Abstract
The potential of ammonium lignosulfonate (ALS) as an eco-friendly additive to urea–formaldehyde (UF) resin for manufacturing high-density fiberboard (HDF) panels with acceptable properties and low free formaldehyde emission was investigated in this work. The HDF panels were manufactured in the laboratory with very low UF resin content (4%) and ALS addition levels varying from 4% to 8% based on the mass of the dry wood fibers. The press factor applied was 15 s·mm−1. The physical properties (water absorption and thickness swelling), mechanical properties (bending strength, modulus of elasticity, and internal bond strength), and free formaldehyde emission were evaluated in accordance with the European standards. In general, the developed HDF panels exhibited acceptable physical and mechanical properties, fulfilling the standard requirements for HDF panels for use in load-bearing applications. Markedly, the laboratory-produced panels had low free formaldehyde emission ranging from 2.0 to 1.4 mg/100 g, thus fulfilling the requirements of the E0 and super E0 emission grades and confirming the positive effect of ALS as a formaldehyde scavenger. The thermal analyses performed, i.e., differential scanning calorimetry (DSC), thermal gravimetric analysis (TGA), and derivative thermogravimetry (DTG), also confirmed the main findings of the research. It was concluded that ALS as a bio-based, formaldehyde-free adhesive can be efficiently utilized as an eco-friendly additive to UF adhesive formulations for manufacturing wood-based panels under industrial conditions.
1. Introduction
Due to recent technological and material developments, the wood-based panel industry has become one of the fastest growing industries worldwide [1,2] with an estimated annual production of approximately 357 million m3 in 2019, which represents a 100% increase compared to 2000 [3]. The production of medium-density fiberboard (MDF) and high-density fiberboard (HDF) panels, with a total global production of more than 105 million m3 in 2019, is the second largest worldwide, preceded only by plywood manufacturing [3]. The transition to circular, low-carbon bioeconomy, growing environmental concerns, and strict legislation related to emission of harmful volatile organic compounds (VOCs), such as free formaldehyde from wood-based panels, have posed new requirements related to the development of environmentally friendly wood-based panels [4,5,6,7,8,9], optimization of lignocellulosic resources [10,11,12,13], and use of alternative raw materials [14,15,16,17,18,19].
Conventional thermosetting formaldehyde-based wood adhesives, which represent approximately 95% of the total adhesives used in the wood-based panel industry, are commonly made from fossil-derived constituents, such as urea, phenol, melamine, etc. [20,21,22,23]. Due to their numerous advantages, such as short press times, low press temperatures, high reactivity, water solubility, good adhesion performance, and low price [23,24,25,26], urea–formaldehyde (UF) resins have become the most important type of resins used in the production of wood-based panels with an estimated global annual consumption of approximately 11 million tons of resin solids [25,26,27]. However, the main disadvantage of these thermosetting aminoplastic resins, besides the deteriorated water resistance [28], is the emission of hazardous VOCs, including free formaldehyde release from the finished wood-based panels [29,30], which is related to a number of serious environmental problems and adverse effects on human health, such as skin and eye irritation, respiratory problems, and cancer [31,32,33]. Harmful formaldehyde emissions can be reduced by adding various inorganic, organic, and mineral compounds as formaldehyde scavengers to conventional wood adhesives, such as phosphates, salts, urea, nanoparticles, bark, tannins, etc. [34,35,36,37,38,39,40,41,42,43], by surface treatment of finished wood-based panels [34] or by using eco-friendly, formaldehyde-free adhesive formulations [44,45,46,47,48,49,50,51,52,53,54].
Successful attempts have been made to develop eco-friendly wood panels bonded with sustainable “green” adhesives based on modified tannins [55,56,57], soy [58,59,60], starch [61,62], and lignin [63,64,65,66,67,68,69]. A common disadvantage of all bio-based binders is the need to apply extended press times and the deteriorated dimensional stability of the ready panels [70,71].
Lignin is the largest renewable aromatic polymer in nature and the second most abundant organic material on the planet, preceded only by cellulose [72,73]. Each year, about 50–70 million tons of lignin are obtained as waste or by-product of the pulp and paper industry alone, of which less than 2% is used for manufacturing value-added products [72], while the rest is primarily used for production of energy [72,73,74,75]. Considering the increased production of bioethanol, the total amount of lignin is expected to reach 225 million tons by 2030 [72,73,74,75,76]. Therefore, it is important to identify and develop new approaches and industrial applications of this underutilized raw material. The valorization of lignin as a renewable feedstock for the production of valued-added, bio-based chemicals, including wood adhesives, has gained significant industrial and scientific interest due to its annual renewability and phenolic structure, allowing partial replacement of phenol in phenol–formaldehyde (PF) resins [77,78,79,80,81]. In addition, lignin contains methoxyl, carbonyl, and aliphatic hydroxyl groups that are favorable for modifications, e.g., methylolation and phenolation, aimed at increasing its chemical reactivity to formaldehyde [82].
The extraction of lignin from lignocellulosic biomass can be performed by several technological methods (enzymatic, chemical, and mechanical) to produce different technical lignins. The Kraft pulping process [83], which produces alkali lignin, and sulfite pulping, which produces lignosulfonates [74], are considered among the most effective methods for separation of lignin from wood. Lignosulfonates (LS), obtained using sulfurous acid and sulfite or bisulfite salts containing ammonium, magnesium, calcium, or sodium at different pH levels [84], represent a major share of the total technical lignins produced worldwide with a reported annual production of 1.8 million tons [74]. The water solubility of LS due to the higher degree of sulfonation compared with Kraft lignin, their relatively high molecular weight, and the availability of a large number of functional groups are the main factors affecting the application of LS in wood adhesives. Ammonium lignosulfonates (ALS) are one of the most promising lignin-based products for wood adhesive applications due to increased presence of hydroxyl groups [85,86] and their solubility in organic solvents [86].
The aim of this research study was to investigate the potential of decreasing the UF resin content by incorporating ALS to the adhesive formulation in order to produce low-toxic, environmentally friendly HDF panels from industrial hardwood fibers with physical and mechanical properties complying with the European standard requirements under industrial conditions.
2. Materials and Methods
Industrially produced wood fibers, obtained in factory conditions by the Asplund method using the Defibrator L 46 (Valmet, Stockholm, Sweden) equipment and composed of two hardwood species, namely European beech (Fagus sylvatica L.) and Turkey oak (Quercus cerris L.) at the ratio 2:1, oven dried to 6.1% moisture content, were provided by the factory Welde Bulgaria AD (Troyan, Bulgaria). Fibers were produced by thermomechanical defibration of wood chips by applying steam treatment at a pressure of 0.8 MPa and temperature of 170 °C. The fibers had the following characteristics (factory data): lengths ranging from 1115 to 1260 µm, pulp freeness of 11° SR as determined by the Schopper–Riegler test, and a bulk density of 27 kg·m−3.
The adhesive formulation comprised commercial UF resin (64% dry solids content, 1.16 molar ratio), supplied by the factory Kastamonu Bulgaria AD (Gorno Sahrane, Bulgaria), and a novel ALS additive named D-947L, a product of Borregaard (Sarpsborg, Norway), which had the following properties: total solids content: 48.6%, ammonium content: 4.1%, sodium content: 0.1%, total sulfur content: 6.8%, sugars: 20%, viscosity (cps): 400 at 25 °C, pH: 4.5%, specific gravity: 1.220 g·cm−3, and boiling point: 104 °C.
The dynamic viscosity (mPa.s) of the adhesive formulation was measured using the DV2T-LV rotary viscometer (Brookfield, Middleboro, MA, USA) equipped with a coaxial cylinder precision sample adapter and standard spindle ULA following the standard test method [87]. The viscosity of the UF resin and UF + ALS adhesive mixtures was measured in a torque rate between 30% and 40% at the standard room temperature of 22 °C.
In the laboratory, the HDF panels with dimensions of 400 mm × 400 mm × 6 mm and target density of 910 kg·m−3 were fabricated. In our previous study [66], HDF panels bonded with UF resin and ALS and manufactured in the laboratory at a press factor of 30 s·mm−1 had satisfactory physical and mechanical properties and a markedly low formaldehyde content ranging from 0.7 to 1.0 mg/100 g, in accordance with the standard Perforator method [88]. Thus, in this study, in order to attain the common industrial practice, we tried to further optimize the press factor by applying adhesive formulation composed of UF resin at 4% and three different additions levels (4%, 6%, and 8%) of ALS based on the dry weight of fibers. The UF resin was used at 50% concentration.
Urea (CH4N2O) at 3% based on dry resin and applied at 30% concentration was used as a formaldehyde scavenger. Ammonium sulfate ((NH4)2SO4) at 2% based on dry ALS and at 1.5% based on dry UF resin was used as a hardener at 30% concentration.
The manufacturing parameters of the laboratory-produced HDF panels are given in Table 1.
Table 1.
Manufacturing parameters of HDF panels fabricated from industrial hardwood fibers bonded with UF resin and ALS.
Two control panels (REF 4 and REF 6) bonded with 4% and 6% UF resin based on the dry fibers and without ALS were fabricated. The first control panel (REF 4) was used to evaluate the effect of adding ALS on the panel properties. The second control panel (REF 6) was manufactured with a resin addition level of 6%, which is typical for commercially produced HDF panels [22,89].
Wood fibers were mixed with the adhesive in a high-speed laboratory blender with needle-shaped paddles (prototype, University of Forestry, BG) at 850 min−1. The UF resin or the adhesive mixture of UF resin + ALS was sprayed in the laboratory blender through a 1.5 mm nozzle, followed by injecting a paraffin emulsion (solid content: 60 ± 2%, melting point: 62 °C, oil content: 5–7%, specific gravity: 0.95 g·cm−3) as a hydrophobing agent. The hot-pressing process was performed in a single opening hydraulic press (PMC ST 100, Italy). The press temperature used was 220 °C. The press factor applied was 15 s·mm−1, which is very close to the industrial practice. A four-stage pressing regime with the following pressure values was used: (i) 4.5 MPa for 15 s, (ii) 1.2 MPa for 15 s, (iii) 0.6 MPa for 30 s, and (iv) 1.8 MPa for 30 s. Following the hot pressing, the manufactured panels were conditioned for 7 days at a temperature of 20 ± 2 °C and 65% relative humidity. The pressing regime was selected in accordance with the common industrial practice for production of HDF panels [90].
The physical and mechanical properties of the laboratory-produced HDF panels (Figure 1) were determined according to the standards EN 310, EN 317, EN 322, and EN 323 [91,92,93,94]. The mass of the test specimen was measured using a precision laboratory balance Kern (Kern & Sohn GmbH, Balingen, Germany) with an accuracy of 0.01 g. The dimensions of the test samples were measured using digital calipers with an accuracy of 0.01 mm. Water absorption and thickness swelling tests were carried out by the weight method after 24 h of immersion in water [92]. The mechanical property tests were performed on universal testing machine Zwick/Roell Z010 (Zwick/Roell GmbH, Ulm, Germany). For each property, eight HDF test samples were used for testing.
Figure 1.
HDF panels from industrial hardwood fibers bonded with UF resin and ALS (910 kg·m−3 target density, 6 mm thickness, and three addition levels (4%, 6%, and 8%) of ALS) and control HDF panels (REF 4 and REF 6) bonded with UF resin.
The formaldehyde content of the laboratory-fabricated panels was measured in the laboratory of Kronospan Bulgaria EOOD (Veliko Tarnovo, Bulgaria) on four test samples in accordance with the standard EN ISO 12460-5 [88].
For thermal analyses, DSC (differential scanning calorimetry), TGA (thermal gravimetric analysis), and DTG (derivate thermogravimetry) were used. The samples for thermal analyses were weighed by scales KERN ABT 220-5DM version 1.2 03/2013 (Kern & Sohn GmbH, Balingen, Germany).
The curing process was monitored using DSC 1 (Mettler-Toledo GmbH, Greifensee, Switzerland) equipment. Nitrogen (purity 99%) was used as a carrier gas, and the gas flow rate was 20 mL·min−1. During analysis, the DSC instrument lid was not pierced and was fixed on crucible. This method provides the ability to monitor endothermic and exothermic processes corresponding to the peaks and changes the shape of DSC curves (onset temperature and temperature of peak). Samples were heated from 25 to 210 °C at a heating rate of 10 °C/min under a nitrogen flow rate of 50 mL/min. Approximately 25 mg of oven-dried samples was used to carry out each analysis. Curve analysis was performed using the STAR® 9.3 (Mettler-Toledo GmbH, Greifensee, Switzerland) thermal analysis evaluation software.
TGA was used to monitor changes in the weight of the adhesive formulation samples as a function of temperature. This method provides information on thermal oxidative degradation rates and temperatures of polymeric materials. TGA was used together with DTG to identify and quantitatively analyze the chemical composition of substances. The device Mettler Toledo TGA/DSC 2 (Mettler-Toledo GmbH, Greifensee, Switzerland) was used to analyze the thermal stability of adhesive samples. TGA and DTG measurements were carried out in an alumina crucible with lids, diameter of 6 mm, and length of 4.5 mm. Around 20 mg of each adhesive formulation was placed in a 70 µL crucible and heated from room temperature to 200 °C at the heating rate of 10 °C/min under a flowing nitrogen atmosphere. Gas flow was 20 mL·min−1. The isothermal part occurred after reaching 200 °C in 5 min, then increased to 210 °C at the rate 15 °C/min.
Variation and statistical analyses of the results were performed using the specialized QstatLab 6.0 software. Hierarchical cluster analysis was carried out by SPSS/18 software (IBM, USA, 2009) to categorize the treatments and to find out similarities based on all properties measured in this study. Contour and surface plots were designed using Minitab software, version 16.2.2 (2010; Minitab Inc., State College, PA, USA).
3. Results and Discussion
3.1. Adhesive Mixture Viscosity
The dynamic viscosity (mPa.s) of the UF resin and adhesive mixtures used (UF resin + ALS) has a strong effect on its application to wood fibers. Different average dynamic viscosity values were determined with different addition levels (4%, 6%, and 8%) of ALS (Table 2).
Table 2.
Average dynamic viscosity values (mPa.s) of adhesive formulations used in this work.
The results showed that the addition of ALS to the UF resin resulted in increased dynamic viscosity values of the adhesive mixture. At all addition levels of ALS, the adhesive mixture was homogenous and easy to apply to wood fibers.
3.2. Physical and Mechanical Properties
The results obtained for the physical and mechanical properties of the laboratory-fabricated HDF panels bonded with adhesive formulation comprising UF resin and ALS (D-947L) are presented below. The density of the HDF panels, presented in Table 3, varied from 910 to 917 kg·m−3, i.e., close to the targeted value of 910 kg·m−3.
Table 3.
Density of HDF panels produced in this work.
The difference between the panel with the highest density value (HDF Type 3) and the panel with the lowest determined density (HDF Type 2) was below 0.8%. The calculated p-value of the t-test performed between the respective density values was 0.71, i.e., greater than 0.05. Thus, it can be concluded that the difference between the densities was not statistically significant.
Water absorption (WA) and thickness swelling (TS) are critical physical properties of wood-based panels and are strongly correlated with the dimensional stability of laboratory-fabricated HDF panels [20,95,96,97]. Both properties were evaluated after 24 h of soaking in water.
A graphical representation of the WA (24 h) of the laboratory-fabricated HDF panels is shown in Figure 2.
Figure 2.
Water absorption (24 h) of the HDF panels produced. REF 4: 4% UF resin; HDF Type 1: 4% UF resin and 4% ALS; HDF Type 2: 4% UF resin and 6% ALS; HDF Type 3: 4% UF resin and 8% ALS; and REF 6: 6% UF resin. (Error bar represents the standard deviation.).
WA values of the laboratory-produced HDF panels varied from 53.2% to 41.5%. The highest WA values were obtained for the control panel fabricated with UF resin (REF 4), and the lowest values were obtained for the panel bonded with 4% UF resin and 6% ALS (HDF Type 2). The HDF panels produced with 4% ALS and 6% ALS had 1.23 times and 1.28 times lower WA values than the control panel (REF 4), respectively. In addition, these laboratory panels had WA values comparable with the control panel fabricated with 6% UF resin (REF 6). The HDF panel fabricated with 8% ALS was characterized by 1.13 times higher WA values compared with the panel bonded with 6% ALS addition. This might be attributed to the greater moisture content of the wood fibers caused by the increased ALS content, which led to reduced bonds between the lignosulfonate and hardwood fibers for the conditions used in the experiment (press factor of 15 s·mm−1). The WA values obtained were significantly better in comparison with previous studies on the use of lignosulfonates as bio-based, formaldehyde-free wood adhesives [66,67,68,69,70,71,97,98,99].
WA is not a standardized physical property of wood-base panels. According to literature data [22,99] common HDF panels have WA values typically ranging from 30% to 45%. Thus, the HDF panels produced in the laboratory from industrial hardwood fibers and bonded with an adhesive formulation comprising UF resin and ALS addition of 4% and 6% demonstrated WA values comparable with industrial HDF panels bonded with conventional synthetic adhesives [100,101].
A graphical representation of the TS (24 h) of the laboratory-fabricated HDF panels is shown in Figure 3.
Figure 3.
Thickness swelling (24 h) of HDF panels produced. REF 4: 4% UF resin; HDF Type 1: 4% UF resin and 4% ALS; HDF Type 2: 4% UF resin and 6% ALS; HDF Type 3: 4% UF resin and 8% ALS; and REF 6: 6% UF resin. (Error bar represents the standard deviation, and the red line represents the EN 622-5 standard requirement for load-bearing panels for use in dry conditions [102]).
As seen in Figure 3, the TS values of laboratory-fabricated HDF panels ranged from 33.4% to 23.3%. The addition of 4% ALS resulted in significantly improved (lower) TS values by 1.34 times compared to the control panel REF 4. Increasing the ALS content from 4% to 6% led to slightly better TS values that was comparable with the respective values of the control panel produced with 6% UF resin (REF 6). The HDF panel bonded with 8% ALS exhibited deteriorated (increased) TS values. This confirmed that increasing the ALS content over 6% at the press factor of 15 s·mm−1 resulted in deteriorated water-related properties of the panels. The high TS values may also be explained by the highly hygroscopic nature of fiberboard panels [103,104].
The TS values of the laboratory-made HDF panels were significantly better compared to the results obtained in previous studies on the application of lignosulfonates as adhesives in wood composites [66,78,97,98]. The HDF panels produced in this work with 4% and 6% ALS addition levels showed TS values comparable with the results reported in previous studies using UF resin with a similar molar ratio (1.17) [100] or UF resin modified with melamine [101]. Markedly, all laboratory-produced HDF panels had considerably better TS values than the standard requirement for load-bearing panels for use in dry conditions, i.e., 30% [102].
In terms of mechanical properties, the modulus of elasticity (MOE), bending strength (MOR), and internal bond (IB) strength of the laboratory-fabricated HDF panels were determined.
A graphical representation of the mean MOE values of the different HDF panels produced in this work is shown in Figure 4.
Figure 4.
Modulus of elasticity (MOE) of HDF panels produced. REF 4: 4% UF resin; HDF Type 1: 4% UF resin and 4% ALS; HDF Type 2: 4% UF resin and 6% ALS; HDF Type 3: 4% UF resin and 8% ALS; and REF 6: 6% UF resin. (Error bar represents the standard deviation, and the red line represents the EN 622-5 standard requirement for panels for use in load-bearing applications [102]).
The HDF panels bonded with UF resin and ALS as an eco-friendly additive exhibited MOE values ranging from 2892 to 3860 N·mm−2. The estimated MOE values of the laboratory panels fabricated with 4% and 6% ALS addition levels surpassed the most stringent European standard requirement for panels used in load-bearing applications (≥3000 N·mm−2) [102] by 24.1% and 28.7%, respectively, and had greater MOE values than the control panel produced with 6% UF resin only (REF 6). This may be attributed to the increased elasticity of the panels bonded with bio-based adhesives and especially with lignin-based binders [105]. The addition of 4% ALS to the UF resin resulted in improved MOE values compared with the control HDF panel fabricated with 4% UF resin as a binder (REF 4). Increasing the ALS content from 4% to 6% resulted in a slightly improved MOE values by 3.7%. Further increase of ALS addition to 8% resulted in deteriorated (lower) MOE values by 22% compared with the panel bonded with 6% ALS, i.e., the applied press factor of 15 s·mm−1 was not sufficient for the creation of adequate adhesive bonds between the ALS and wood fibers. The determined MOE values of the laboratory panels were comparable or greater than the results reported in previous studies on the application of lignosulfonates as wood adhesives [78,97,98], achieved at almost 9 times shorter press factor and without further processing of the panels. Comparable MOE values were reported by the authors of [66] in their research on the development of environmentally friendly HDF panels bonded with low UF resin content (3%) and ALS addition levels ranging from 6% to 10% based on dry fibers but at a press factor twice as long as that applied here. In the same work, the authors reported higher MOE values of the panels achieved at 10% ALS content.
A graphical representation of the MOR values of the laboratory-produced HDF panels is presented in Figure 5.
Figure 5.
Bending strength (MOR) of HDF panels produced. REF 4: 4% UF resin; HDF Type 1: 4% UF resin and 4% ALS; HDF Type 2: 4% UF resin and 6% ALS; HDF Type 3: 4% UF resin and 8% ALS; and REF 6: 6% UF resin. (Error bar represents the standard deviation, and the red line represents the EN 622-5 standard requirement for panels for use in load-bearing applications [102].).
The HDF panels exhibited MOR values ranging from 25.25 to 36.84 N·mm−2. According to [106], MOE and MOR values of HDF panels are strongly correlated with the fiber dimensions. The authors pointed to the wood species and the digester technical parameters, i.e., press temperature, pressure applied, and time, as the most important factors affecting the physical and mechanical properties of HDF panels. In addition, MOE and MOR values of fiberboards are positively affected by increased panel density [107,108]. The maximum MOR value achieved in this work, i.e., 36.84 N·mm−2, was determined at 4% UF resin content and 6% ALS addition (HDF Type 2 panel). The addition of 4% ALS to the UF resin resulted in significant improvement of the MOR values by almost 43% compared to the control panel fabricated with 4% UF resin (REF 4). Increasing the ALS content from 4% to 6% resulted in a slightly improved MOR values by 2.4%. The laboratory panels fabricated with 4% and 6% ALS content exceeded the EN 622-5 standard requirements for HDF panels for use in load-bearing applications (≥29 N·mm−2) [102] by 24% and 27%, respectively, and had slightly greater MOR values than the control panel manufactured with 6% UF resin (REF 6).
A graphical representation of the mean IB strength of the laboratory-produced HDF panels is shown in Figure 6.
Figure 6.
Internal bond (IB) of HDF panels produced. REF 4: 4% UF resin; HDF Type 1: 4% UF resin and 4% ALS; HDF Type 2: 4% UF resin and 6% ALS; HDF Type 3: 4% UF resin and 8% ALS; and REF 6: 6% UF resin. (Error bar represents the standard deviation, and the red line represents the EN 622-5 standard requirement for panels for use in load-bearing applications [102].).
The IB values of HDF panels varied from 0.52 to 0.72 N·mm−2. The addition of 4% ALS to the UF resin resulted in significantly improved IB values by approximately 33% compared with the control panel bonded with 4% UF resin and without ALS (REF 4). Similar to the MOE and MOR results, increasing the ALS content from 4% to 6% resulted in a slightly improved IB values by 4.4%. The HDF panels produced with 4% and 6% ALS addition exhibited IB values rather close to the most stringent European standard requirement for HDF panels for use in load-bearing applications (≥0.7 N·mm−2) [102]. Only the laboratory panel manufactured with 6% ALS met this requirement. As reported in [109], the addition of ALS significantly reduces the interfacial tension and free energy, thus improving the mechanical properties of wood-based panels. The panel manufactured with 8% ALS exhibited deteriorated IB values, which confirmed that the press factor of 15 s·mm−1 was insufficient for this ALS addition level. In general, the IB values of HDF panels produced in this work were comparable or slightly higher than the values reported in [66], which might be attributed to the increased UF resin content from 3% to 4%. The results obtained are also comparable to similar studies using conventional synthetic resins [101]. According to previous research [110,111], the IB of fiberboards is mostly affected by the core density and not by the processing parameters.
Contour and surface plots illustrated a smooth trend and high relationship between the physical and mechanical properties measured in the present research study (Figure 7A,B). The clear decreasing trend in WA values in the contour plot (Figure 7A) was associated with the increasing trend in both mechanical properties of IB and MOE, indicating that utilization of proper ALS content (up to 6%) would provide improved effects on all physical and mechanical properties. Moreover, cluster analysis demonstrated close clustering of Type 1 and 2 panels with panel REF 6 (Figure 8). This indicated that one of the main objectives of the present study was achieved, that is, addition of ALS improved the physical and mechanical properties of panels with only 4% UF resin to levels similar to those of panels with 6% UF resin (panel type REF 6). Cluster analysis also showed close clustering of Type 3 panels (with 8% ALS) with REF 4 panels. This clearly indicates that the improving effect of ALS is dependent on its content level, that is, in HDF panels with 4% UF resin, an increase in binding and properties can be expected in panels with up to 6% ALS content, while a further increase in ALS content would result in deterioration of the properties. Based on the results of the tests, it can be concluded that Type 2 HDF panels with 4% UF resin and 6% ALS can be recommended to achieve optimum physical and mechanical properties as well as reduce formaldehyde emission.
Figure 7.
Contour (A) and surface (B) plots in the six different HDF panels produced. REF 4: 4% UF resin; HDF Type 1: 4% UF resin and 4% ALS; HDF Type 2: 4% UF resin and 6% ALS; HDF Type 3: 4% UF resin and 8% ALS; and REF 6: 6% UF resin. (IB = internal bond; MOE = modulus of elasticity; WA 24 h = water absorption after 24 h of immersion in water).
Figure 8.
Cluster analysis based on all physical and mechanical properties as well formaldehyde emission between the six different HDF panels produced. REF 4: 4% UF resin; HDF Type 1: 4% UF resin and 4% ALS; HDF Type 2: 4% UF resin and 6% ALS; HDF Type 3: 4% UF resin and 8% ALS; and REF 6: 6% UF resin.
3.3. Free Formaldehyde Content
The results for the free formaldehyde content of the laboratory-fabricated HDF panels, determined in accordance with the standard EN ISO 12460-5 (called the Perforator method) [88], are presented in Figure 9.
Figure 9.
Free formaldehyde emission in the HDF panels produced: REF 4: 4% UF resin; HDF Type 1: 4% UF resin and 4% ALS; HDF Type 2: 4% UF resin and 6% ALS; HDF Type 3: 4% UF resin and 8% ALS; and REF 6: 6% UF resin. (Error bar represents the standard deviation, the red line represents the emission class E0 requirement, and the blue line represents the requirement of the emission class super E0.).
All laboratory-produced HDF panels from industrial wood fibers bonded with UF resin and ALS (D-947L) exhibited remarkably low formaldehyde content, fulfilling the requirements of the E0 emission category, i.e., ≤4 mg/100 g oven dry (o.d.) [5,52]. The lowest formaldehyde content of 1.4 ± 0.1 mg/100 g was measured for the HDF panel bonded with 4% UF resin and 8% ALS addition level, fulfilling the requirements of the super E0 emission class (≤1.5 mg/100 g). This also confirmed that the ALS additive acted as a formaldehyde scavenger [42]. Due to the high amount of phenolic hydroxyl groups, ALS has very good reactivity towards formaldehyde [109,112,113]. According to the formaldehyde content results, the control HDF panels bonded with 4% and 6% UF resin only were classified under emission grade E1 (≤8 mg/100 g) [22]. The addition of 4% ALS to the UF resin resulted in a significant decrease in free formaldehyde content by 68.8% compared to the control HDF panel fabricated with 4% UF resin (REF 4). The increased addition of 6% and 8% of ALS in the adhesive formulation resulted in a decrease in formaldehyde content by 73.4% and 78.1%, respectively. The results obtained are in agreement with previous studies on the use of lignosulfonates in wood adhesive applications, which also reported decreased formaldehyde content of the developed composites [65,85,113,114,115].
3.4. Thermal Analyses
3.4.1. DSC
The DSC method was used to analyze the curing behavior of the adhesives and to explain the effect of ALS addition to UF adhesive mixture (Figure 10, Table 4). The curing temperature is an important parameter because it determines if the adhesive is fully cured during pressing and also in processes like extrusion, such as in carbon fiber production [116,117,118]. The reference sample (UF) had an exothermic curing peak of 110 °C, which can be attributed to the heat released from the polycondensation reaction of primary amino groups of free urea with hydroxymethyl groups [119]. With the addition of ALS, the curing temperature increased regardless of the addition level, which indicates lower reactivity [120]. According to the literature, the curing peak of different lignin types of resins varies between 130 and 150 °C [121,122]. Our results are slightly lower due to UF and due to the hydrophilicity of this lignin type and the slightly retarding effect on curing of adhesive [123,124]. High water absorptivity results in increased viscosity of the adhesive mixture, which reduces the diffusion and mobility of UF resin molecules. Subsequently, their reactive groups decrease with an increase in molecular weight, which results in crosslinking in the curing process [125,126,127,128,129]. The onset of exothermic event was at about 105 °C, which could be indicative of the involvement of carbohydrates being formed.
Figure 10.
DSC heat of reaction thermograms of adhesive systems (black: UF, red: HDF Type 1, blue: HDF Type 2, green: HDF Type 3).
Table 4.
DSC results of adhesive systems used in this work.
The reaction enthalpy increased with increasing ALS content up to 8%. Too much ALS partly inhibited the curing reaction of the resin. The lignin part of ALS reacted with free formaldehyde in the adhesive system, leading to its significant decrease as demonstrated in Section 3.3. This result was confirmed in previous research [130,131]. Further decrease in free formaldehyde negatively influenced the reaction enthalpy due to the degree of crosslinking of the resin, which resulted in more active curing of UF [132,133,134].
3.4.2. TGA and DTG
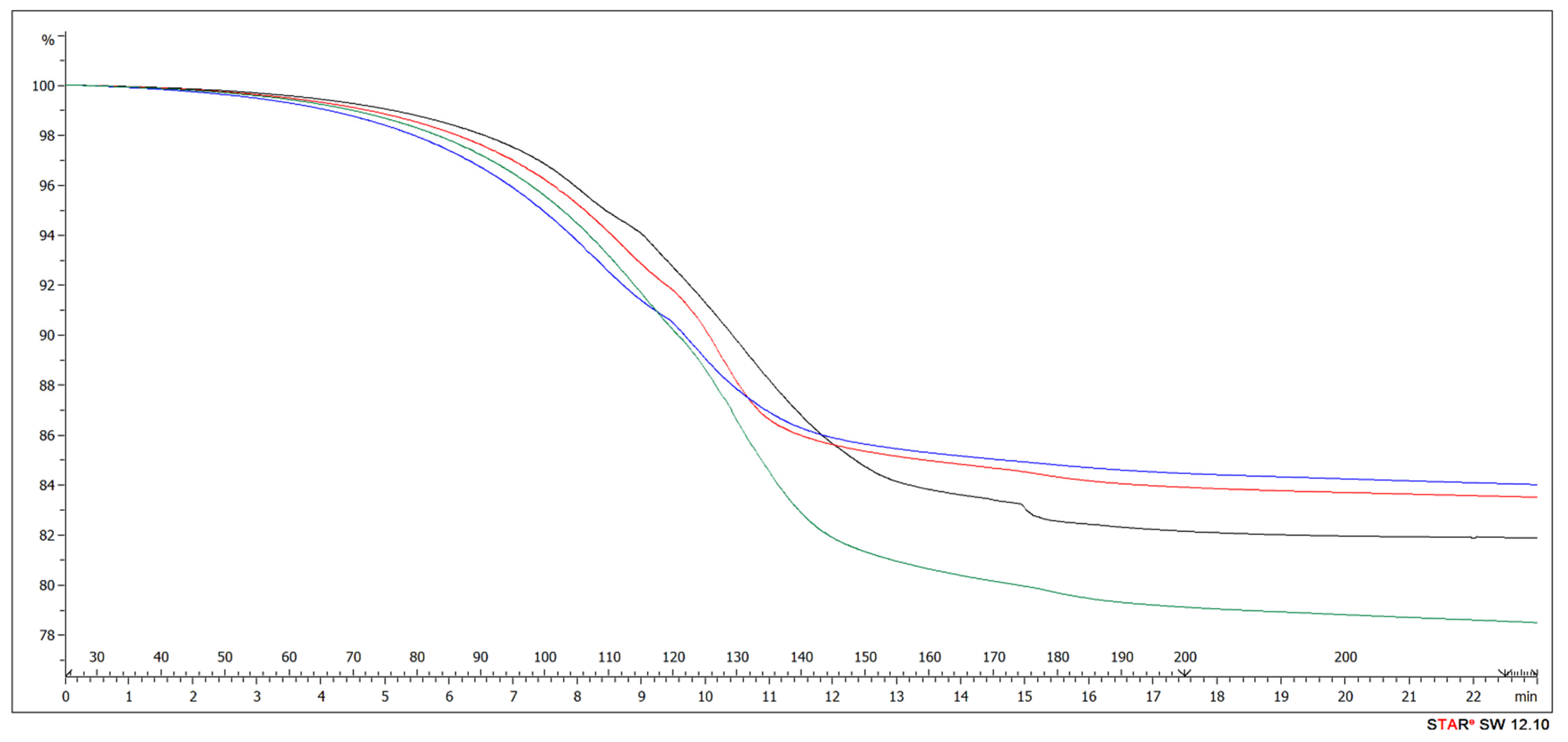
TGA and DTG analyses were performed to evaluate the effectiveness of ALS addition to UF resin and its influence on thermal stability. The sequence of degradation of adhesive mixtures used in REF 4 and HDF Type 1 panels had two main stages (Figure 11).
Figure 11.
TGA (top) and DTG (bottom) curves of UF (black) and HDF Type 1 (red) samples.
The first degradation stage corresponded to mass losses caused by evaporation of water with increasing temperature. Initial mass losses were observed at temperatures below 150 °C, which can be associated with the removal of physically bound moisture from the lignin samples and partial volatilization during polymer chemical modification. The main weight loss occurred due to depolymerization and glass transition of ALS between 170 and 360 °C [135,136] together with formaldehyde and water release due to further reactions between the methylol groups [137,138] and ALS reaction with the free formaldehyde in the system. The visible peak at 175 °C for UF resin might correspond with no absorption of the released formaldehyde by lignin in ALS [139]. The peak temperature at about 250 °C might be associated with degradation of hemicelluloses and, at higher temperatures, with the fragmentation of interunit linkages and release of monomeric phenols [140,141,142].
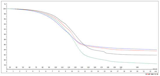
Deeper analysis of TGA using the isothermal section was performed to determine the behavior of the resin in case of extended time of pressing at 200 °C. The addition of ALS to UF resin (HDF Type 1 and HDF Type 2 samples provided the best results) significantly reduced the weight loss during the curing of resin at temperatures below 200 °C (Figure 12). No processes other than drying of samples were confirmed.
Figure 12.
Left part: TGA curves to 200 °C of UF (black: UF, red: HDF Type 1, blue: HDF Type 2, green: HDF Type 3). Right part: isothermal section at the temperature of 200 °C.
4. Conclusions
Eco-friendly HDF panels with satisfactory physical and mechanical properties and a markedly low free formaldehyde emission can be produced from industrial hardwood fibers bonded with low content (4%) of conventional UF resin and ALS addition levels ranging from 4% to 8% (on the dry wood fibers) under industrial conditions (15 s·mm−1). In this research, it was possible to reduce the press factor by 100% by changing the proportions of the input components in the pressing process compared to our previous research [66]. The laboratory-produced HDF panels bonded with 4% and 6% ALS addition fulfilled the strictest standard requirements for HDF panels for use in load-bearing applications. The adhesive formulation composed of 4% UF resin and 4% ALS addition resulted in optimal panel performance. The formaldehyde emission of the panels produced with an adhesive formulation comprising UF resin and ALS additive was very low, varying from 2.0 ± 0.1 mg/100 g to 1.4 ± 0.1 mg/100 g as measured according to Perforator method [88], which allowed for their classification as eco-friendly wood-based panels. The strong formaldehyde scavenging properties of ALS were empirically proven, with a three-fold reduction of free formaldehyde emission being achieved even at the lowest ALS addition level of 4%. The laboratory-fabricated HDF panels with 4% UF resin and ALS content >6% exhibited deteriorated physical and mechanical properties due to the increased moisture content of wood fibers and the short press factor applied (15 s·mm−1). The use of lignosulfonates as formaldehyde-free, lignin-based compounds along with conventional UF resins is a promising approach for manufacturing environmentally friendly HDF panels with acceptable properties as sustainable alternatives to traditional wood-based panels. Future studies should be aimed at further optimizing the pressing regimes, modifying the lignosulfonate additives in order to increase their reactivity towards formaldehyde, and systematically investigating the bonding mechanism between the thermosetting resin, lignosulfonate additives, and wood fibers.
Author Contributions
Conceptualization, P.A., N.T., H.R.T., A.P., and R.R.; methodology, P.A., V.S., R.R., and H.R.T.; validation, P.A., Ľ.K., R.R., A.N.P., and A.P.; investigation, P.A., V.S., D.K., and M.P.; resources, P.A., V.S., and N.T.; writing—original draft preparation, P.A., Ľ.K., R.R., and A.N.P.; writing—review and editing, P.A., Ľ.K., and A.N.P.; visualization, P.A. and V.S.; supervision, P.A.; project administration, P.A. and N.T.; funding acquisition, P.A. All authors have read and agreed to the published version of the manuscript.
Funding
This research was supported by Project No. HИC-Б-1145/04.2021 “Development, Properties and Application of Eco-Friendly Wood-Based Composites” carried out at the University of Forestry, Sofia, Bulgaria.
Data Availability Statement
Not applicable.
Acknowledgments
The authors would like to thank (i) Borregaard (Sarpsborg, Norway) for kindly providing the ammonium lignosulfonate used; (ii) Welde Bulgaria AD (Troyan, Bulgaria) for supplying the industrial wood fibers; (iii) Kastamonu Bulgaria AD (Gorno Sahrane, Bulgaria) for providing the urea–formaldehyde resin; and (iv) Kronospan Bulgaria EOOD (Veliko Tarnovo, Bulgaria) for testing the free formaldehyde content of the HDF samples. This research was also supported by the Slovak Research and Development Agency under Contract Nos. APVV-18-0378, APVV-19-0269, and VEGA1/0717/19.
Conflicts of Interest
The authors declare no conflict of interest.
References
- Neykov, N.; Kitchoukov, E.; Simeonova-Zarkin, T.; Halalisan, A.F. Economic efficiency estimation of innovations in combined forestry and wood processing units in Bulgaria through certification in FSC chain of custody. In Innovation in Sustainable Management and Entrepreneurship, Proceedings of the II International Conference on Simulation Additive Manufacturing 2019 (SIM 2019), Pavia, Italy, 11–13 September 2019; Prostean, G., LaviosVillahoz, J., Brancu, L., Bakacsi, G., Eds.; Springer Proceedings in Business and Economics; Springer: Cham, Switzerland, 2020. [Google Scholar] [CrossRef]
- Sedliačiková, M.; Stroková, Z.; Klementová, J.; Šatanová, A.; Moresová, M. Impacts of behavioral aspects on financial decision-making of owners of woodworking and furniture manufacturing and trading enterprises. Acta Fac. Xylologiae Zvolen 2020, 62, 165–176. [Google Scholar]
- Forest Product Statistics. Available online: http://www.fao.org/forestry/statistics/ (accessed on 14 May 2021).
- Ninikas, K.; Mitani, A.; Koutsianitis, D.; Ntalos, G.; Taghiyari, H.R.; Papadopoulos, A.N. Thermal and Mechanical Properties of Green Insulation Composites Made from Cannabis and Bark Residues. J. Compos. Sci. 2021, 5, 132. [Google Scholar] [CrossRef]
- Pizzi, A. Recent developments in eco-efficient bio-based adhesives for wood bonding: Opportunities and issues. J. Adhes. Sci. Technol. 2006, 20, 829–846. [Google Scholar] [CrossRef]
- Dukarska, D.; Pędzik, M.; Rogozińska, W.; Rogoziński, T.; Czarnecki, R. Characteristics of straw particles of selected grain species purposed for the production of lignocellulose particleboards. Part. Sci. Technol. 2021, 39, 213–222. [Google Scholar] [CrossRef]
- Makovicka Osvaldova, L.; Markova, I.; Jochim, S.; Bares, J. Experimental Study of Straw-Based Eco-Panel Using a Small Ignition Initiator. Polymers 2021, 13, 1344. [Google Scholar] [CrossRef]
- Boussetta, A.; Ablouh, E.; Benhamou, A.; Taourirte, M.; Moubarik, A. Valorization of Moroccan brown seaweeds: Elaboration of formaldehyde-free particleboards based on sodium alginate–corn-starch—Mimosa tannin wood adhesives. Int. J. Adhes. Adhes. 2021, 108, 102894. [Google Scholar] [CrossRef]
- Taghiyari, H.R.; Tajvidi, M.; Taghiyari, R.; Mantanis, G.I.; Esmailpour, A.; Hosseinpourpia, R. Nanotechnology for Wood Quality Improvement and Protection. In Nanomaterials for Agriculture and Forestry Applications; Husen, A., Jawaid, M., Eds.; Elsevier: Amsterdam, The Netherlands, 2020; pp. 469–489. [Google Scholar]
- Iždinský, J.; Vidholdová, Z.; Reinprecht, L. Particleboards from Recycled Wood. Forests 2020, 11, 1166. [Google Scholar] [CrossRef]
- Ihnát, V.; Lübke, H.; Russ, A.; Pažitný, A.; Borůvka, V. Waste agglomerated wood materials as a secondary raw material for chipboards and fibreboards. Part II: Preparation and characterization of wood fibres in terms of their reuse. Wood Res. 2018, 63, 431–442. [Google Scholar]
- Kminiak, R.; Orlowski, K.A.; Dzurenda, L.; Chuchala, D.; Banski, A. Effect of Thermal Treatment of Birch Wood by Saturated Water Vapor on Granulometric Composition of Chips from Sawing and Milling Processes from the Point of View of Its Processing to Composites. Appl. Sci. 2020, 10, 7545. [Google Scholar] [CrossRef]
- Lubke, H.; Ihnát, V.; Kuňa, V.; Balberčák, J. A Multi-Stage Cascade Use of Wood Composite Boards. Wood Res. 2020, 65, 843–854. [Google Scholar] [CrossRef]
- Barbu, M.C.; Sepperer, T.; Tudor, E.M.; Petutschnigg, A. Walnut and Hazelnut Shells: Untapped Industrial Resources and Their Suitability in Lignocellulosic Composites. Appl. Sci. 2020, 10, 6340. [Google Scholar] [CrossRef]
- Hejna, A.; Marć, M.; Kowalkowska-Zedler, D.; Pladzyk, A.; Barczewski, M. Insights into the Thermo-Mechanical Treatment of Brewers’ Spent Grain as a Potential Filler for Polymer Composites. Polymers 2021, 13, 879. [Google Scholar] [CrossRef] [PubMed]
- de Carvalho Araújo, C.; Salvador, R.; Piekarski, C.; Sokulski, C.; de Francisco, A.; Camargo, S. Circular Economy Practices on Wood Panels: A Bibliographic Analysis. Sustainability 2019, 11, 1057. [Google Scholar] [CrossRef] [Green Version]
- Taghiyari, H.R.; Majidi, R.; Esmailpour, A.; Sarvari Samadi, Y.; Jahangiri, A.; Papadopoulos, A.N. Engineering composites made from wood and chicken feather bonded with UF resin fortified with wollastonite: A novel approach. Polymers 2020, 12, 857. [Google Scholar] [CrossRef] [PubMed] [Green Version]
- Küçüktüvek, M.; Kasal, A.; Kuşkun, T.; Erdil, Y.Z. Utilizing poppy husk-based particleboards as an alternative material in case furniture construction. BioResources 2017, 12, 839–852. [Google Scholar] [CrossRef] [Green Version]
- Taghiyari, H.R.; Arbabi Ghamsari, F.; Salimifard, E. Effects of adding nano-wollastonite, date palm prunings and two types of resins on the physical and mechanical properties of medium-density fiberboard (MDF). Bois For. Trop. 2018, 335, 49–57. [Google Scholar] [CrossRef]
- Youngquist, J.A. Wood-Based Composites and Panel Products. In Wood Handbook: Wood as an Engineering Material; USDA Forest Service, Forest Products Laboratory: Madison, WI, USA, 1999; pp. 1–31. [Google Scholar]
- Wibowo, E.S.; Lubis, M.A.R.; Park, B.D.; Kim, J.S.; Causin, V. Converting crystalline thermosetting urea-formaldehyde resins to amorphous polymer using modified nanoclay. J. Ind. Eng. Chem. 2020, 87, 78–89. [Google Scholar] [CrossRef]
- Mantanis, G.I.; Athanassiadou, E.T.; Barbu, M.C.; Wijnendaele, K. Adhesive systems used in the European particleboard, MDF and OSB industries. Wood Mater. Sci. Eng. 2018, 13, 104–116. [Google Scholar] [CrossRef]
- Kumar, R.N.; Pizzi, A. Environmental Aspects of Adhesives–Emission of Formaldehyde. In Adhesives for Wood and Lignocellulosic Materials; Wiley-Scrivener Publishing: Hoboken, NJ, USA, 2019; pp. 293–312. [Google Scholar]
- Dae, P.B.; Woo, K.J. Dynamic mechanical analysis of urea-formaldehyde resin adhesives with different formaldehyde-to-urea molar ratios. J. Appl. Polym. Sci. 2008, 108, 2045–2051. [Google Scholar]
- Pizzi, A.; Papadopoulos, A.; Policardi, F. Wood Composites and Their Polymer Binders. Polymers 2020, 12, 1115. [Google Scholar] [CrossRef] [PubMed]
- Bekhta, P.; Sedliačik, J.; Noshchenko, G.; Kačík, F.; Bekhta, N. Characteristics of Beech Bark and its Effect on Properties of UF Adhesive and on Bonding Strength and Formaldehyde Emission of Plywood Panels. Eur. J. Wood Prod. 2021, 79, 423–433. [Google Scholar] [CrossRef]
- Dunky, M. Adhesives in the Wood Industry. In Handbook of Adhesive Technology; Pizzi, A., Mittal, K.L., Eds.; Marcel Dekker: New York, NY, USA, 2003; Chapter 47; pp. 872–941. [Google Scholar]
- Kumar, R.N.; Pizzi, A. Urea-Formaldehyde Resins. In Adhesives for Wood and Lignocellulosic Materials; Wiley-Scrivener Publishing: Hoboken, NJ, USA, 2019; pp. 61–100. [Google Scholar]
- Łebkowska, M.; Radziwiłł, M.Z.; Tabernacka, A. Adhesives based on formaldehyde—Environmental problems. BioTechnologia 2017, 98, 53–65. [Google Scholar] [CrossRef] [Green Version]
- Mirski, R.; Bekhta, P.; Dziurka, D. Relationships between Thermoplastic Type and Properties of Polymer-Triticale Boards. Polymers 2019, 11, 1750. [Google Scholar] [CrossRef] [PubMed] [Green Version]
- US Consumer Product Safety Commission. An Update on Formaldehyde (Publication 725); US Consumer Product Safety Commission: Bethesda, MD, USA, 2013.
- World Health Organization. Formaldehyde, 2–Butoxyethanol and 1–tert–Butoxypropan–2–ol. In Monographs on the Evaluation of Carcinogenic Risk to Humans; International Agency for Research on Cancer: Lyon, France, 2006; Volume 88. [Google Scholar]
- International Agency for Research on Cancer. IARC Classifies Formaldehyde as Carcinogenic to Humans; International Agency for Research on Cancer: Lyon, France, 2004. [Google Scholar]
- Costa, N.; Pereira, J.; Ferra, J.; Cruz, P.; Martins, J.; Magalhāes, F.; Mendes, A.; Carvalho, L.H. Scavengers for achieving zero formaldehyde emission of wood-based panels. Wood Sci. Technol. 2013, 47, 1261–1272. [Google Scholar] [CrossRef]
- Costa, N.; Pereira, J.; Martins, J.; Ferra, J.; Cruz, P.; Magalhāes, F.; Mendes, A.; Carvalho, L. Alternative to latent catalysts for curing UF resins used in the production of low formaldehyde emission wood-based panels. Int. J. Adhes. Adhes. 2012, 33, 56–60. [Google Scholar] [CrossRef]
- de Cademartori, P.H.G.; Artner, M.A.; de Freitas, R.A.; Magalhaes, W.L.E. Alumina nanoparticles as formaldehyde scavenger for urea-formaldehyde resin: Rheological and in-situ cure performance. Compos. B Eng. 2019, 176, 107281. [Google Scholar] [CrossRef]
- Medved, S.; Gajsek, U.; Tudor, E.M.; Barbu, M.C.; Antonovic, A. Efficiency of bark for reduction of formaldehyde emission from particleboards. Wood Res. 2019, 64, 307–315. [Google Scholar]
- Réh, R.; Igaz, R.; Krišt’ák, L.; Ružiak, I.; Gajtanska, M.; Božíková, M.; Kučerka, M. Functionality of beech bark in adhesive mixtures used in plywood and its effect on the stability associated with material systems. Materials 2019, 12, 1298. [Google Scholar] [CrossRef] [Green Version]
- Mirski, R.; Kawalerczyk, J.; Dziurka, D.; Siuda, J.; Wieruszewski, M. The Application of Oak Bark Powder as a Filler for Melamine-Urea-Formaldehyde Adhesive in Plywood Manufacturing. Forests 2020, 11, 1249. [Google Scholar] [CrossRef]
- Boran, S.; Usta, M.; Ondaral, S.; Gümüskaya, E. The efficiency of tannin as a formaldehyde scavenger chemical in medium density fiberboard. Compos. B Eng. 2012, 43, 2487–2491. [Google Scholar] [CrossRef]
- Bekhta, P.; Sedliačik, J.; Kačík, F.; Noshchenko, G.; Kleinova, A. Lignocellulosic waste fibers and their application as a component of urea-formaldehyde adhesive composition in the manufacture of plywood. Eur. J. Wood Prod. 2019, 77, 495–508. [Google Scholar] [CrossRef]
- Antov, P.; Savov, V.; Neykov, N. Reduction of Formaldehyde Emission from Engineered Wood Panels by Formaldehyde Scavengers—A Review. In Proceedings of the 13th International Scientific Conference Wood EMA 2020 and 31st International Scientific Conference ICWST 2020 Sustainability of Forest-Based Industries in the Global Economy, Vinkovci, Croatia, 28–30 September 2020; pp. 7–11, ISBN 978-953-57822-8-5. [Google Scholar]
- Taghiyari, H.R.; Hosseini, S.B.; Ghahri, S.; Ghofrani, M.; Papadopoulos, A.N. Formaldehyde emission in micron-sized wollastonite-treated plywood bonded with soy flour and urea-formaldehyde resin. Appl. Sci. 2020, 10, 6709. [Google Scholar] [CrossRef]
- Kawalerczyk, J.; Siuda, J.; Mirski, R.; Dziurka, D. Hemp Flour as a Formaldehyde Scavenger for Melamine-Urea-Formaldehyde Adhesive in Plywood Production. BioResources 2020, 15, 4052–4064. [Google Scholar] [CrossRef]
- Arias, A.; González-Rodríguez, S.; Vetroni Barros, M.; Salvador, R.; de Francisco, A.C.; Piekarski, C.M.; Moreira, M.T. Recent developments in bio-based adhesives from renewable natural resources. J. Clean. Prod. 2021, 314, 127892. [Google Scholar] [CrossRef]
- Nordström, E.; Demircan, D.; Fogelström, L.; Khabbaz, F.; Malmström, E. Green Binders for Wood Adhesives. In Applied Adhesive Bonding in Science and Technology; Interhopen Books: London, UK, 2017; pp. 47–71. [Google Scholar]
- Hemmilä, V.; Adamopoulos, S.; Karlsson, O.; Kumar, A. Development of sustainable bio-adhesives for engineered wood panels-A review. RSC Adv. 2017, 7, 38604–38630. [Google Scholar] [CrossRef]
- Hosseinpourpia, R.; Adamopoulos, S.; Mai, C.; Taghiyari, H.R. Properties of medium-density fiberboards bonded with dextrin-based wood adhesives. Wood Res. 2019, 64, 185–194. [Google Scholar]
- Antov, P.; Savov, V.; Neykov, N. Sustainable Bio-based Adhesives for Eco-Friendly Wood Composites—A Review. Wood Res. 2020, 65, 51–62. [Google Scholar] [CrossRef]
- Sarika, P.R.; Nancarrow, P.; Khansaheb, A.; Ibrahim, T. Bio-Based Alternatives to Phenol and Formaldehyde for the Pro-duction of Resins. Polymers 2020, 12, 2237. [Google Scholar] [CrossRef] [PubMed]
- Saud, A.S.; Maniam, G.P.; Rahim, M.H.A. Introduction of Eco-Friendly Adhesives: Source, Types, Chemistry and Characterization. In Eco-Friendly Adhesives for Wood and Natural Fiber Composites; Composites Science and Technology, 2021, Jawaid, M., Khan, T.A., Nasir, M., Asim, M., Eds.; Springer: Singapore, 2021. [Google Scholar] [CrossRef]
- Ghahri, S.; Bari, E.; Pizzi, A. The Challenge of Environment-Friendly Adhesives for Bio-Composites. In Eco-Friendly Adhesives for Wood and Natural Fiber Composites; Composites Science and Technology; Jawaid, M., Khan, T.A., Nasir, M., Asim, M., Eds.; Springer: Singapore, 2021. [Google Scholar] [CrossRef]
- Tisserat, B.; Eller, F.; Mankowski, M. Properties of composite wood panels fabricated from Eastern red cedar employing various bio-based green adhesives. BioResources 2019, 14, 6666–6685. [Google Scholar]
- Papadopoulos, A.N. Advances in Wood Composites III. Polymers 2021, 13, 163. [Google Scholar] [CrossRef] [PubMed]
- Dunky, M. Wood Adhesives Based on Natural Resources: A Critical Review Part III. Tannin- and Lignin-Based Adhesives. Rev. Adhes. Adhes. 2020, 8, 379–525. [Google Scholar] [CrossRef]
- Wedaïna, A.G.; Pizzi, A.; Nzie, W.; Dawne, R.; Konai, N.; Amirou, S.; Segovia, C.; Kueny, R. Performance of unidirectional biocomposite developed with Piptadeniastrum Africanum tannin resin and Urena Lobata fibers as reinforcement. J. Renew. Mater. 2021, 9, 477–493. [Google Scholar]
- Ndiwe, B.; Pizzi, A.; Tibi, B.; Danwe, R.; Konai, N.; Amirou, S. African tree bark exudate extracts as biohardeners of fully biosourced thermoset tannin adhesives for wood panels. Ind. Crop. Prod. 2019, 132, 253–268. [Google Scholar] [CrossRef]
- Zhang, B.; Zhang, F.; Wu, L.; Gao, Z.; Zhang, L. Assessment of soybean protein-based adhesive formulations, prepared by different liquefaction technologies for particleboard applications. Wood Sci. Technol. 2020, 55, 33–48. [Google Scholar] [CrossRef]
- Ghahri, S.; Pizzi, A. Improving soy-based adhesives for wood particleboard by tannins addition. Wood Sci. Technol. 2018, 52, 261–279. [Google Scholar] [CrossRef]
- Frihart, C.R.; Satori, H. Soy flour dispersibility and performance as wood adhesive. J. Adhes. Sci. Technol. 2013, 27, 2043–2052. [Google Scholar] [CrossRef] [Green Version]
- Arias, A.; Feijoo, G.; Moreira, M.T. Evaluation of Starch as an Environmental-Friendly Bioresource for the Development of Wood Bioadhesives. Molecules 2021, 26, 4526. [Google Scholar] [CrossRef]
- Gu, Y.; Cheng, L.; Gu, Z.; Hong, Y.; Li, Z.; Li, C. Preparation, characterization and properties of starch-based adhesive for wood-based panels. Int. J. Biol. Macromol. 2019, 134, 247–254. [Google Scholar] [CrossRef]
- Arias, A.; González-García, S.; González-Rodríguez, S.; Feijoo, G.; Moreira, M.T. Cradle-to-gate Life Cycle Assessment of bio-adhesives for the wood panel industry. A comparison with petrochemical alternatives. Sci. Total Environ. 2020, 738, 140357. [Google Scholar] [CrossRef]
- El Mansouri, N.E.; Pizzi, A.; Salvadó, J. Lignin-based wood panel adhesives without formaldehyde. Holz Roh Werkst. 2006, 65, 65. [Google Scholar] [CrossRef]
- Antov, P.; Jivkov, V.; Savov, V.; Simeonova, R.; Yavorov, N. Structural Application of Eco-Friendly Composites from Recycled Wood Fibres Bonded with Magnesium Lignosulfonate. Appl. Sci. 2020, 10, 7526. [Google Scholar] [CrossRef]
- Antov, P.; Savov, V.; Krišťák, L.; Réh, R.; Mantanis, G.I. Eco-Friendly, High-Density Fiberboards Bonded with Urea-Formaldehyde and Ammonium Lignosulfonate. Polymers 2021, 13, 220. [Google Scholar] [CrossRef]
- Chen, X.; Xi, X.; Pizzi, A.; Fredon, E.; Du, G.; Gerardin, C.; Amirou, S. Oxidized demethylated lignin as a bio-based adhesive for wood bonding. J. Adhes. 2020, 97, 873–890. [Google Scholar] [CrossRef]
- Saražin, J.; Pizzi, A.; Amirou, S.; Schmiedl, D.; Šernek, M. Organosolv Lignin for Non-Isocyanate Based Polyurethanes (NIPU) as Wood Adhesive. J. Renew. Mater. 2021, 9, 881–907. [Google Scholar] [CrossRef]
- Borrero-López, A.M.; Valencia, C.; Domínguez, G.; Eugenio, M.E.; Franco, J.M. Rheology and adhesion performance of adhesives formulated with lignins from agricultural waste straws subjected to solid-state fermentation. Ind. Crop. Prod. 2021, 171, 113876. [Google Scholar] [CrossRef]
- Anderson, I.; Anderson, B.; Avramidis, G.; Frichart, C. Handbook of Wood Chemistry and Wood Composites, 2nd ed.; Roger, M.R., Ed.; CRC Press: Boca Raton, FL, USA, 2013; pp. 255–511. [Google Scholar] [CrossRef]
- Savov, V.; Valchev, I.; Antov, P. Processing factors for production of eco-friendly medium density fibreboards based on lignosulfonate adhesives. In Proceedings of the 2nd International Congress of Biorefinery of Lignocellulosic Materials (IWBLCM 2019), Córdoba, Spain, 4–7 June 2019; pp. 165–169, ISBN 978-84-940063-7-1. [Google Scholar]
- Bajwa, D.S.; Pourhashem, G.; Ullah, A.H.; Bajwa, S.G. A Concise Review of Current Lignin Production, Applications, Products and Their Environmental Impact. Ind. Crop. Prod. 2019, 139, 111526. [Google Scholar] [CrossRef]
- Sharma, S.; Kumar, A. (Eds.) Lignin: Biosynthesis and Transformation for Industrial Applications; Springer: Cham, Switzerland; Berlin/Heidelberg, Germany, 2020. [Google Scholar]
- Aro, T.; Fatehi, P. Production and Application of Lignosulfonates and Sulfonated Lignin. ChemSusChem 2017, 10, 1861–1877. [Google Scholar] [CrossRef] [PubMed]
- De Wild, P.J.; Huijgen, W.J.J.; Gosselink, R.J.A. Lignin Pyrolysis for Profitable Lignocellulosic Biorefineries. Biofuels Bioprod. Bioref. 2014, 8, 645–657. [Google Scholar] [CrossRef]
- Luo, H.; Abu-Omar, M.M. Chemicals from Lignin. In Encyclopedia of Sustainable Technologies; Elsevier: Amsterdam, The Netherlands, 2017; pp. 573–585. ISBN 978-0-12-804792-7. [Google Scholar]
- Karthäuser, J.; Biziks, V.; Mai, C.; Militz, H. Lignin and Lignin-Derived Compounds for Wood Applications—A Review. Molecules 2021, 26, 2533. [Google Scholar] [CrossRef]
- Antov, P.; Savov, V.; Mantanis, G.I.; Neykov, N. Medium-density fibreboards bonded with phenol-formaldehyde resin and calcium lignosulfonate as an eco-friendly additive. Wood Mater. Sci. Eng. 2020, 1751279. [Google Scholar] [CrossRef]
- Papadopoulou, E. Adhesives from renewable resources for binding wood-based panels. J. Environ. Prot. Ecol. 2009, 10, 1128–1136. [Google Scholar]
- Talabia, S.; Luz, A.; Pandolfellia, V.; Lima, V.; Botaro, V.; Lucas, A. Graphitization of Lignin-Phenol-Formaldehyde Resin. Mater. Res. 2020, 23. [Google Scholar] [CrossRef]
- Kalami, S.; Arefmanesh, M.; Master, E.; Nejad, M. Replacing 100% of phenol in phenolic adhesive formulations with lignin. J. Appl. Polym. Sci. 2017, 134, 45124. [Google Scholar] [CrossRef] [Green Version]
- Vázquez, G.; González, J.; Freire, S.; Antorrena, G. Effect of chemical modification of lignin on the gluebond performance of lignin-phenolic resins. Bioresour. Technol. 1997, 60, 191–198. [Google Scholar] [CrossRef]
- Gellerstedt, G. Softwood kraft lignin: Raw material for the future. Ind. Crop. Prod. 2015, 77, 845–854. [Google Scholar] [CrossRef]
- Vishtal, A.G.; Kraslawski, A. Challenges in industrial applications of technical lignins. BioResources 2011, 6, 3547–3568. [Google Scholar] [CrossRef]
- Alonso, M.V.; Oliet, M.; Rodríguez, F.; Astarloa, G.; Echeverría, J.M. Use of a methylolated softwood ammonium lignosulfonate as partial substitute of phenol in resol resins manufacture. J. Appl. Polym. Sci. 2004, 94, 643–650. [Google Scholar] [CrossRef]
- Alonso, M.V.; Oliet, M.; Rodríguez, F.; García, J.; Gilarranz, M.A.; Rodríguez, J.J. Modification of ammonium lignosulfonate by phenolation for use in phenolic resins. Bioresour. Technol. 2005, 96, 1013–1018. [Google Scholar] [CrossRef] [PubMed]
- ASTM International. Standard Test Methods for Viscosity of Adhesives; ASTM International: West Conshohocken, PA, USA, 2016; ASTM D1084-16. [Google Scholar]
- Wood-Based Panels-Determination of Formaldehyde Release—Part 5. Extraction Method (Called the Perforator Method); European Committee for Standardization: Brussels, Belgium, 2015; EN ISO 12460-5.
- Thoemen, H.; Irle, M.; Semek, M. Wood-Based Panels—An Introduction for Specialists; Brunel University Press: London, UK, 2020; p. 304. ISBN 978-1-902316-82-6. [Google Scholar]
- Lee, T.C.; Mohd Pu’ad, N.A.D.; Selimin, M.A.; Manap, N.; Abdullah, H.Z.; Idris, M.I. An overview on development of environmental friendly medium density fibreboard. Mater. Today Proc. 2020, 29, 52–57. [Google Scholar] [CrossRef]
- Wood-Based Panels-Determination of Modulus of Elasticity in Bending and of Bending Strength; European Committee for Standardization: Brussels, Belgium, 1999.
- Particleboards and Fibreboards-Determination of Swelling in Thickness after Immersion in Water; European Committee for Standardization: Brussels, Belgium, 1998.
- Wood-Based Panels-Determination of Moisture Content; European Committee for Standardization: Brussels, Belgium, 1998.
- Wood-Based Panels-Determination of Density; European Committee for Standardization: Brussels, Belgium, 2001.
- Kúdela, J. Surface properties of a medium density fibreboard evaluated from the viewpoint of its surface treatment. Acta Fac. Xylologiae Zvolen 2020, 62, 35–45. [Google Scholar]
- Sihag, K.; Yadav, S.M.; Lubis, M.A.R.; Poonia, P.K.; Negi, A.; Khali, D.P. Influence of needle-punching treatment and pressure on selected properties of medium density fiberboard made of bamboo (Dendrocalamus strictus Roxb. Nees). Wood Mater. Sci. Eng. 2021. [Google Scholar] [CrossRef]
- Savov, V.; Valchev, I.; Yavorov, N.; Sabev, K. Influence of press factor and additional thermal treatment on technology for production of eco-friendly MDF based on lignosulfonate adhesives. Bulg. Chem. Commun. 2020, 52, 48–52. [Google Scholar]
- Antov, P.; Krišťák, L.; Réh, R.; Savov, V.; Papadopoulos, A.N. Eco-Friendly Fiberboard Panels from Recycled Fibres Bonded with Calcium Lignosulfonate. Polymers 2021, 13, 639. [Google Scholar] [CrossRef]
- Mihajlova, J.; Savov, V. Physical Indicators of High-Density Fibreboards (HDF) Manufactured from Wood of Hard Broadleaved Species. In Proceedings of the 8th Hardwood Conference, Sopron, Hungary, 25–26 October 2018; pp. 142–144, ISBN 978-963-359-096-6. [Google Scholar]
- Çamlıbel, O. The effect of urea resins synthesized with different mole ratios on physical properties of high density fiberboards (HDF) and formaldehyde emission. Turk. J. For. 2020, 21, 49–55. [Google Scholar] [CrossRef]
- Sala, C.M.; Robles, E.; Kowaluk, G. Influence of adding offcuts and trims with a recycling approach on the properties of high-density fibrous composites. Polymers 2020, 12, 1327. [Google Scholar] [CrossRef]
- Fibreboards–Specifications—Part 5: Requirements for Dry Process Boards; European Committee for Standardization: Brussels, Belgium, 2010.
- Hong, M.K.; Lubis, M.A.R.; Park, B.D.; Sohn, C.H.; Roh, J. Effects of surface laminate type and recycled fiber content on properties of three-layer medium density fiberboard. Wood Mater. Sci. Eng. 2020, 15, 163–171. [Google Scholar] [CrossRef]
- Lubis, M.A.R.; Park, B.D.; Hong, M.K. Tuning of adhesion and disintegration of oxidized starch adhesives for the recycling of medium density fiberboards. BioResources 2020, 15, 5156–5178. [Google Scholar] [CrossRef]
- Bouajila, J.; Limare, A.; Joly, C.; Dole, P. Lignin Plasticization to Improve Binderless Fiberboard Mechanical Properties. Polym. Eng. Sci. 2005, 45, 809–816. [Google Scholar] [CrossRef]
- Nasir, M.; Khali, D.P.; Jawaid, M.; Tahir, P.M.; Siakeng, R.; Asim, M.; Khan, T.A. Recent development in binderless fiber-board fabrication from agricultural residues: A review. Constr. Build. Mater. 2019, 211, 502–516. [Google Scholar] [CrossRef]
- Cai, Z.; Muehl, J.H.; Winandy, J.E. Effects of panel density and mat moisture content on processing medium density fiberboard. For. Prod. J. 2006, 56, 20–25. [Google Scholar]
- Ganev, S.; Gendron, G.; Cloutier, A.; Beauregard, R. Mechanical properties of MDF as a function of density and moisture content. Wood Fiber Sci. 2005, 37, 314–326. [Google Scholar]
- Hu, J.P.; Guo, M.H. Influence of ammonium lignosulfonate on the mechanical and dimensional properties of wood fiber biocomposites reinforced with polyactic acid. Ind. Crop. Prod. 2015, 78, 48–57. [Google Scholar] [CrossRef]
- Wong, E.D.; Zhang, M.; Wang, Q.; Han, G.; Kawai, S. Formation of the density profile and its effects on the properties of fiberboard. J. Wood Sci. 2000, 46, 202–209. [Google Scholar] [CrossRef]
- Nourbakhsh, A.; Ashori, A.; Jahan-Latibari, A. Evaluation of the physical and mechanical properties of medium density fiberboard made from old newsprint fibers. J. Reinf. Plast. Compos. 2010, 29, 5–11. [Google Scholar] [CrossRef]
- Alonso, M.V.; Rodriguez, J.J.; Oliet, M.; Rodriguez, F.; Garcia, J.; Gilarranz, M.A. Characterization and Structural Modification of Ammonic Lignosulfonate by Methylolation. J. Appl. Polym. Sci. 2001, 82, 2661–2668. [Google Scholar] [CrossRef]
- Klapiszewski, Ł.; Oliwa, R.; Oleksy, M.; Jesionowski, T. Calcium lignosulfonate as eco-friendly additive of crosslinking fibrous composites with phenol-formaldehyde resin matrix. Polymers 2018, 63, 102–108. [Google Scholar] [CrossRef]
- Antov, P.; Mantanis, G.I.; Savov, V. Development of wood composites from recycled fibres bonded with magnesium lignosulfonate. Forests 2020, 11, 613. [Google Scholar] [CrossRef]
- Aristri, M.A.; Lubis, M.A.R.; Yadav, S.M.; Antov, P.; Papadopoulos, A.N.; Pizzi, A.; Fatriasari, W.; Ismayati, M.; Iswanto, A.H. Recent Developments in Lignin and Tannin-Based Non-Isocyanate Polyurethane Resins for Wood Adhesives—A Review. Appl. Sci. 2021, 11, 4242. [Google Scholar] [CrossRef]
- Vozárová, V. Study of processes and properties of food materials during thermal treatment. J. Food Phys. 2008, 19, 17–24. [Google Scholar]
- Petrovič, A.; Vozárová, V.; Csillag, J.; Bilčík, M. Effects of temperature and blending on biodiesel density. J. Process. Energy Agric. 2019, 23, 69–72. [Google Scholar] [CrossRef]
- Réh, R.; Krišťák, L.; Sedliačik, J.; Bekhta, P.; Božiková, M.; Kunecová, D.; Vozárová, V.; Tudor, E.M.; Antov, P.; Savov, V. Utilization of Birch Bark as an Eco-Friendly Filler in Urea-Formaldehyde Adhesives for Plywood Manufacturing. Polymers 2021, 13, 511. [Google Scholar] [CrossRef]
- Siimer, K.; Kaljuveee, T.; Christjanson, P. Thermal behavior of urea-formaldehyde resins during curing. J. Anal. Calorim. 2003, 72, 607–617. [Google Scholar] [CrossRef]
- Solt, P.; Jääskeläinen, A.-S.; Lingenfelter, P.; Konnerth, J.; van Herwijnen, H. Impact of Molecular Weight of Kraft Lignin on Adhesive Performance of Lignin-Based Phenol-Formaldehyde Resins. For. Prod. J. 2018, 68, 365–371. [Google Scholar]
- Hemmilä, V.; Adamopoulos, S.; Hosseinpourpia, R.; Ahmed, S.A. Ammonium Lignosulfonate Adhesives for Particleboards with pMDI and Furfuryl Alcohol as Crosslinkers. Polymers 2019, 11, 1633. [Google Scholar] [CrossRef] [PubMed] [Green Version]
- Stefke, B.; Dunkz, M. Catalzc influence of wood on the hardening behavior of formaldehyde-based resin adhesives used for wood-based panels. J. Adhes. Sci. Technol. 2006, 20, 761–785. [Google Scholar] [CrossRef]
- Domínguez, J.C.; Grivel, J.C.; Madsen, B. Study on the non-isothermal curing kinetics of a polyfurfuryl bioresin by DSC using di_erent amounts of catalyst. Thermochim. Acta 2012, 529, 29–35. [Google Scholar] [CrossRef]
- Alonso, M.V.; Oliet, M.; Perez, J.M.; Rodriguez, F.; Echeverria, J. Determination of curing kinetic parameters of lignin-phenol-formaldehyde resol resins by several dynamic differential scanning calorimetry methods. Thermochim. Acta 2004, 419, 161–167. [Google Scholar] [CrossRef]
- Xing, C.; Deng, J.; Zhang, S.Y.; Riedl, B.; Cloutier, A. Differential Scanning Calorimetry Characterization of Urea–Formaldehyde Resin Curing Behavior as Affected by Less Desirable Wood Material and Catalyst Content. J. Appl. Polym. Sci. 2005, 98, 2027–2032. [Google Scholar] [CrossRef]
- He, G.; Riedl, B.; Ait-Kadi, A. The cure of powdered phenol-formaldehyde resol resins and the role of water in the curing systems. J. Appl. Polym. Sci. 2003, 89, 1371–1378. [Google Scholar] [CrossRef]
- He, G.; Riedl, B. Curing kinetics of phenol formaldehyde resin and wood-resin interactions in the presence of wood substrates. Wood Sci. Technol. 2004, 38, 69–81. [Google Scholar]
- Nuryawan, A.; Park, B.D.; Singh, A.P. Comparision of thermal curing behavior of liquid and solid urea-formaldehyde resins with different formaldehyde/urea mole ratios. J. Ther. Anal. Calorim. 2014, 118, 397–404. [Google Scholar] [CrossRef]
- Hogger, E.M.; van Herwijnen, H.W.G.; Moser, J.; Kantner, W.; Konnerth, J. Systematic assessment of wheat extenders in condensation resin for plywood production: Part 1—Physico-chemical adhesive properties. J. Adhes. 2020. [Google Scholar] [CrossRef]
- Dunky, M. Urea-formaldehyde (UF) adhesive resins for wood. Int. J. Adhes. Adhes. 1998, 18, 95. [Google Scholar] [CrossRef]
- Dunky, M.; Pizzi, A. Surfaces, chemistry and applications. In Adhesion Science and Engineering; Pocius, A.V., Dillard, D.A., Eds.; Elsevier Science: Amsterdam, The Netherlands, 2002. [Google Scholar]
- Puttasukha, J.; Khongtong, S.; Chaowana, P. Curing behavionr and bonding performance of urea formaldehyde resin admixed with formaldehyde scavenger. Wood Res. 2015, 60, 645–654. [Google Scholar]
- Myers, G.E. Formaldehyde liberation and cure behavior of urea-formaldehyde resins. Holzforschung 1990, 44, 117–126. [Google Scholar] [CrossRef]
- Popovic, M.; Budinski-Simendic, J.; Jovicic, M.; Diporovic-Momcilovic, M.; Pavlicevic, J.; Ristic, I. Curing kinetics of two commercial urea-formaldehyde adhesives studied by isoconversional method. Hem. Ind. 2011, 65, 717–726. [Google Scholar] [CrossRef]
- Ji, X.; Guo, M. Preparation and properties of a chitosan-lignin wood adhesive. Int. J. Adhes. Adhes. 2018, 82, 8–13. [Google Scholar] [CrossRef]
- Ghrobani, M.; Konnerth, J.; van Herwijnen, H.W.G.; Zinovyev, G.; Budjav, E.; Silva, A.R.; Liebner, F. Commercial lignosulfonates from different sulfite processes as partial phenol replacement in PF resole resins. J. Appl. Polym. Sci. 2017, 135, 44849. [Google Scholar] [CrossRef]
- Young-Kuy, L.; Hyun-Joong, K. Curing Reaction of Urea-formaldehyde Resin using real time FT-IR Spectroscopy. J. Adhes. Int. 2012, 13, 85–88. [Google Scholar]
- Mansouri, H.R.; Navarrete, P.; Pizzi, A.; Tapin-Lingua, S.; Benjelloun-Mlayah, B.; Pasch, H. Synthetic-resin-free wood panel adhesives from mixed low molecular mass lignin and tannin. Eur. J. Wood Wood Prod. 2010, 69, 221–229. [Google Scholar] [CrossRef] [Green Version]
- Esmaeili, N.; Zouriaan-Meht, M.J.; Mohajeri, S.; Kabiri, K.; Bouhendi, H. Hydroxymethyl furfular-modified urea-formaldehyde resin: Synthesis and properties. Eur. J. Wood Wood Prod. 2017, 75, 71–80. [Google Scholar] [CrossRef]
- Carrier, M.; Loppinet-Serani, A.; Denux, D.; Lasnier, J.M.; Ham-Pichavant, F.; Cansell, F.; Aymonier, C. Thermogravimetric analysis as a new method to determine the lignocellulosic composition of biomass. Biomass Bioenergy 2011, 35, 298–307. [Google Scholar] [CrossRef]
- Hemmila, V.; Hosseinpourpia, R.; Adamopoulos, S.; Eceiza, A. Characterization of Wood-based Industrial Biorefinery Lignosulfonates and Supercritical Water Hydrolysis Lignin. Waste Biomass Valor. 2020, 11, 5835–5845. [Google Scholar] [CrossRef] [Green Version]
- Tejado, A.; Peña, C.; Labidi, J.; Echeverria, J.M.; Mondragon, I. Physico-chemical characterization of lignins from different sources for use in phenol-formaldehyde resin synthesis. Bioresour. Technol. 2007, 98, 1655–1663. [Google Scholar] [CrossRef] [PubMed]
Publisher’s Note: MDPI stays neutral with regard to jurisdictional claims in published maps and institutional affiliations. |
© 2021 by the authors. Licensee MDPI, Basel, Switzerland. This article is an open access article distributed under the terms and conditions of the Creative Commons Attribution (CC BY) license (https://creativecommons.org/licenses/by/4.0/).











