Analysis of the Electrical and Thermal Properties for Magnetic Fe3O4-Coated SiC-Filled Epoxy Composites
Abstract
1. Introduction
2. Materials and Methods
2.1. Sample Preparation
2.1.1. Synthesis of Magnetic SiC
- (A)
- PSS pre-modified SiC
- (a)
- 20 g of SiC powder was added to 120 mL of absolute ethanol and 80 mL of ultrapure water, mixed thoroughly and dispersed with an ultrasonic disperser for 50 min to obtain the SiC suspension.
- (b)
- An appropriate amount of PSS powder was weighed and added into the SiC suspension, in which the content of PSS was 0.1 mol/L. The mixed solution was stirred at a uniform speed of 300 r/min for 30 min.
- (c)
- HCl was added into the well mixed solution; we detected the pH value of the solution until pH = 3. The obtained solution was heated to 30 °C in an oil bath and stirred at a uniform speed of 300 r/min for 2 h.
- (d)
- After the solid–liquid separation of the mixed solution, the powder was washed to neutral with absolute ethanol and dried in vacuum to obtain PSS-modified SiC, which was denoted as SiC-PSS.
- (B)
- Further modified SiC-PSS
- (a)
- 3 g of SiC-PSS was added to 200 mL of absolute ethanol and 100 mL of ultrapure water, mixed thoroughly and dispersed with an ultrasonic disperser for 1 h to obtain the SiC-PSS suspension.
- (b)
- 4.17 g of FeSO4·7H2O and 0.811 g of FeCl3·6H2O (mole ratio is 5:1) were weighed and dissolved in 300 mL of ultrapure water to prepare an Fe2+ and Fe3+ mixed solution. The solution was stirred until the powder was completely dissolved and the color of the solution was pale yellow and transparent.
- (c)
- The SiC-PSS suspension and the prepared Fe2+ and Fe3+ solution were mixed in a round-bottom flask. The mixed solution was heated to 30 °C in the oil bath and stirred at a uniform speed of 300 r/min for 90 min in the absence of air.
- (d)
- 300 mL of NaOH solution with a concentration of 0.5 mol/L was prepared, the stirring speed was set to 200 r/min and the prepared NaOH solution was added dropwise until the pH value of the solution reached 12–13. After stirring at low speed for 5 min, the temperature of oil bath was raised to 50 °C, then the solution was crystallized at a constant temperature for 1.5 h.
- (e)
- After the solid–liquid separation of the mixed solution, the powder was washed to neutral with absolute ethanol and dried in vacuum to obtain magnetic SiC, which was denoted as M-SiC.
2.1.2. Fabrication of the Aligned SiC/epoxy Composites
- (a)
- The epoxy resin was poured into a three-necked flask, heated to 60 °C in an oil bath to improve the fluidity of the matrix and mechanically stirred for 30 min to discharge the water vapor adsorbed by the epoxy during storage.
- (b)
- An appropriate amount of curing agent and M-SiC (or R-SiC) was weighed and added into the epoxy resin. The suspension was heated to 60 °C in an oil bath and stirred at a uniform speed of 360 r/min for 1 h.
- (c)
- After the epoxy matrix and SiC filler were fully mixed, the suspension was treated with an ultrasonic disperser for 20 min. An appropriate amount of accelerator was added and the mixture was stirred at a constant speed of 260 r/min for 10 min.
- (d)
- The mixed solution was taken out and it was placed in a vacuum-drying oven. The vacuum operation was carried out at 60 °C until no obvious bubbles overflowed. The molds were sprayed with release agent, then put into the blast dryer for preheating.
- (e)
- For the first and second type of composite material, the vacuum-degassed solution was poured into the mold and cured according to the heating curve of 100 °C for 4 h and 150 °C for 10 h. The samples were taken out after natural convection cooling. Since there was no magnetic field applied during the curing process, the first type of composites obtained was denoted as R-SiC/EP-N and the second type was denoted as M-SiC/EP-N. For the third type of composite material, the mold containing the vacuum-degassed solution was required to be placed in a constant magnetic field for a period of time (0.2 T, 20 min); then, the sample was cured according to the heating curve after the magnetic field was removed. This type of method was pre-magnetization and the obtained composites were denoted as M-SiC/EP-P. The fourth type of composite was placed in a constant magnetic field (0.1 T) produced by a permanent magnet during the whole curing process. This type of method was called curing magnetization and the obtained composites were denoted as M-SiC/EP-C. Different types of composites prepared in the experiment and their abbreviations are shown in Table 2.
2.2. Measurements
3. Results and Discussion
3.1. Characteristics
3.2. Breakdown Strength
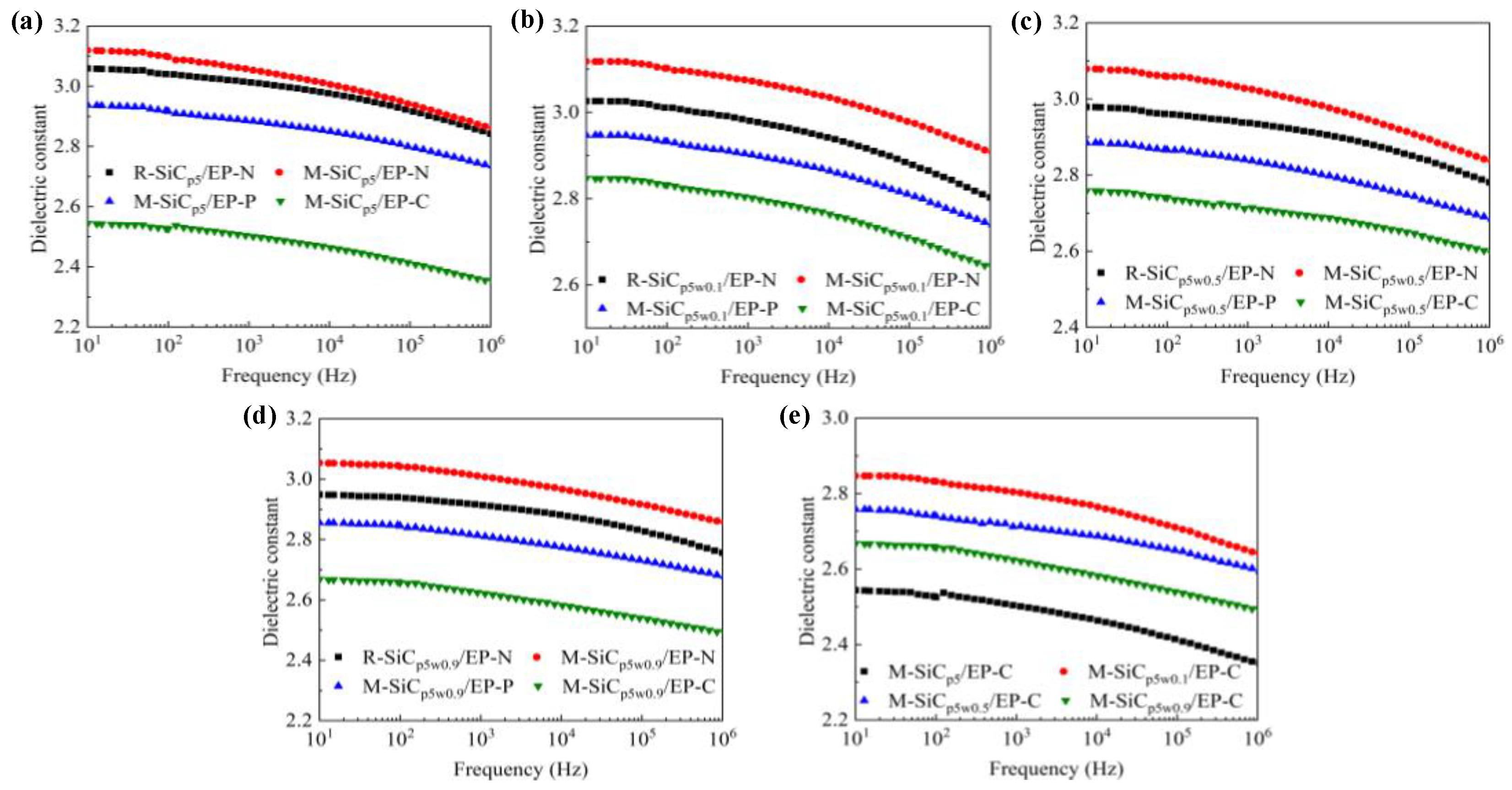
3.3. Dielectric Properties
3.4. Thermal Conductivity
4. Conclusions
- (1)
- When there was no external magnetic field, compared with unmodified SiC, magnetic SiC with core-shell structure was conducive to improve the breakdown strength of SiC/EP composites and the maximum enhancement rate was 20.86%. Under the action of external magnetic field, magnetic SiC was oriented orderly, aligned with the magnetic line and generated a directional current path. Thus, the orderly arrangement of SiC fillers can reduce the breakdown strength of SiC/EP composites to a certain extent, but the decrease is not significant compared to the composites filled with randomly arranged SiC.
- (2)
- Due to the introduction of a Fe3O4 nanolayer with a high dielectric constant (dielectric loss) in the process of surface modification, compared to the composites filled with raw SiC, the dielectric constant (dielectric loss) of the composites filled with the magnetic SiC fillers increased when there was no external magnetic field. Under the action of a magnetic field, magnetic SiC was orderly arrayed along the magnetic line and restricted the movement of the macromolecules or polar groups of the epoxy matrix, resulting in the decrease in the dielectric constant (dielectric loss) of the SiC/EP composites.
- (3)
- Due to the introduction of new interfaces in the preparation of magnetic SiC, the phonon scattering at the interfaces limited the heat transfer. When there was no external magnetic field, the thermal conductivity of composites filled with magnetic SiC decreased, compared to that of composites filled with raw SiC. Under the action of an external magnetic field, the magnetic SiC fillers were orderly aligned along the magnetic line and generated the directional heat conduction channels, which was beneficial in improving the thermal conductivity of SiC/EP composites, and the maximum improvement rate was 23.6%.
- (4)
- The results prove that the orderly arrangement of SiC had a favorable effect on the dielectric properties and thermal conductivity of the SiC/EP composites. For future applications, the orderly arranged SiC/EP composites have potential for preparing insulation material in the field of power electronic device packaging.
Author Contributions
Funding
Conflicts of Interest
References
- Liao, Y.F.; Weng, Y.X.; Wang, J.Q.; Zhou, H.; Lin, J.; He, S. Silicone Rubber Composites with High Breakdown Strength and Low Dielectric Loss Based on Polydopamine Coated Mica. Polymers 2019, 11, 2030. [Google Scholar] [CrossRef] [PubMed]
- Chen, X.; Wang, J.Q.; Zhang, C.; Yang, W.; Lin, J.; Bian, X.; He, S. Performance of silicone rubber composites using boron nitride to replace alumina tri-hydrate. High Volt. 2021, 6, 480–486. [Google Scholar] [CrossRef]
- He, S.J.; Hu, J.B.; Zhang, C.; Wang, J.; Chen, L.; Bian, X.; Lin, J.; Du, X. Performance improvement in nano-alumina filled silicone rubber composites by using vinyl tri-methoxysilane. Polym. Test. 2018, 67, 295–301. [Google Scholar] [CrossRef]
- Xu, J.Y.; Li, X.B.; Cui, X.; Zhao, Z.; Mo, S.; Ji, B. Trap characteristics and its temperature-dependence of silicone gel for encapsulation in IGBT power modules. CSEE J. Power Energy Syst. 2021, 7, 614–621. [Google Scholar]
- Yu, X.X.; Yu, Z.Q.; Lu, H.Y. Epoxy Resin Electrical Insulation Material, 1st ed.; Chemical Industry Press: Beijing, China, 2007. [Google Scholar]
- Sun, M.L.; Wu, L.Y. Application Principle and Technology of Epoxy Resin, 1st ed.; Mechanical Industry Press: Beijing, China, 2002. [Google Scholar]
- Tian, M.B. Electronic Packaging Technology, 1st ed.; Tsinghua University Press: Beijing, China, 2003. [Google Scholar]
- Bian, X.M.; Rui, T.; Yang, W.; Zhang, Y.; Xie, Q.; Zha, J.; Lin, J.; He, S. Mechanical, Thermal, and Electrical Properties of BN–Epoxy Composites Modified with Carboxyl-Terminated Butadiene Nitrile Liquid Rubber. Polymers 2019, 11, 1548. [Google Scholar] [CrossRef] [PubMed]
- Farooq, U.; Teuwen, J.; Dransfeld, C. Toughening of epoxy systems with interpenetrating polymer network (IPN): A review. Polymers 2020, 12, 1908. [Google Scholar] [CrossRef] [PubMed]
- Kumar, K.; Ghosh, P.K.; Kumar, A. Improving mechanical and thermal properties of TiO2-epoxy nanocomposite. Compos. Part B Eng. 2016, 97, 353–360. [Google Scholar] [CrossRef]
- Huang, X.; Jiang, P.; Tanaka, T. A review of dielectric polymer composites with high thermal conductivity. IEEE Electr. Insul. Mag. 2011, 27, 8–16. [Google Scholar] [CrossRef]
- Zhao, Y.S.; He, Y.H.; Yang, K.R.; Wang, X.; Bai, J.; Du, B. Improving the surface insulating performance of epoxy resin/Al2O3 composite materials by extending chain of liquid epoxy resin with Me-THPA. High Volt. 2020, 5, 472–481. [Google Scholar] [CrossRef]
- Tanaka, T.; Montanari, G.C.; Mulhaupt, R. Polymer nanocomposites as dielectrics and electrical insulation-perspectives for processing technologies, material characterization and future applications. IEEE Trans. Dielectr. Electr. Insul. 2004, 11, 763–784. [Google Scholar] [CrossRef]
- Shin, J.Y.; Park, H.D.; Choi, K.J.; Lee, K.-W.; Lee, J.-Y.; Hong, J.-W. Electrical Properties of the Epoxy Nano-composites according to Additive. IEEE Trans. Dielectr. Electr. Insul. 2009, 10, 97–101. [Google Scholar] [CrossRef][Green Version]
- Ladani, R.B.; Wu, S.; Kinloch, A.J.; Ghorbani, K.; Zhang, J.; Mouritz, A.P.; Wang, C.H. Improving the toughness and electrical conductivity of epoxy nanocomposites by using aligned carbon nanofibers. Compos. Sci. Technol. 2015, 117, 146–158. [Google Scholar] [CrossRef]
- Song, S.H.; Park, K.H.; Kim, B.H.; Choi, Y.W.; Jun, G.H.; Lee, D.J.; Kong, B.-S.; Paik, K.-W.; Jeon, S. Enhanced thermal conductivity of epoxy-graphene composites by using non-oxidized graphene flakes with non-covalent functionalization. Adv. Mater. 2013, 25, 732–737. [Google Scholar] [CrossRef] [PubMed]
- Niu, Y.; Zheng, S.; Song, P.; Zhang, X.; Wang, C. Development of mechanical and thermal properties of PEEK composites by incorporating inorganic particles modified phosphates. Compos. Part B Eng. 2021, 3, 108715. [Google Scholar] [CrossRef]
- Guo, S.; Zheng, R.; Jiang, J.; Yu, J.; Dai, K.; Yan, C. Enhanced thermal conductivity and retained electrical insulation of heat spreader by incorporating alumina-deposited graphene filler in nano-fibrillated cellulose. Compos. Part B Eng. 2019, 178, 107489. [Google Scholar] [CrossRef]
- Liu, X.; Wang, Z.; Sun, J.; Zhao, Z.; Zhan, S.; Guo, Y.; Zhou, H.; Liu, W.; Wang, J.; Zhao, T. Thermally conductive and electrically insulating alumina-coated graphite/phthalonitrile composites with thermal stabilities. Compos. Sci. Technol. 2020, 202, 108558. [Google Scholar] [CrossRef]
- He, S.J.; Luo, C.M.; Zheng, Y.Z.; Xue, Y.; Song, X.; Lin, J. Improvement in the charge dissipation performance of epoxy resin composites by incorporating amino-modified boron nitride nanosheets. Mater. Lett. 2021, 298, 130009. [Google Scholar] [CrossRef]
- Wu, B.; Chen, R.; Fu, R.; Agathopoulos, S.; Su, X.; Liu, H. Low thermal expansion coefficient and high thermal conductivity epoxy/Al2O3/T-ZnOw composites with dual-scale interpenetrating network structure. Compos. Part A Manuf. 2020, 137, 105993. [Google Scholar] [CrossRef]
- Imai, T.; Sawa, F.; Nakano, T.; Ozaki, T.; Shimizu, T.; Kozako, M.; Tanaka, T. Effects of nano- and micro-filler mixture on electrical insulation properties of epoxy based composites. IEEE Trans. Dielectr. Electr. Insul. 2006, 13, 319–326. [Google Scholar] [CrossRef]
- Stukhlyak, P.D.; Buketov, A.V.; Panin, S.V.; Maruschak, P.O.; Moroz, K.M.; Poltaranin, M.A.; Vukherer, T.; Kornienko, L.A.; Lyukshin, B.A. Structural fracture scales in shock-loaded epoxy composites. Phys. Mesomech. 2015, 18, 58–74. [Google Scholar] [CrossRef]
- Buketov, A.; Maruschak, P.; Sapronov, O.; Brailo, M.; Leshchenko, O.; Bencheikh, L.; Menou, A. Investigation of thermophysical properties of epoxy nanocomposites. Mol. Cryst. Liq. Cryst. 2016, 628, 167–179. [Google Scholar] [CrossRef]
- Aphesteguy, J.C.; Jacobo, S.E.; Lezama, L.; Kurlyandskaya, G.V.; Schegoleva, N.N. Microwave Resonant and Zero-Field Absorption Study of Doped Magnetite Prepared by a Co-Precipitation Method. Molecules 2014, 19, 8387–8401. [Google Scholar] [CrossRef] [PubMed]
- Yuvchenko, A.A.; Lepalovskii, V.N.; Vas’kovskii, V.O.; Safronov, A.P.; Volchkov, S.O.; Kurlyandskaya, G. Magnetic Impedance of Structured Film Meanders in the Presence of Magnetic Micro- and Nanoparticles. Tech. Phys. 2014, 59, 230–236. [Google Scholar] [CrossRef]
- Chung, J.-Y.; Lee, J.-G.; Baek, Y.-K.; Shin, P.-W.; Kim, Y.-K. Magnetic field-induced enhancement of thermal conductivities in polymer composites by linear clustering of spherical particles. Compos. Part B Eng. 2018, 136, 215–221. [Google Scholar] [CrossRef]
- Kim, Y.; Kim, J. Fabrication of Fe3O4 coated boron nitride nanoplatelets by liquid-phase exfoliation for thermally enhanced epoxy composites via magnetic alignment. Compos. Sci. Technol. 2019, 188, 107961. [Google Scholar] [CrossRef]
- Vu, M.C.; Choi, W.K.; Lee, S.G.; Park, P.J.; Kim, D.H.; Islam, A.; Kim, S.-R. High thermal conductivity enhancement of polymer composites with vertically aligned silicon carbide sheet scaffolds. ACS Appl. Mater. Interfaces 2020, 12, 23388–23398. [Google Scholar] [CrossRef]
- Kim, K.; Ju, H.; Kim, J. Vertical particle alignment of boron nitride and silicon carbide binary filler system for thermal conductivity enhancement. Compos. Sci. Technol. 2016, 123, 99–105. [Google Scholar] [CrossRef]
- Yao, Y.; Zhu, X.; Zeng, X.; Sun, R.; Xu, J.-B.; Wong, C.-P. Vertically aligned and interconnected SiC nanowire networks leading to significantly enhanced thermal conductivity of polymer composites. ACS Appl. Mater. Interfaces 2018, 10, 9669–9678. [Google Scholar] [CrossRef]
- Lin, Z.; Liu, Y.; Moon, K.; Wong, C.-P. Enhanced thermal transport of hexagonal boron nitride filled polymer composite by magnetic field-assisted alignment. In Proceedings of the IEEE Electronic Components and Technology Conference, Las Vegas, NV, USA, 28–31 May 2013; pp. 1692–1696. [Google Scholar]
- Kim, K.; Kim, J. Magnetic aligned AlN/epoxy composite for thermal conductivity enhancement at low filler content. Compos. Part B Eng. 2016, 93, 67–74. [Google Scholar] [CrossRef]
- Wu, S.; Ladani, R.B.; Zhang, J.; Bafekrpour, E.; Ghorbani, K.; Mouritz, A.P.; Kinloch, A.J.; Wang, C.H. Aligning multilayer graphene flakes with an external electric field to improve multifunctional properties of epoxy nanocomposites. Carbon 2015, 94, 607–618. [Google Scholar] [CrossRef]
- Shen, Z.; Wang, X.; Zhang, T.; Jia, Z. In situ electric field driven assembly to construct adaptive graded permittivity BaTiO3/epoxy resin composites for improved insulation performance. Appl. Mater. Today 2020, 20, 100647. [Google Scholar] [CrossRef]
- Jin, Z.; Liang, F.; Lu, W.; Dai, J.; Meng, S.; Lin, Z. Effect of particle sizes of nickel powder on thermal conductivity of epoxy resin-based composites under magnetic alignment. Polymers 2019, 11, 1990. [Google Scholar] [CrossRef]
- Kurlyandskaya, G.V.; Safronov, A.P.; Bhagat, S.M.; Lofland, S.; Beketov, I.V.; Prieto, L.M. Tailoring functional properties of Ni nanoparticles-acrylic copolymer composites with different concentrations of magnetic filler. J. Appl. Phys. 2015, 117, 123917. [Google Scholar] [CrossRef]
- Zamani Kouhpanji, M.R.; Stadler, B.J. A Guideline for Effectively Synthesizing and Characterizing Magnetic Nanoparticles for Advancing Nanobiotechnology: A Review. Sensors 2020, 20, 2554. [Google Scholar] [CrossRef]
- Ansari, S.A.M.K.; Ficiarà, E.; Ruffinatti, F.A.; Stura, I.; Argenziano, M.; Abollino, O.; Cavalli, R.; Guiot, C.; D’Agata, F. Magnetic Iron Oxide Nanoparticles: Synthesis, Characterization and Functionalization for Biomedical Applications in the Central Nervous System. Materials 2019, 12, 465. [Google Scholar] [CrossRef] [PubMed]
- Hubert, A.; Schäfer, R. Magnetic Domains; Springer: Berlin, Germany, 1998. [Google Scholar]
- O’Handley, R.C. Modern Magnetic Materials: Principles and Application; Wiley: New York, NY, USA, 2000. [Google Scholar]
- Dmitry, B.; Dmitri, C.; Andrey, Z. Shear Elasticity of Magnetic Gels with Internal Structures. Sensors 2018, 18, 2054. [Google Scholar] [CrossRef]
- Ren, P.G.; Wang, H.; Yan, D.X.; Huang, H.-D.; Wang, H.-B.; Zhang, Z.-P.; Xu, L.; Li, Z.-M. Ultrahigh gas barrier poly (vinyl alcohol) nanocomposite film filled with congregated and oriented Fe3O4@GO sheets induced by magnetic-field. Compos. Part A Manuf. 2017, 97, 1–9. [Google Scholar] [CrossRef]
- Tuo, R. Study on Modification and Performance of Epoxy Resin/Boron Nitride Thermal Insulation Materials. MA Thesis, North China Electric Power University, Beijing, China, 2020. [Google Scholar]
- Wang, Y.U.; Tan, D.Q.; Krahn, J. Computational study of dielectric composites with core-shell filler particles. J. Appl. Phys. 2011, 110, 044103. [Google Scholar] [CrossRef]
- Chen, J.D.; Liu, Z.Y. Dielectric Physics, 1st ed.; China Machine Press: Beijing, China, 1982; pp. 138–192, 269–339. [Google Scholar]
- Zhu, Y.K.; Jiang, P.K.; Huang, X.Y. Theory and Method of Improving the Breakdown Strength of Nanocomposite Dielectrics. Proc. CSEE. 2021, 41, 183–199. [Google Scholar]
- Chen, Y.; Zhang, D.H.; Wu, X.F.; Wang, H.; Xue, Y.; Wu, R.; Zhang, Z.; Chen, Y. Epoxy/α-alumina nanocomposite with decreased dielectric constant and dielectric loss. Polym. Compos. 2016, 39, 2307–2319. [Google Scholar] [CrossRef]
- Steeman, P.; Turnhout, J.V. Dielectric Properties of Inhomogeneous Media; Springer: Berlin/Heidelberg, Germany, 2003. [Google Scholar]
- Kim, K.; Kim, M.; Kim, J.; Kim, J. Magnetic filler alignment of paramagnetic Fe3O4 coated SiC/epoxy composite for thermal conductivity improvement. Ceram. Int. 2015, 41, 12280–12287. [Google Scholar] [CrossRef]
- Agari, Y.; Uno, T. Estimation on thermal conductivities of filled polymers. J. Appl. Polym. Sci. 2010, 32, 5705–5712. [Google Scholar] [CrossRef]













| SiC Filler | Morphology | Average Particle Size (μm) |
|---|---|---|
| SiCp | Particle | 1.5 |
| SiCw | Whisker | Length/diameter ≈ 30 |
| Sample Category | Sample Abbreviation | Mass Fraction (wt%) | Action Mode of Magnetic Field | |
|---|---|---|---|---|
| SiCp | SiCw | |||
| R-SiC/EP-N | R-SiCp5/EP-N | 5 | 0 | Without magnetization |
| R-SiCp5w0.1/EP-N | 5 | 0.1 | ||
| R-SiCp5w0.5/EP-N | 5 | 0.5 | ||
| R-SiCp5w0.9/EP-N | 5 | 0.9 | ||
| M-SiC/EP-N | M-SiCp5/EP-N | 5 | 0 | Without magnetization |
| M-SiCp5w0.1/EP-N | 5 | 0.1 | ||
| M-SiCp5w0.5/EP-N | 5 | 0.5 | ||
| M-SiCp5w0.9/EP-N | 5 | 0.9 | ||
| M-SiC/EP-P | M-SiCp5/EP-P | 5 | 0 | Pre-magnetization |
| M-SiCp5w0.1/EP-P | 5 | 0.1 | ||
| M-SiCp5w0.5/EP-P | 5 | 0.5 | ||
| M-SiCp5w0.9/EP-P | 5 | 0.9 | ||
| M-SiC/EP-C | M-SiCp5/EP-C | 5 | 0 | Curing magnetization |
| M-SiCp5w0.1/EP-C | 5 | 0.1 | ||
| M-SiCp5w0.5/EP-C | 5 | 0.5 | ||
| M-SiCp5w0.9/EP-C | 5 | 0.9 | ||
Publisher’s Note: MDPI stays neutral with regard to jurisdictional claims in published maps and institutional affiliations. |
© 2021 by the authors. Licensee MDPI, Basel, Switzerland. This article is an open access article distributed under the terms and conditions of the Creative Commons Attribution (CC BY) license (https://creativecommons.org/licenses/by/4.0/).
Share and Cite
Wu, J.; Zhang, Y.; Gong, Y.; Wang, K.; Chen, Y.; Song, X.; Lin, J.; Shen, B.; He, S.; Bian, X. Analysis of the Electrical and Thermal Properties for Magnetic Fe3O4-Coated SiC-Filled Epoxy Composites. Polymers 2021, 13, 3028. https://doi.org/10.3390/polym13183028
Wu J, Zhang Y, Gong Y, Wang K, Chen Y, Song X, Lin J, Shen B, He S, Bian X. Analysis of the Electrical and Thermal Properties for Magnetic Fe3O4-Coated SiC-Filled Epoxy Composites. Polymers. 2021; 13(18):3028. https://doi.org/10.3390/polym13183028
Chicago/Turabian StyleWu, Jiale, Yiran Zhang, Yangzhi Gong, Kun Wang, Yun Chen, Xupeng Song, Jun Lin, Boyang Shen, Shaojian He, and Xingming Bian. 2021. "Analysis of the Electrical and Thermal Properties for Magnetic Fe3O4-Coated SiC-Filled Epoxy Composites" Polymers 13, no. 18: 3028. https://doi.org/10.3390/polym13183028
APA StyleWu, J., Zhang, Y., Gong, Y., Wang, K., Chen, Y., Song, X., Lin, J., Shen, B., He, S., & Bian, X. (2021). Analysis of the Electrical and Thermal Properties for Magnetic Fe3O4-Coated SiC-Filled Epoxy Composites. Polymers, 13(18), 3028. https://doi.org/10.3390/polym13183028

