Analysis of Bubble Growth in Supercritical CO2 Extrusion Foaming Polyethylene Terephthalate Process Based on Dynamic Flow Simulation
Abstract
:1. Introduction
2. Theory and Governing Equations
2.1. The PTT Constitutive Equation
2.2. Bubble Growth Model
- (1)
- The bubble is spherically symmetric.
- (2)
- The whole foaming process is isothermal.
- (3)
- The PET/CO2 solution is incompressible.
- (4)
- The gas concentration inside the bubble is related to the dissolved gas concentration at the interface obeying Henry’s law.
- (5)
- The gravity can be neglected.
- (6)
- The CO2 gas behavior follows the Peng–Robinson cubic equation of state.
- (7)
- The effect of scCO2 plasticization is ignored.
- (8)
- The bubble growth process does not start until PET/CO2 mixture leaves the die outlet.
2.3. Methods of Finite Element Calculations
3. Experimental Section
3.1. Materials
3.2. Rheology Characterization
3.3. PET Extrusion Foaming Process
3.4. Die Geometry and Boundary Conditions
3.5. Foam Characterization
4. Results and Discussion
4.1. Rheological Parameter Tuning for PTT Model
4.2. Rheological Properties under Dynamic Extrusion Conditions
4.3. Determination of Pressure Profile
4.4. Stress Distribution
4.5. Numerical Simulation of Bubble Growth
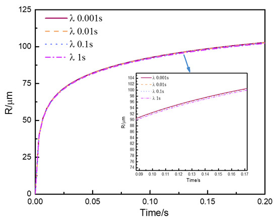
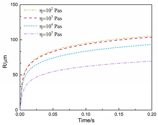
4.5.1. Parameter Sensitivity Analysis
4.5.2. Evaluation of Bubble Growth in scCO2 Extrusion Foaming
5. Conclusions
Supplementary Materials
Author Contributions
Funding
Institutional Review Board Statement
Informed Consent Statement
Data Availability Statement
Conflicts of Interest
References
- Chen, Y.; Wan, C.; Liu, T.; Chen, Z.; Qiao, Y.; Lu, J.; Yan, J.; Zhao, L.; Esseghir, M. Evaluation of LLDPE/LDPE blend foamability by in situ rheological measurements and bubble growth simulations. Chem. Eng. Sci. 2018, 192, 488–498. [Google Scholar] [CrossRef]
- Li, Y.; Yao, Z.; Chen, Z.-H.; Cao, K.; Qiu, S.-L.; Zhu, F.-J.; Zeng, C.; Huang, Z.-M. Numerical simulation of polypropylene foaming process assisted by carbon dioxide: Bubble growth dynamics and stability. Chem. Eng. Sci. 2011, 66, 3656–3665. [Google Scholar] [CrossRef]
- Shaayegan, V.; Wang, G.; Park, C.B. Study of the bubble nucleation and growth mechanisms in high-pressure foam injection molding through in-situ visualization. Eur. Polym. J. 2016, 76, 2–13. [Google Scholar] [CrossRef]
- Shimoda, M.; Tsujimura, I.; Tanigaki, M.; Ohshima, M. Polymeric Foaming Simulation for Extrusion Processes. J. Cell. Plast. 2001, 37, 517–536. [Google Scholar] [CrossRef]
- Taki, K. Experimental and numerical studies on the effects of pressure release rate on number density of bubbles and bubble growth in a polymeric foaming process. Chem. Eng. Sci. 2008, 63, 3643–3653. [Google Scholar] [CrossRef]
- Aloku, G.O.; Yuan, X.-F. Numerical simulation of polymer foaming process in extrusion flow. Chem. Eng. Sci. 2010, 65, 3749–3761. [Google Scholar] [CrossRef]
- Zhai, W.; Kuboki, T.; Wang, L.; Park, C.B.; Lee, E.K.; Naguib, H.E. Cell Structure Evolution and the Crystallization Behavior of Polypropylene/Clay Nanocomposites Foams Blown in Continuous Extrusion. Ind. Eng. Chem. Res. 2010, 49, 9834–9845. [Google Scholar] [CrossRef]
- Keshtkar, M.; Nofar, M.; Park, C.B.; Carreau, P.J. Extruded PLA/clay nanocomposite foams blown with supercritical CO2. Polymer 2014, 55, 4077–4090. [Google Scholar] [CrossRef]
- Zhang, C.; Zhu, B.; Li, D.; Lee, L.J. Extruded polystyrene foams with bimodal cell morphology. Polymer 2012, 53, 2435–2442. [Google Scholar] [CrossRef]
- Yao, S.; Hu, D.; Xi, Z.; Liu, T.; Xu, Z.; Zhao, L. Effect of crystallization on tensile mechanical properties of PET foam: Experiment and model prediction. Polym. Test. 2020, 90, 106649. [Google Scholar] [CrossRef]
- Leung, S.N.; Wong, A.; Wang, L.C.; Park, C.B. Mechanism of extensional stress-induced cell formation in polymeric foaming processes with the presence of nucleating agents. J. Supercrit. Fluids 2012, 63, 187–198. [Google Scholar] [CrossRef]
- Li, C.; Feng, L.-F.; Gu, X.-P.; Cao, K.; Zhang, C.-L. In situ visualization on formation mechanism of bi-modal foam via a two-step depressurization approach. J. Supercrit. Fluids 2018, 135, 8–16. [Google Scholar] [CrossRef]
- Taki, K.; Nakayama, T.; Yatsuzuka, T.; Ohshima, M. Visual Observations of Batch and Continuous Foaming Processes. J. Cell. Plast. 2003, 39, 155–169. [Google Scholar] [CrossRef]
- Leung, S.N.; Park, C.B.; Xu, D.; Li, H.; Fenton, R.G. Computer simulation of bubble-growth phenomena in foaming. Ind. Eng. Chem. Res. 2006, 45, 7823–7831. [Google Scholar] [CrossRef]
- Amon, M.; Denson, C.D. A study of the dynamics of foam growth: Analysis of the growth of closely spaced spherical bubbles. Polym. Eng. Sci. 1984, 24, 1026–1034. [Google Scholar] [CrossRef]
- Arefmanesh, A.; Advani, S.G. Diffusion-induced growth of a gas bubble in a viscoelastic fluid. Rheol. Acta 1991, 30, 274–283. [Google Scholar] [CrossRef]
- Shafi, M.A.; Lee, J.G.; Flumerfelt, R.W. Prediction of cellular structure in free expansion polymer foam processing. Polym. Eng. Sci. 1996, 36, 1950–1959. [Google Scholar] [CrossRef]
- Ansari, M.; Mitsoulis, E.; Hatzikiriakos, S.G. Capillary Extrusion and Swell of a HDPE Melt Exhibiting Slip. Adv. Polym. Technol. 2013, 32, E369–E385. [Google Scholar] [CrossRef]
- Kiriakidis, D.G.; Mitsoulis, E. Viscoelastic simulations of extrudate swell for an HDPE melt through slit and capillary dies. Adv. Polym. Technol. 1993, 12, 107–117. [Google Scholar] [CrossRef]
- Vergnes, B.; Agassant, J.F. Die flow computations: A method to solve industrial problems in polymer processing. Adv. Polym. Technol. 1986, 6, 441–455. [Google Scholar] [CrossRef]
- Hertel, D.; Valette, R.; Münstedt, H. Three-dimensional entrance flow of a low-density polyethylene (LDPE) and a linear low-density polyethylene (LLDPE) into a slit die. J. Non-Newton. Fluid Mech. 2008, 153, 82–94. [Google Scholar] [CrossRef]
- Srivastva, D.; Nikoubashman, A. Flow Behavior of Chain and Star Polymers and Their Mixtures. Polymers 2018, 10, 599. [Google Scholar] [CrossRef] [PubMed] [Green Version]
- Luo, X.L.; Tanner, R.I. A streamline element scheme for solving viscoelastic flow problems. Part I. Differential constitutive equations. J. Non-Newton. Fluid Mech. 1986, 21, 179–199. [Google Scholar] [CrossRef]
- Luo, X.L.; Tanner, R.I. A streamline element scheme for solving viscoelastic flowproblems part II: Integral constitutive models. J. Non-Newton. Fluid Mech. 1986, 22, 61–89. [Google Scholar] [CrossRef]
- Garcia-Rejon, A.; DiRaddo, R.W.; Ryan, M.E. Effect of die geometry and flow characteristics on viscoelastic annular swell. J. Non-Newton. Fluid Mech. 1995, 60, 107–128. [Google Scholar] [CrossRef]
- Ganvir, V.; Gautham, B.P.; Pol, H.; Bhamla, M.S.; Sclesi, L.; Thaokar, R.; Lele, A.; Mackley, M. Extrudate swell of linear and branched polyethylenes: ALE simulations and comparison with experiments. J. Non-Newton. Fluid Mech. 2011, 166, 12–24. [Google Scholar] [CrossRef]
- Tang, D.; Marchesini, F.H.; D’hooge, D.R.; Cardon, L. Isothermal flow of neat polypropylene through a slit die and its die swell: Bridging experiments and 3D numerical simulations. J. Non-Newton. Fluid Mech. 2019, 266, 33–45. [Google Scholar] [CrossRef]
- Tang, D.; Marchesini, F.H.; Cardon, L.; D’hooge, D.R. Three-dimensional flow simulations for polymer extrudate swell out of slit dies from low to high aspect ratios. Phys. Fluids 2019, 31, 093103. [Google Scholar] [CrossRef]
- Hatzikiriakos, S.G.; Heffner, G.; Vlassopoulos, D.; Christodoulou, K. Rheological characterization of polyethylene terephthalate resins using a multimode Phan-Tien-Tanner constitutive relation. Rheol. Acta 1997, 36, 568–578. [Google Scholar] [CrossRef]
- Tang, D.; Marchesini, F.H.; Cardon, L.; D’hooge, D.R. Evaluating the exit pressure method for measurements of normal stress difference at high shear rates. J. Rheol. 2020, 64, 739–750. [Google Scholar] [CrossRef]
- Cox, W.P.; Merz, E.H. Correlation of dynamic and steady flow viscosities. J. Polym. Sci. 1958, 28, 619–622. [Google Scholar] [CrossRef]
- Macosko, C.W.; Larson, R.G.; Knovel, W.C. Rheology: Principles, Measurements, and Applications; VCH: Vancouver, BC, Canada, 1994. [Google Scholar]
- Rizvi, A.; Bae, S.S.; Mohamed, N.M.; Lee, J.H.; Park, C.B. Extensional Flow Resistance of 3D Fiber Networks in Plasticized Nanocomposites. Macromolecules 2019, 52, 6467–6473. [Google Scholar] [CrossRef]
- Taki, K.; Kitano, D.; Ohshima, M. Effect of Growing Crystalline Phase on Bubble Nucleation in Poly(L-Lactide)/CO2 Batch Foaming. Ind. Eng. Chem. Res. 2011, 50, 3247–3252. [Google Scholar] [CrossRef]
- Arefmanesh, A.; Advani, S.G.; Michaelides, E.E. An accurate numerical solution for mass diffusion-induced bubble growth in viscous liquids containing limited dissolved gas. Int. J. Heat Mass Transf. 1992, 35, 1711–1722. [Google Scholar] [CrossRef]
- Papanastasiou, A.C.; Scriven, L.E.; Macosko, C.W. Bubble growth and collapse in viscoelastic liquids analyzed. J. Non-Newton. Fluid Mech. 1984, 16, 53–75. [Google Scholar] [CrossRef]
- Arefmanesh, A.; Advani, S.G.; Michaelides, E.E. A numerical study of bubble growth during low pressure structural foam molding process. Polym. Eng. Sci. 1990, 30, 1330–1337. [Google Scholar] [CrossRef]
- Otsuki, Y.; Kanai, T. Numerical simulation of bubble growth in viscoelastic fluid with diffusion of dissolved foaming agent. Polym. Eng. Sci. 2005, 45, 1277–1287. [Google Scholar] [CrossRef]
- Hu, D.; Zhou, C.; Liu, T.; Chen, Y.; Liu, Z.; Zhao, L. Experimental and numerical study of the polyurethane foaming process using high-pressure CO2. J. Cell. Plast. 2020. [Google Scholar] [CrossRef]
- Wong, A.; Park, C.B. The effects of extensional stresses on the foamability of polystyrene-talc composites blown with carbon dioxide. Chem. Eng. Sci. 2012, 75, 49–62. [Google Scholar] [CrossRef]
- Wong, A.; Guo, Y.; Park, C.B. Fundamental mechanisms of cell nucleation in polypropylene foaming with supercritical carbon dioxide—Effects of extensional stresses and crystals. J. Supercrit. Fluids 2013, 79, 142–151. [Google Scholar] [CrossRef]
- Okolieocha, C.; Raps, D.; Subramaniam, K.; Altstädt, V. Microcellular to nanocellular polymer foams: Progress (2004–2015) and future directions–A review. Eur. Polym. J. 2015, 73, 500–519. [Google Scholar] [CrossRef]
- Kim, Y.; Park, C.B.; Chen, P.; Thompson, R.B. Origins of the failure of classical nucleation theory for nanocellular polymer foams. Soft Matter 2011, 7, 7351–7358. [Google Scholar] [CrossRef] [Green Version]
- Xu, X.; Cristancho, D.E.; Costeux, S.; Wang, Z.-G. Bubble nucleation in polymer–CO2 mixtures. Soft Matter 2013, 9, 9675–9683. [Google Scholar] [CrossRef] [Green Version]
- Park, C.B.; Cheung, L.K.; Song, S.W. The Effect of Talc on Cell Nucleation in Extrusion Foam Processing of Polypropylene with CO2 and Isopentane. Cell. Polym. 1998, 17, 221–251. [Google Scholar]
- Li, H.; Lee, L.J.; Tomasko, D.L. Effect of Carbon Dioxide on the Interfacial Tension of Polymer Melts. Ind. Eng. Chem. Res. 2004, 43, 509–514. [Google Scholar] [CrossRef]
- Wan, C.; Sun, G.; Liu, T.; Esseghir, M.; Zhao, L.; Yuan, W. Rheological properties of HDPE and LDPE at the low-frequency range under supercritical CO2. J. Supercrit. Fluids 2017, 123, 67–75. [Google Scholar] [CrossRef] [Green Version]
- Li, D.; Liu, T.; Zhao, L.; Yuan, W. Controlling sandwich-structure of PET microcellular foams using coupling of CO2 diffusion and induced crystallization. AIChE J. 2012, 58, 2512–2523. [Google Scholar] [CrossRef]
- Lee, S.-T.; Park, C.B. Foam Extrusion: Principles and Practice; CRC Press: Boca Raton, FL, USA, 2014. [Google Scholar]
- Yao, S.; Guo, T.; Liu, T.; Xi, Z.; Xu, Z.; Zhao, L. Good extrusion foaming performance of long-chain branched PET induced by its enhanced crystallization property. J. Appl. Polym. Sci. 2020, 137, 49268. [Google Scholar] [CrossRef]
- Tomé, M.F.; Paulo, G.S.; Pinho, F.T.; Alves, M.A. Numerical solution of the PTT constitutive equation for unsteady three-dimensional free surface flows. J. Non-Newton. Fluid Mech. 2010, 165, 247–262. [Google Scholar] [CrossRef]
- Bogaerds, A.C.B.; Verbeeten, W.M.H.; Peters, G.W.M.; Baaijens, F.P.T. 3D Viscoelastic analysis of a polymer solution in a complex flow. Comput. Methods Appl. Mech. Eng. 1999, 180, 413–430. [Google Scholar] [CrossRef]
- Liang, J.-Z. Melt die-swell behavior of polyoxymethylene blended with ethylene-vinyl acetate copolymer and high-density polyethylene. Polym. Test. 2018, 68, 213–218. [Google Scholar] [CrossRef]














| Parameter | 271 °C | 274 °C | 277 °C | 280 °C | ||||
|---|---|---|---|---|---|---|---|---|
| Low shear region | 1691 | 0.1554 | 1254 | 0.1006 | 642 | 0.0800 | 569 | 0.0436 |
| High shear region | 181 | 0.0126 | 167 | 0.0018 | 125 | 0.0015 | 94 | 0.0009 |
| Temperature | Zone | ||
|---|---|---|---|
| 271 °C | Average | −38,010 | 230,650 |
| Low shear region | −64,210 | 297,190 | |
| High shear region | −10,650 | 164,090 | |
| 274 °C | Average | −36,100 | 163,160 |
| Low shear region | −59,700 | 212,630 | |
| High shear region | −12,750 | 117,060 | |
| 277 °C | Average | −31,560 | 152,430 |
| Low shear region | −52,220 | 199,010 | |
| High shear region | −11,350 | 108,970 | |
| 280 °C | Average | −30,930 | 135,630 |
| Low shear region | −52,180 | 178,830 | |
| High shear region | −9682 | 95,379 |
Publisher’s Note: MDPI stays neutral with regard to jurisdictional claims in published maps and institutional affiliations. |
© 2021 by the authors. Licensee MDPI, Basel, Switzerland. This article is an open access article distributed under the terms and conditions of the Creative Commons Attribution (CC BY) license (https://creativecommons.org/licenses/by/4.0/).
Share and Cite
Yao, S.; Chen, Y.; Ling, Y.; Hu, D.; Xi, Z.; Zhao, L. Analysis of Bubble Growth in Supercritical CO2 Extrusion Foaming Polyethylene Terephthalate Process Based on Dynamic Flow Simulation. Polymers 2021, 13, 2799. https://doi.org/10.3390/polym13162799
Yao S, Chen Y, Ling Y, Hu D, Xi Z, Zhao L. Analysis of Bubble Growth in Supercritical CO2 Extrusion Foaming Polyethylene Terephthalate Process Based on Dynamic Flow Simulation. Polymers. 2021; 13(16):2799. https://doi.org/10.3390/polym13162799
Chicago/Turabian StyleYao, Shun, Yichong Chen, Yijie Ling, Dongdong Hu, Zhenhao Xi, and Ling Zhao. 2021. "Analysis of Bubble Growth in Supercritical CO2 Extrusion Foaming Polyethylene Terephthalate Process Based on Dynamic Flow Simulation" Polymers 13, no. 16: 2799. https://doi.org/10.3390/polym13162799
APA StyleYao, S., Chen, Y., Ling, Y., Hu, D., Xi, Z., & Zhao, L. (2021). Analysis of Bubble Growth in Supercritical CO2 Extrusion Foaming Polyethylene Terephthalate Process Based on Dynamic Flow Simulation. Polymers, 13(16), 2799. https://doi.org/10.3390/polym13162799

