afanas’ev, E.S.; Zavin, B.G.; Vygodskii, Y.S.; Askadskii, A.A.; Philippova, O.E.; Khokhlov, A.R. Anhydride modified silica nanoparticles: Preparation and characterization. Appl. Surf. Sci. 2012, 258, 3168–3172. [Google Scholar] [CrossRef]
- Barabanova, A.I.; Afanas’ev, E.S.; Askadskii, A.A.; Khokhlov, A.R.; Philippova, O.E. Synthesis and propertiesof epoxy networks with a tunable matrix. Polym. Sci. Ser. A 2019, 61, 375–381. [Google Scholar] [CrossRef]
- Turi, E.A. Thermal Characterization of Polymeric Materials; Academic Press: New York, NY, USA, 1981. [Google Scholar]
- He, Y. Thermal characterization of overmolded underfill materials for stacked chip scale packages. Thermochim. Acta 2005, 433, 98–104. [Google Scholar] [CrossRef]
- Trappe, V.; Burchard, W.; Steinmann, B. Anhydride-cured epoxies via chain reaction. 1. The phenyl glycidyl ether/phthalic acid anhydride system. Macromolecules 1991, 24, 4738–4744. [Google Scholar] [CrossRef]
- Fisch, W.; Hofmann, W. The curing mechanism of epoxy resins. J. Appl. Chem. 1956, 6, 429–441. [Google Scholar] [CrossRef]
- Fisch, W.; Hofmann, W. Chemischeraufbau von gehärtetenepoxyharze. III. Mitteilungüberchemie der epoxyharze. Makromol. Chem. 1961, 44, 8–23. [Google Scholar] [CrossRef]
- Fischer, R.F. Polyesters from epoxides and anhydrides. Ind. Eng. Chem. 1960, 52, 321–323. [Google Scholar] [CrossRef]
- Spegazzini, N.; Ruisánchez, I.; Larrechi, M.S. MCR-ALS for sequential estimation of FTIR-ATR spectra to resolve a curing process using global phase angle convergence criterion. Anal. Chim. Acta 2009, 642, 155–162. [Google Scholar] [CrossRef]
- Rohde, B.J.; Robertson, M.L.; Krishnamoorti, R. Concurrent curing kinetics of an anhydride-cured epoxy resin and polydicyclopentadiene. Polymer 2015, 69, 204–214. [Google Scholar] [CrossRef] [Green Version]
- Tao, S.G.; Chow, W.S. Thermal properties, curing characteristics and water absorption of soybean oil-based thermoset. Express Polym. Lett. 2011, 5, 480–492. [Google Scholar] [CrossRef]
- Kiselev, A.V.; Lygin, V.I. Infrared Spectra of Surface Compounds; Nauka: Moscow, Russia, 1972. [Google Scholar]
- Johnsen, B.B.; Kinloch, A.J.; Mohammed, R.D.; Taylor, A.C.; Sprenger, S. Toughening mechanisms of nanoparticle-modified epoxy polymers. Polymer 2007, 48, 530–541. [Google Scholar] [CrossRef]
- Hsieh, T.H.; Kinloch, A.J.; Masania, K.; Taylor, A.C.; Sprenger, S. The mechanisms and mechanics of the toughening of epoxy polymers modified with silica nanoparticles. Polymer 2010, 51, 6284–6294. [Google Scholar] [CrossRef] [Green Version]
- Tang, L.C.; Zhang, H.; Sprenger, S.; Ye, L.; Zhang, Z. Fracture mechanisms of epoxy-based ternary composites filled with rigid-soft particles. Compos. Sci. Technol. 2012, 72, 558–565. [Google Scholar] [CrossRef]
- Dittanet, P.; Pearson, R.A. Effect of silica nanoparticle size on toughening mechanisms of filled epoxy. Polymer 2012, 53, 1890–1905. [Google Scholar] [CrossRef]
- Guth, E. Theory of filler reinforcement. J. Appl. Phys. 1945, 16, 20–25. [Google Scholar] [CrossRef]
- Fu, S.-Y.; Feng, X.-Q.; Lauke, B.; Mai, Y.-W. Effects of particle size, particle/matrix interface adhesion and particle loading on mechanical properties of particulate–polymer composites. Composites Part B 2008, 39, 933–961. [Google Scholar] [CrossRef]
- Liu, S.; Zhang, H.; Zhang, Z.; Sprenger, S. Epoxy resin filled with high volume content nano-SiO2 particles. J. Nanosci. Nanotechnol. 2009, 9, 1412–1417. [Google Scholar] [CrossRef] [PubMed]
- Askadskii, A.A.; Barabanova, A.I.; Afanasev, E.S.; Kagramanov, N.D.; Mysova, N.E.; Ikonnikov, N.S.; Kharitonova, E.P.; Lokshin, B.V.; Khokhlov, A.R.; Philippova, O.E. Revealing defects hampering the formation of epoxy networks with extremely high thermal properties: Theory and experiments. Polym. Test. 2020, 90, 106645. [Google Scholar] [CrossRef]
- Preghenella, M.; Pegoretti, A.; Migliaresi, C. Thermo-mechanical characterization of fumed silica-epoxy nanocomposites. Polymer 2005, 46, 12065–12072. [Google Scholar] [CrossRef]
- Tarrío-Saavedra, J.; López-Beceiro, J.; Naya, S.; Gracia, C.; Artiaga, R. Controversial effects of fumed silica on the curing and thermomechanical properties of epoxy composites. Express Polym. Lett. 2010, 4, 382–395. [Google Scholar] [CrossRef]
- Cui, W.; You, W.; Sun, Z.; Yu, W. Decoupled polymer dynamics in weakly attractive poly(methyl methacrylate)/silica nanocomposites. Macromolecules 2021, 54, 5484–5497. [Google Scholar] [CrossRef]
- Barabanova, A.I.; Lokshin, B.V.; Kharitonova, E.P.; Afanas’ev, E.S.; Askadskii, A.A.; Philippova, O.E. Curing cycloaliphatic epoxy resin with 4-methylhexahydrophthalic anhydride: Catalyzed vs. uncatalyzed reaction. Polymer 2019, 178, 121590. [Google Scholar] [CrossRef]
- Askadskii, A.A. Computational Materials Science of Polymers; International Science Publishing: Cambridge, UK, 2003. [Google Scholar]
- Pethrick, R.A.; Miller, C.; Rhoney, I. Influence of nanosilica particles on the cure and physical properties of an epoxy thermoset resin. Polym. Int. 2010, 59, 236–241. [Google Scholar] [CrossRef]







| Sample | [DGEBA]/[MHHPA]/[ZAA], mol/mol/mol | [SiO2], wt% | Tensile Stress, MPa | Tensile Strain, % | Elastic Modulus, GPa | |
|---|---|---|---|---|---|---|
| Tensile Tests | Guth’s Prediction | |||||
| V1 | 0.5/1.0/0.05 | 0 | 48 | 7.3 | 1.8 | |
| N1-5 | 0.5/1.0/0.05 | 5 | 57 | 5.6 | 2.4 | 2.0 |
| N1-10 | 0.5/1.0/0.05 | 10 | 60 | 4.9 | 2.6 | 2.2 |
| V2 | 0.72/1.0/0.043 | 0 | 54 | 5.6 | 2.0 | |
| N2-5 | 0.76/1.0/0.043 | 5 | 65 | 6.5 | 2.3 | 2.2 |
| N2-10 | 0.76/1.0/0.04 | 10 | 68 | 6.5 | 2.4 | 2.3 |
| Sample | Glass Transition Temperature Tg, °C | Topology Freezing Temperature Tv, °C | Coefficient of Thermal Expansion CTE × 106, μm/(m K) | Temperature of Onset of Thermal Degradation Td, °C | |
|---|---|---|---|---|---|
| Before Tg | Above Tg | ||||
| V1 | 141 | 230 | 70 | 230 | 396 |
| N1-5 | 136 | 280 | 70 | 205 | 396 |
| N1-10 | 130 | 290 | 64 | 150 | 395 |
| V2 | 152 | 244 | 70 | 210 | 414 |
| N2-5 | 144 | 289 | 70 | 200 | 405 |
| Sample | [SiO2], wt% | Welding Time, h | Load, N | Rupture Site |
|---|---|---|---|---|
| V1 | 0 | 6 | 78 | Welding joint |
| N1-5 | 5 | 6 | 119 | Beyond the weld |
| N1-10 | 10 | 6 | 46 | Beyond the weld |
| V2 | 0 | 6 | 44 | Beyond the weld |
| N2-5 | 5 | 6 | 71 | Beyond the weld |
| V2 | 0 | 5 | 61 | Welding joint |
| N2-5 | 5 | 5 | 85 | Welding joint |
| N2-10 | 10 | 5 | 91 | Welding joint |
Publisher’s Note: MDPI stays neutral with regard to jurisdictional claims in published maps and institutional affiliations. |
© 2021 by the authors. Licensee MDPI, Basel, Switzerland. This article is an open access article distributed under the terms and conditions of the Creative Commons Attribution (CC BY) license (https://creativecommons.org/licenses/by/4.0/).
Share and Cite
Barabanova, A.I.; Afanas’ev, E.S.; Molchanov, V.S.; Askadskii, A.A.; Philippova, O.E. Unmodified Silica Nanoparticles Enhance Mechanical Properties and Welding Ability of Epoxy Thermosets with Tunable Vitrimer Matrix. Polymers 2021, 13, 3040. https://doi.org/10.3390/polym13183040
Barabanova AI, Afanas’ev ES, Molchanov VS, Askadskii AA, Philippova OE. Unmodified Silica Nanoparticles Enhance Mechanical Properties and Welding Ability of Epoxy Thermosets with Tunable Vitrimer Matrix. Polymers. 2021; 13(18):3040. https://doi.org/10.3390/polym13183040
Chicago/Turabian StyleBarabanova, Anna I., Egor S. Afanas’ev, Vyacheslav S. Molchanov, Andrey A. Askadskii, and Olga E. Philippova. 2021. "Unmodified Silica Nanoparticles Enhance Mechanical Properties and Welding Ability of Epoxy Thermosets with Tunable Vitrimer Matrix" Polymers 13, no. 18: 3040. https://doi.org/10.3390/polym13183040
APA StyleBarabanova, A. I., Afanas’ev, E. S., Molchanov, V. S., Askadskii, A. A., & Philippova, O. E. (2021). Unmodified Silica Nanoparticles Enhance Mechanical Properties and Welding Ability of Epoxy Thermosets with Tunable Vitrimer Matrix. Polymers, 13(18), 3040. https://doi.org/10.3390/polym13183040

