Polyaniline: Doping and Functionalization with Single Walled Carbon Nanotubes for Photovoltaic and Photocatalytic Application
Abstract
1. Introduction
2. Materials and Methods
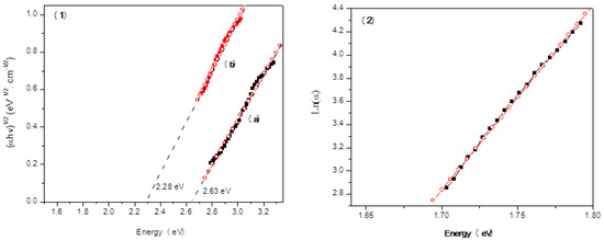
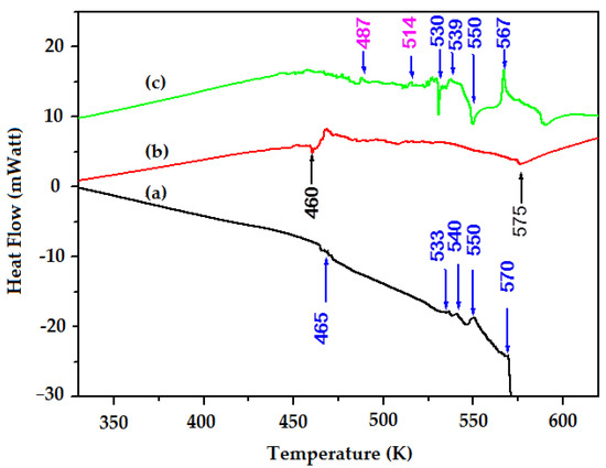
3. Results and Discussion
4. Conclusions
Author Contributions
Funding
Institutional Review Board Statement
Informed Consent Statement
Data Availability Statement
Acknowledgments
Conflicts of Interest
References
- Wang, J.; David, Y.H.P. Dispersion and filtration of carbon nanotubes (CNTs) and measurement of nanoparticle agglomerates in diesel exhaust. Chem. Eng. Sci. 2013, 85, 69–76. [Google Scholar] [CrossRef][Green Version]
- Spitalsky, Z.; Dimitrios, T.; Konstantinos, P.; Costas, G. Carbon nanotube–polymer composites, Chemistry, processing, mechanical and electrical properties. Prog. Polym. Sci. 2010, 35, 357–401. [Google Scholar] [CrossRef]
- Chang, W.-M.; Wang, C.-C.; Chen, C.-Y. Plasma-Induced Polyaniline Grafted on Carbon Nanotube-embedded Carbon Nanofibers for High-Performance Supercapacitors. Electrochim. Acta. 2016, 212, 130–140. [Google Scholar] [CrossRef]
- Lizin, S.; Passel, S.V.; Schepper, E.D.; Vranken, L. The future of organic photovoltaic solar cells as a direct power source for consumer electronics.Sol. Energy Mater. Sol. Cells 2012, 103, 1–10. [Google Scholar] [CrossRef]
- Deng, P.; Lei, Y.; Zheng, X.; Li, S.; Wu, J.; Zhu, F.; Ong, B.S.; Zhang, Q. Polymer based on benzothiadiazole-bridged bis-isoindigo for organic field-effect transistor applications. Dye. Pigment. 2016, 125, 407–413. [Google Scholar] [CrossRef]
- Tehrani, Z.; Korochkina, T.; Govindarajan, S.; Thomas, D.J.; Mahony, J.O.; Kettle, J.; Claypole, T.C.; Gethin, D.T. Ultra-thin flexible screen printed rechargeable polymer battery for wearable electronic applications. Org. Electron. 2015, 26, 386–394. [Google Scholar] [CrossRef]
- Moaseri, E.; Karimi, M.; Baniadam, M.; Maghreb, M. Improvements in mechanical properties of multi-walled carbon nanotube-reinforced epoxy composites through novel magnetic-assisted method for alignment of carbon nanotubes. Compos. Part. A Appl. Sci. Manuf. 2014, 64, 228–233. [Google Scholar] [CrossRef]
- Mulligan, C.J.; Bilen, C.; Zhou, X.; Belcher, W.J.; Dastoor, P.C. Levelised cost of electricity for organic photovoltaics. Sol. Energy Mater. Sol. 2015, 133, 26–31. [Google Scholar] [CrossRef]
- Zhu, H.; Wei, J.; Wang, K.; Wu, D. Applications of carbon materials in photovoltaic solar cells. Sol. Energy Mater. Sol. 2009, 93, 1461–1470. [Google Scholar] [CrossRef]
- Zaidi, B.; Bouzayen, N.; Wéry, J.; Alimi, K. Grafting of oligo-N-vinyl carbazole on single walled carbon nanotubes. J. Mol. Struct. 2010, 971, 71–80. [Google Scholar] [CrossRef]
- Ferguson, A.J.; Blackburn, J.L.; Kopidaki, N. Fullerene and carbon nanotubes as acceptor materials in organic photovoltaic. Mater. Lett. 2013, 90, 115–125. [Google Scholar] [CrossRef]
- Janssen, R.A.J.; Hummelen, J.C.; Sariciftci, N.S. Polymer–Fullerene Bulk Heterojunction Solar Cells. MRS Bull. 2005, 30, 33–36. [Google Scholar] [CrossRef]
- MacDiarmid, A.G. Polyaniline and polypyrrole: Where are we headed. Synth. Met. 1997, 84, 27–34. [Google Scholar] [CrossRef]
- Hundley, M.F.; Adams, P.N.; Mattes, B.R. The influence of 2-acrylamido-2-methyl-1-propanesulfonic acid (AMPSA) additive concentration and stretch orientation on electronic transport in AMPSA-modified polyaniline films prepared from an acid solvent mixture. Synth. Met. 2002, 129, 291–297. [Google Scholar] [CrossRef]
- Pinto, N.J.; Johnson, A.T.J.; MacDiarmid, A.G.; Mueller, C.H.; Theofylaktos, N.; Robinson, D.C.; Miranda, F.A. Electrospun polyaniline/polythethylene oxide nanofiber field-effect transistor. Appl. Phys. Lett. 2003, 83, 4244–4246. [Google Scholar] [CrossRef]
- Zhou, Y.; Freitag, M.; Hone, J.; Staii, C.; Johnson, A.T.J.; Pinto, N.J.; MacDiarmid, A.G. Fabrication and electrical characterization of polyaniline-based nanofibers with diameter below 30 nm. Appl. Phys. Lett. 2003, 83, 3800–3802. [Google Scholar] [CrossRef]
- Bejbouji, H.; Vignau, L.; Miane, J.L.; Dang, M.T.; ElMostafa, O.; Harmouchi, M.; Mouhsen, A. Polyaniline as a hole injection layer on organic photovoltaic cells. Sol. Energy Mater. Sol. 2010, 94, 176–181. [Google Scholar] [CrossRef]
- Ansari, N.; Shumaila; Lone, M.Y.; Ali, J.; Husain, M.; Husain, S. Single-walled carbon nanotubes–polyaniline composites: Synthesis and field-emission analysis. J. Mater. Compos. 2018, 1–13. [Google Scholar] [CrossRef]
- Mukulika, J.C.; Dipali, B.; Krishanu, C. Composite of single walled carbon nanotube and sulfosalicylic acid doped polyaniline: A thermoelectric material. Mater. Res. Express 2016, 3, 85009. [Google Scholar] [CrossRef]
- Megha, A.D.; Raimonda, C.; Almira, R.; Mahendra, D.S.; Arunas, R. EDTA_PANI/SWCNTs nanocomposite modified electrode for electrochemical determination of copper (II), lead (II) and mercury (II) ions. Electrochim. Acta 2018, 259, 930–938. [Google Scholar] [CrossRef]
- Mehmet, C.; Bayram, G. Change of optoelectronic parameters of the boric acid-doped polyaniline conducting polymer with concentration. Colloids Surf. A 2017, 532, 263–269. [Google Scholar] [CrossRef]
- Daikh, S.Z.; Zeggai, F.; Bellil, A.; Benyoucef, A. Chemical polymerization, characterization and electrochemical studies of PANI/ZnO doped with hydrochloric acid and/or zinc chloride: Differences between the synthesized nanocomposites. J. Phys. Chem. Solids 2018, 121, 78–84. [Google Scholar] [CrossRef]
- Chiang, J.C.; MacDiarmid, A.G. Polyaniline: Protonic acid doping of the emeraldine form to the metallic regime. Synth. Met. 1986, 13, 193–205. [Google Scholar] [CrossRef]
- Ayachi, S.; Alimi, K.; Bouachrine, M.; Hamidi, M.; Mevellec, J.Y.; Porte, J.P.L. Spectroscopic investigations of copolymers incorporating various thiophene and phenylene monomers. Synth. Met. 2006, 156, 318–326. [Google Scholar] [CrossRef]
- Zou, L.Y.; Ren, A.M.; Feng, J.K.; Ran, X.Q.; Liu, Y.L.; Sun, C.C. Structural, electronic, and optical properties of phenol-pyridyl boron complexes for light-emitting diodes. Int. J. Quantum Chem. 2009, 109, 1419–1429. [Google Scholar] [CrossRef]
- Khoshkholgh, M.J.; Marsusi, F.; Abolhassani, M.R. Density functional theory investigation of opto-electronic properties of Functional thieno [3,4-b] thiophene and benzodithiophenepolymer and derivatives and their applications in solar cell. Spectrochim. Acta A 2015, 136, 373–380. [Google Scholar] [CrossRef]
- Mbarek, M.; Zaidi, B.; Wéry, J.; Alimi, K. Structure–properties correlation of copolymers derived from poly (phenylene vinylene) (PPV). Synth. Met. 2012, 162, 1762–1768. [Google Scholar] [CrossRef]
- Ayachi, S.; Ghomrasni, S.; Alimi, K. A combined experimental and theoretical study on vibrational and optical properties of copolymer incorporationg thienylene-dioctyloxyphenylene and bipyridine units. J. Appl. Polym. Sci. 2012, 123, 2684. [Google Scholar] [CrossRef]
- Saoudi, M.; Ajjel, R.; Zaidi, B. Experimental and theoretical study on the charge transfer between polyaniline and single walled carbon nanotubes. J. Mater. Environ. Sci. 2016, 7, 4435–4447. [Google Scholar]
- Shivani, D. Cost effective synthesis of MWCNT/PANI composite. Mater. Res. Express 2016, 3, 105002. [Google Scholar] [CrossRef]
- Omidi, M.J.; Mehr, M.S. Improving the dispersion of SWNT in epoxy resin through a simple Multi-Stage method. J. King Saud Univ. Sci. 2019, 31, 202–208. [Google Scholar] [CrossRef]
- Liu, J.; Liu, T.; Kum, S. Effect of solvent solubility parameter on SWNT dispersion in PMMA. Polymer 2005, 46, 3419–3424. [Google Scholar] [CrossRef]
- Hopkins, A.R.; Kruk, N.A.; Lipeles, R.A. Macroscopic alignment of single-walled carbon nanotubes (SWNTs). J. Coat. Technol. Res. 2007, 202, 1282–1286. [Google Scholar] [CrossRef]
- Ben Khalifa, I.; Bargaoui, S.; Haj Said, A.; Ayachi, S.; Zaidi, B.; Wéry, J.; Alimi, K. About some properties of electro-synthesized short Oligo(Para-Fluoro-Anisole) (OPFA): A combined experimental and theoretical study. J. Mol. Struct. 2011, 997, 37–45. [Google Scholar] [CrossRef]
- Becke, A.D. Density-functional thermochemistry. III. The role of exact exchange. J. Chem. Phys. 1993, 98, 5648–5652. [Google Scholar] [CrossRef]
- Lee, C.; Yang, W.; Parr, R.G. Development of the Colle-Savletti correlation-energy formula into a functional of the electron density. Phys. Rev. 1988, 37, 785–789. [Google Scholar] [CrossRef] [PubMed]
- Mbarek, M.; Zaidi, B.; Alimi, K. Theoretical study of the alkoxyls groups effect on PPV-ether excited states, a relationship with femtosecond decay. Spectrochim. Acta 2012, 88, 23–30. [Google Scholar] [CrossRef] [PubMed]
- Jamadade, V.S.; Dhawale, D.S.; Lokhande, C.D. Studies on electrosynthesized leucoemeraldine, emeraldine and pernigraniline forms of polyaniline films and their supercapacitive behavior. Synth. Met. 2010, 160, 955–960. [Google Scholar] [CrossRef]
- Mello, H.J.N.P.D.; Mulat, M. Effect of aniline monomer concentration on PANI electropolymerization process and its influence for applications in chemical sensors. Synth. Met. 2018, 239, 66–70. [Google Scholar] [CrossRef]
- Lobotka, P.; Kunzo, P.; Kovacova, E.; Vavra, I.; Krizanova, Z.; Smatko, V.; Stejskal, J.; Konyushenko, E.N.; Omastova, M.; Spitalsky, Z. Thin polyaniline and polyaniline/carbon nanocomposite films for gas sensing. Thin Solid Film. 2011, 519, 4123–4127. [Google Scholar] [CrossRef]
- Mahudeswaran, A.; Vivekanandan, J.; Jeeva, A.; Chandrasekaran, J.; Vijayanand, P.S. Synthesis, characterization, optical and electrical properties of nanostructured poly(aniline-co-o-bromoaniline) prepared by in-situ polymerization method. Optik 2016, 127, 3984–3988. [Google Scholar] [CrossRef]
- Scotto, J.; Florit, M.I.; Posadas, D. About the species formed during the electrochemical half oxidation of polyaniline: Polaron-bipolaron equilibrium. Electrochim. Acta 2018, 268, 187–194. [Google Scholar] [CrossRef]
- Nguyen, H.D.; Nguyen, T.H.; Hoang, N.V.; Le, N.N.; Nguyen, T.N.N.; Doan, D.C.T.; Dang, M.C. pH sensitivity of emeraldine salt polyaniline and poly(vinyl butyral) blend. Adv. Nat. Sci. Nanosci. Nanotechnol. 2014, 5, 045001–045005. [Google Scholar] [CrossRef][Green Version]
- Pocas, L.C.; Travain, S.A.; Duarte, J.L.; Silva, R.A.; Giacometti, J.A.; Marletta, A. Annealing effects on conductivity and optical properties of the PAni layer in ITO/PAni/PPV+DBS/Al polymer light-emitting diodes. J. Phys. Condens. Matter 2007, 19, 436221–4362230. [Google Scholar] [CrossRef]
- Banerjee, S.; Kumar, A. Swift heavy ion irradiation induced modifications in the optical band gap and Urbach’s tail in polyaniline nanofibers. Nucl. Instrum. Methods Phys. Res. Sect. B 2011, 269, 2798–2806. [Google Scholar] [CrossRef]
- Baibarac, M.; Matea, A.; Daescu, M.; Mercioniu, I.; Quillard, S.; Mevellec, J.Y.; Lefrant, S. Polyaniline photoluminescence quenching induced by single-walled carbon nanotubes enriched in metallic and semiconducting tubes. Sci. Rep. 2018, 8, 9518. [Google Scholar] [CrossRef]
- Nascimento, G.M.; Temperini, M.L.A. Studies on the resonance Raman spectra of polyaniline obtained with near-IR excitation. J. Raman Spectrosc. 2008, 39, 772–778. [Google Scholar] [CrossRef]
- Shimano, J.Y.; MacDiarmid, A.G. Polyaniline, a dynamic block copolymer: Key to attaining its intrinsic conductivity. Synth. Met. 2001, 123, 251–262. [Google Scholar] [CrossRef]
- Tauc, J. Amorphous and Liquid Semiconductors; Springer: Plenum, NY, USA, 1974. [Google Scholar]
- Kabir, H.; Rahman, M.M.; Uddin, K.M.; Bhuiya, A.H. Structural, Morphological, Compositional and Optical Studies of Plasma Polymerized 2-Furaldehyde Amorphous Thin Films. Appl. Surf. Sci. 2017, 423, 983–994. [Google Scholar] [CrossRef]
- Chithra, L.P.; Subramanian, E.; Padiyan, D.P. Electrodeposition of polyaniline thin films doped with dodeca tungstophosphoric acid: Effect on annealing and vapor sensing. Sens. Actuators B Chem. 2007, 122, 274–281. [Google Scholar] [CrossRef]
- Urbach, F. The Long-Wavelength Edge of Photographic Sensitivity and of the Electronic Absorption of Solids. Phys. Rev. B 1953, 92, 1324. [Google Scholar] [CrossRef]
- Kazmersky, L.L. Polycrystalline and Amorphous Thin Films and Devices; Academic Press: New York, NY, USA, 1980; p. 135. ISBN 9780323156042. [Google Scholar]
- Fernandes, M.R.; Garcia, J.R.; Schultz, M.S.; Nart, F.C. Polaron and bipolaron transitions in doped poly(p-phenylene vinylene) films. Thin Solid Film. 2005, 474, 279–284. [Google Scholar] [CrossRef]
- Smita, S.K.; Pramod, S.P. Secondary electrochemical doping level effects on polaron and bipolaron bands evolution and interband transition energy from absorbance spectra of PEDOT: PSS thin films. Synth. Met. 2016, 220, 661–666. [Google Scholar] [CrossRef]
- Oueiny, C.; Berlioz, S.; Perrin, F.X. Carbon nanotube–polyaniline composites. Prog. Polym. Sci. 2014, 39, 707–748. [Google Scholar] [CrossRef]
- Zaidi, B.; Bouzayen, N.; Wéry, J.; Alimi, K. Annealing treatment and carbon nanotubes concentration effects on the optical and vibrational properties of single walled carbon nanotubes functionalized with short oligo-N-vinyl carbazole. Mater. Chem. Phys. 2011, 126, 417–423. [Google Scholar] [CrossRef]
- Naqash, W.; Majid, K. Synthesis, characterisation and study of thermal, electrical and photocatalytic activity of nanocomposite of PANI with [Co(NH3)4 (C12H8N2)] Cl3_5H2O photoadduct. Chem. Phys. 2016, 478, 118–125. [Google Scholar] [CrossRef]
- Baltog, I.; Baibarac, M.; Smarand, I.; Matea, A.; Ilie, M.; Mevellec, J.Y.S.; Lefrant, S. Optical properties of single-walled carbon nanotubes functionalized with copolymer poly(3,4-ethylenedioxythiophene-co-pyrene). Opt. Mater. 2016, 62, 604–611. [Google Scholar] [CrossRef]
- Rozlivkova, Z.; Trchova, M.; Exnerova, M.; Stejska, J. The carbonization of granular polyaniline to produce nitrogen-containing carbon. Synth. Met. 2011, 161, 1122–1129. [Google Scholar] [CrossRef]
- Liu, D.; Wang, H.; Du, P.; Liu, P. Independently double-crosslinked carbon nanotubes/polyaniline composite films as flexible and robust free-standing electrodes for high-performance supercapacitors. Carbon 2017, 122, 761–774. [Google Scholar] [CrossRef]
- Saoudi, M.; Zaidi, B.; Ajjel, R. Correlation between microstructures and optical properties of polyaniline/single walled carbon nanotubes composites. Polym. Compos. 2019, 40, E821–E831. [Google Scholar] [CrossRef]
- Cui, L.; Yu, J.; Lv, Y.; Li, G.; Zhou, S. Doped polyaniline/multiwalled carbon nanotube composites: Preparation and characterization. Polym. Compos. 2013, 34, 1119–1125. [Google Scholar] [CrossRef]
- AbdulAlmohsin, S.; Li, Z.; Mohammed, M.; Wu, K.; Cui, J. Electrodeposited polyaniline/multi-walled carbon nanotube composites for solar cell applications. Synth. Met. 2012, 162, 931–935. [Google Scholar] [CrossRef]
- Zaidi, B.; Bouzayen, N.; Znaidia, S.; Mbarek, M.; Massuyeau, F.; Faulques, E.; Gautron, E.; Wery, J.; Duvail, J.L.; Ghedira, M.; et al. Dynamic properties of the excited states of oligo-N-vinylcarbazole functionalized with single walled carbon nanotubes. J. Mol. Struct. 2013, 1039, 46–50. [Google Scholar] [CrossRef]
- Mulazzi, E.; Perogo Aarab, H.; Mihut, L.; Faulques, E.; Lefrant, S.; Wery, J. Optical properties of carbon nanotube-PPV composites: Influence of the PPV conversion temperature and nanotube concentration. Synt. Met. 2005, 154, 221–224. [Google Scholar] [CrossRef]
- Remyamol, T.; Gopinath, P.; Honey, J. Core-shell nanostructures of covalently grafted polyaniline multi-walled carbonnanotube hybrids for improved optical limiting. Opt. Lett. 2015, 40, 21–24. [Google Scholar] [CrossRef]
- Arı, H.; Buyukmumcu, Z. Comparison of DFT functionals for prediction of band gap of conjugated polymers and effect of HF exchange term percentage and basis set on the performance. Comput. Mater. Sci. 2017, 138, 70–76. [Google Scholar] [CrossRef]
- Baibarac, M.; Baltog, I.; Lefrant, S.; Mevellec, J.Y.; Chauvet, O. Polyaniline and Carbon Nanotubes Based Composites Containing Whole Units and Fragments of Nanotubes. Chem. Mater. 2003, 15, 4149–4156. [Google Scholar] [CrossRef]
- Byron, P.R.; Hubert, P.; Salvetat, J.P.; Zalamea, L. Flexural deflection as a measure of van der Waals interaction forces in the CNT array. Compos. Sci. Technol. 2006, 66, 1125–1131. [Google Scholar] [CrossRef]
- Schroder, E.; Hyldgaard, P. Van der Waals interactions of parallel and concentric nanotubes. Mater. Sci. Eng. C 2003, 23, 721–725. [Google Scholar] [CrossRef][Green Version]
- Jeong, D.C.; Song, S.G.; Satheeshkumar, C.; Lee, Y.; Kim, K.S.; Song, C. Enhanced photo-induced electron transfer by multi-walled carbon nanotubes in self-assembled terpyridine polymer networks. Polymer 2015, 69, 39–44. [Google Scholar] [CrossRef]
- He, B.; Tang, Q.; Luo, J.; Li, Q.; Chen, X.; Cai, H.J. Rapid charge-transfer in polypyrrole–single wall carbon nanotube complex counter electrodes: Improved photovoltaic performances of dye-sensitized solar cells. J. Power Sources 2014, 256, 170–177. [Google Scholar] [CrossRef]














| Frequency (cm−1) | Intensity Ratio (Idoped/Ipure) | Assignment | |
|---|---|---|---|
| Neutralpure | Doped | ||
| 621 | 619 | 0.98 | Torsion C-N outside the plane |
| 1023 | 1020 | 1.02 | C-H deformation |
| 1132 | 1126 | 1.00 | Benzene ring vibration |
| 1257 | 1255 | 0.65 | C-N of the benzene ring vibration |
| 1382 | 1386 | 0.70 | CH in the plane switching |
| 1502 | 1505 | 1.09 | Ring deformation |
| 1554 | 1555 | 3.76 | Quinoid aromatic C=C vibration |
| 1656 | 1660 | 0.78 | Benzene aromatic C=C vibration |
| 2877 | 2866 | 0.81 | Symmetric C-H stretching |
| 2962 | 2941 | 0.91 | N-H deformation |
| 3643 | 3646 | 0.83 | N-H stretching |
Publisher’s Note: MDPI stays neutral with regard to jurisdictional claims in published maps and institutional affiliations. |
© 2021 by the authors. Licensee MDPI, Basel, Switzerland. This article is an open access article distributed under the terms and conditions of the Creative Commons Attribution (CC BY) license (https://creativecommons.org/licenses/by/4.0/).
Share and Cite
Saoudi, M.; Zaidi, B.; Alotaibi, A.A.; Althobaiti, M.G.; Alosime, E.M.; Ajjel, R. Polyaniline: Doping and Functionalization with Single Walled Carbon Nanotubes for Photovoltaic and Photocatalytic Application. Polymers 2021, 13, 2595. https://doi.org/10.3390/polym13162595
Saoudi M, Zaidi B, Alotaibi AA, Althobaiti MG, Alosime EM, Ajjel R. Polyaniline: Doping and Functionalization with Single Walled Carbon Nanotubes for Photovoltaic and Photocatalytic Application. Polymers. 2021; 13(16):2595. https://doi.org/10.3390/polym13162595
Chicago/Turabian StyleSaoudi, Mariem, Boubaker Zaidi, Abdullah A. Alotaibi, M.G. Althobaiti, Eid M. Alosime, and Ridha Ajjel. 2021. "Polyaniline: Doping and Functionalization with Single Walled Carbon Nanotubes for Photovoltaic and Photocatalytic Application" Polymers 13, no. 16: 2595. https://doi.org/10.3390/polym13162595
APA StyleSaoudi, M., Zaidi, B., Alotaibi, A. A., Althobaiti, M. G., Alosime, E. M., & Ajjel, R. (2021). Polyaniline: Doping and Functionalization with Single Walled Carbon Nanotubes for Photovoltaic and Photocatalytic Application. Polymers, 13(16), 2595. https://doi.org/10.3390/polym13162595

