Self-Stable Precipitation Polymerization Molecular Entanglement Effect and Molecular Weight Simulations and Experiments
Abstract
1. Introduction
2. Simulation Method and Results
3. Comparison with Experimental Results
3.1. Experiment Procedure
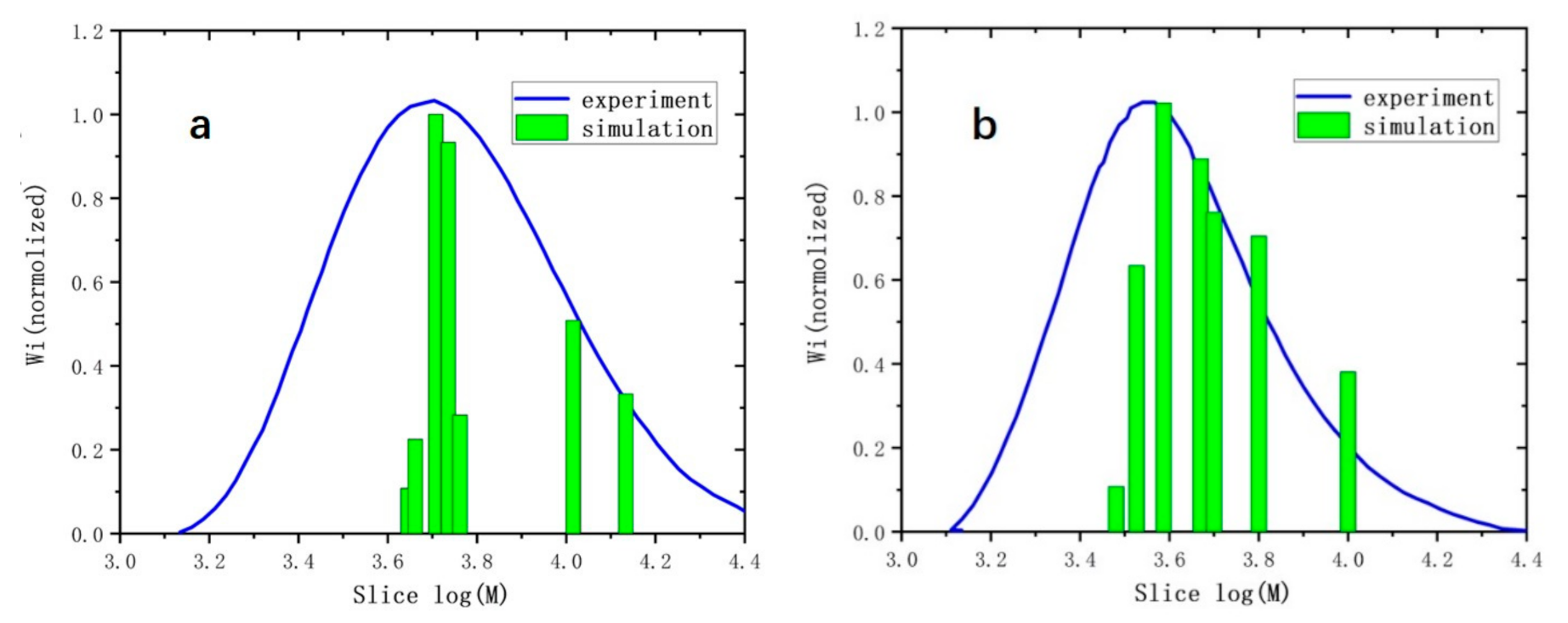
3.2. Comparison of Molecular Weight
4. Conclusions
Author Contributions
Funding
Conflicts of Interest
References
- Yan, Q.; Bai, Y.; Meng, Z. Synthesis of Narrow Disperse Crosslinked Poly(divinylbenzene) Microspheres in Acetic acid via Precipitation Polymerization. Acta. Polym. Sin. 2007, 11, 1102–1104. (In Chinese) [Google Scholar] [CrossRef]
- Yan, Q.; Bai, Y.; Meng, Z.; Yang, W. Precipitation Polymerization in Acetic Acid, Synthesis of Monodisperse Cross-Linked Poly(divinylbenzene) Microspheres. J. Phys. Chem. B 2008, 112, 6914–6922. [Google Scholar] [CrossRef]
- Yan, Q.; Zhao, T.; Bai, Y.; Zhang, F.; Yang, W. Precipitation Polymerization in Acetic Acid, Study of the Solvent Effect on the Morphology of Poly(divinylbenzene). J. Phys. Chem. B 2009, 113, 3008–3014. [Google Scholar] [CrossRef] [PubMed]
- Xing, C.M.; Yang, W.T. Stabilizer-free Dispersion Copolymerization of Maleic Anhydride and Vinyl Acetate. I. Effects of Principal Factors on Microspheres. J. Polym. Sci. Part A Polym. Chem. 2005, 43, 3760–3770. [Google Scholar] [CrossRef]
- Xing, C.M.; Yang, W.T. A novel, facile method for the preparation of uniform, reactive maleic anhydride vinyl acetate copolymer micro- and nanospheres. Macromol. Rapid Commun. 2004, 25, 1568–1574. [Google Scholar] [CrossRef]
- Hao, G.L.; Liu, Z.J.; Deng, J.Y.; Yang, W.T. Nucleation and Particle Growth Mechanism of Monodisperse Microspheres of PSMA in Self-Stable Precipitation Polymerization. J. Beijing Univ. Chem. Technol. (Nat. Sci. Ed.) 2010, 37, 98–102. (In Chinese) [Google Scholar]
- Liu, Z.; Chen, D.; Zhang, J.; Liao, H.; Chen, Y.; Sun, Y.; Deng, J.; Yang, W. Self-Stabilized Precipitation Polymerization and Its Application. Research 2018, 1, 1–12. [Google Scholar] [CrossRef] [PubMed]
- Wang, G.; Zhou, L.; Zhang, P.; Zhao, E.; Zhou, L.; Chen, D.; Sun, J.; Gu, X.; Yang, W.; Tang, B.Z. Fluorescence Self-Reporting Precipitation Polymerization Based on Aggregation-Induced Emission for Constructing Optical Nanoagents. Angew. Chem. 2020, 59, 10122–10128. [Google Scholar] [CrossRef]
- Wang, J.; Liu, K.; Xing, R.; Yan, X. Peptide Self-assembly Thermodynamics and Kinetics. Chem. Soc. Rev. 2016, 45, 5589–5604. [Google Scholar] [CrossRef]
- Srinivas, G.; Shelley, J.C.; Nielsen, S.O.; Discher, D.E.; Klein, M.L. Simulation of Diblock Copolymer Self-Assembly Using a Coarse-Grain Model. J. Phys. Chem. B 2004, 108, 8153–8160. [Google Scholar] [CrossRef]
- Karim, F.; Hossein, A.; Florian, M.; Michael, C. Reactive Molecular Dynamics with Material-Specific Coarse-Grained Potentials Growth of Polystyrene Chains from Styrene Monomers. J. Phys. Chem. B 2010, 114, 13656–13666. [Google Scholar]
- Liu, H.; Zhu, Y.L.; Lu, Z.Y. A kinetic Chain Growth Algorithm in Coarse-grained Simulations. J. Comput. Chem. 2016, 30, 2634–2646. [Google Scholar] [CrossRef]
- Jang, C.; Lacy, T.E.; Gwaltney, S.R.; Toghiani, H.; Pittman, C.U. Relative Reactivity Volume Criterion for Cross-Linking, Application to Vinyl Ester Resin Molecular Dynamics Simulations. Macromolecules 2012, 45, 4876–4885. [Google Scholar] [CrossRef]
- Torres-Knoop, A.; Kryven, I.; Schamboeck, V.; Iedema, P. Modeling the Free-radical Polymerization of Hexanediol Diacrylate (HDDA) a Molecular Dynamics and Graph Theory Approach. Soft Matter 2018, 14, 3404–3414. [Google Scholar] [CrossRef]
- Jiwon, J.; Chanwook, P.; Gun, J.Y. Free Radical Polymerization Simulation and Molecular Entanglement Effect on Large Deformation Behavior. Eur. Polym. J. 2019, 114, 223–233. [Google Scholar]
- Kokubo, T.; Iwatsuki, S.; Yamashita, Y. Studies on Charge-Transfer Complex and Polymerization. XX. Terpolymerizations with the Anethole-Maleic Anhydride Alternating Copolymerization Stystem. Macromolecules 1998, 3, 518–523. [Google Scholar] [CrossRef]
- Sun, H. COMPASS: An ab Initio Force-Field Optimized for Condensed-Phase Applications Overview with Details on Alkane and Benzene Compounds. J. Phys. Chem. B 1998, 102, 7338–7364. [Google Scholar] [CrossRef]
- Berezkin, A.V.; Khalatur, P.G.; Khokhlov, A.R. Computer Modeling of Synthesis of Proteinlike Copolymer via Copolymerization with Simultaneous Globule Formation. J. Chem. Phys. 2003, 118, 8049–8060. [Google Scholar] [CrossRef]
- Berezkin, A.V.; Khalatur, P.G.; Khokhlov, A.R.; Reineker, P. Molecular Dynamics Simulation of the Synthesis of Protein-like Copolymers via Conformation-dependent Design. New J. Phys. 2004, 6, 44. [Google Scholar] [CrossRef][Green Version]
- Zhang, J.F. Preparation of Functional Microspheres of Maleic Anhydride and C5 Fraction by Meta-stable Precipition Polymerization. Master’s Thesis, Beijing University of Chemical Technology, Beijing, China, 15 June 2012. [Google Scholar]
- Sclavons, M.; Franquinet, P.; Carlier, V. Quantification of the Maleic Anhydride Grafted onto Polypropylene by Chemical and Viscosimetric Titrations, and FTIR Spectroscopy. Polymer 2000, 41, 1989–1999. [Google Scholar] [CrossRef]
- Alfred, R.; Howard, L.; Hoegy, W. Universal Calibration in GPC. J. Polym. Sci. Part A-1 Polym. Chem. 1972, 10, 217–235. [Google Scholar]
- Victoria, D.; Herrera-Ordonez, J.; Cristy, L.A.R.; Estevez, M. Autoacceleration in Bulk Free-Radical Polymerization Effect of Chain Transfer. Macromol. Chem. Phys. 2018, 219, 1700434. [Google Scholar] [CrossRef]








| Chain | DP | End-to-End Distance (Å) | Rg (Å) |
|---|---|---|---|
| 1PM1 | 5 | 12 | 5.0 |
| 1PM1 | 10 | 15 | 7.5 |
| 1PM1 | 15 | 18 | 10.1 |
| 1PM1 | 20 | 27 | 11.5 |
| 1PM1 | 25 | 30 | 11.6 |
| 1PM1 | 30(end) | 17 | 10.2 |
| CPM1 | 5 | 10 | 5.0 |
| CPM1 | 10 | 15 | 7.5 |
| CPM1 | 15 | 30 | 10.5 |
| CPM1 | 20(end) | 11 | 9.4 |
| Polymer | DP | Ni |
|---|---|---|
| 1PM | 26 | 1 |
| 1PM | 27 | 2 |
| 1PM | 30 | 8 |
| 1PM | 32 | 7 |
| 1PM | 34 | 2 |
| 1PM | 61 | 2 |
| 1PM | 80 | 1 |
| CPM | 17 | 1 |
| CPM | 20 | 5 |
| CPM | 23 | 7 |
| CPM | 28 | 5 |
| CPM | 30 | 4 |
| CPM | 37 | 3 |
| CPM | 60 | 1 |
| Polymer | Mn (g/mol) | Mw (g/mol) | PDI |
|---|---|---|---|
| 1PMsimulation | 6001 | 7531 | 1.25 |
| 1PMexperiment | 5550 | 7660 | 1.38 |
| CPMsimulation | 4581 | 5028 | 1.10 |
| CPMexperiment | 4517 | 5150 | 1.14 |
Publisher’s Note: MDPI stays neutral with regard to jurisdictional claims in published maps and institutional affiliations. |
© 2021 by the authors. Licensee MDPI, Basel, Switzerland. This article is an open access article distributed under the terms and conditions of the Creative Commons Attribution (CC BY) license (https://creativecommons.org/licenses/by/4.0/).
Share and Cite
Qu, J.; Gao, Y.; Yang, W. Self-Stable Precipitation Polymerization Molecular Entanglement Effect and Molecular Weight Simulations and Experiments. Polymers 2021, 13, 2243. https://doi.org/10.3390/polym13142243
Qu J, Gao Y, Yang W. Self-Stable Precipitation Polymerization Molecular Entanglement Effect and Molecular Weight Simulations and Experiments. Polymers. 2021; 13(14):2243. https://doi.org/10.3390/polym13142243
Chicago/Turabian StyleQu, Jiali, Yi Gao, and Wantai Yang. 2021. "Self-Stable Precipitation Polymerization Molecular Entanglement Effect and Molecular Weight Simulations and Experiments" Polymers 13, no. 14: 2243. https://doi.org/10.3390/polym13142243
APA StyleQu, J., Gao, Y., & Yang, W. (2021). Self-Stable Precipitation Polymerization Molecular Entanglement Effect and Molecular Weight Simulations and Experiments. Polymers, 13(14), 2243. https://doi.org/10.3390/polym13142243

