Crosslinking Behavior of UV-Cured Polyorganosilazane as Polymer-Derived Ceramic Precursor in Ambient and Nitrogen Atmosphere
Abstract
:1. Introduction
2. Materials and Methods
2.1. Materials
2.2. Preparation and Characterization
2.3. Degree of Conversion of the Reactive Bonds in Durazane 1800
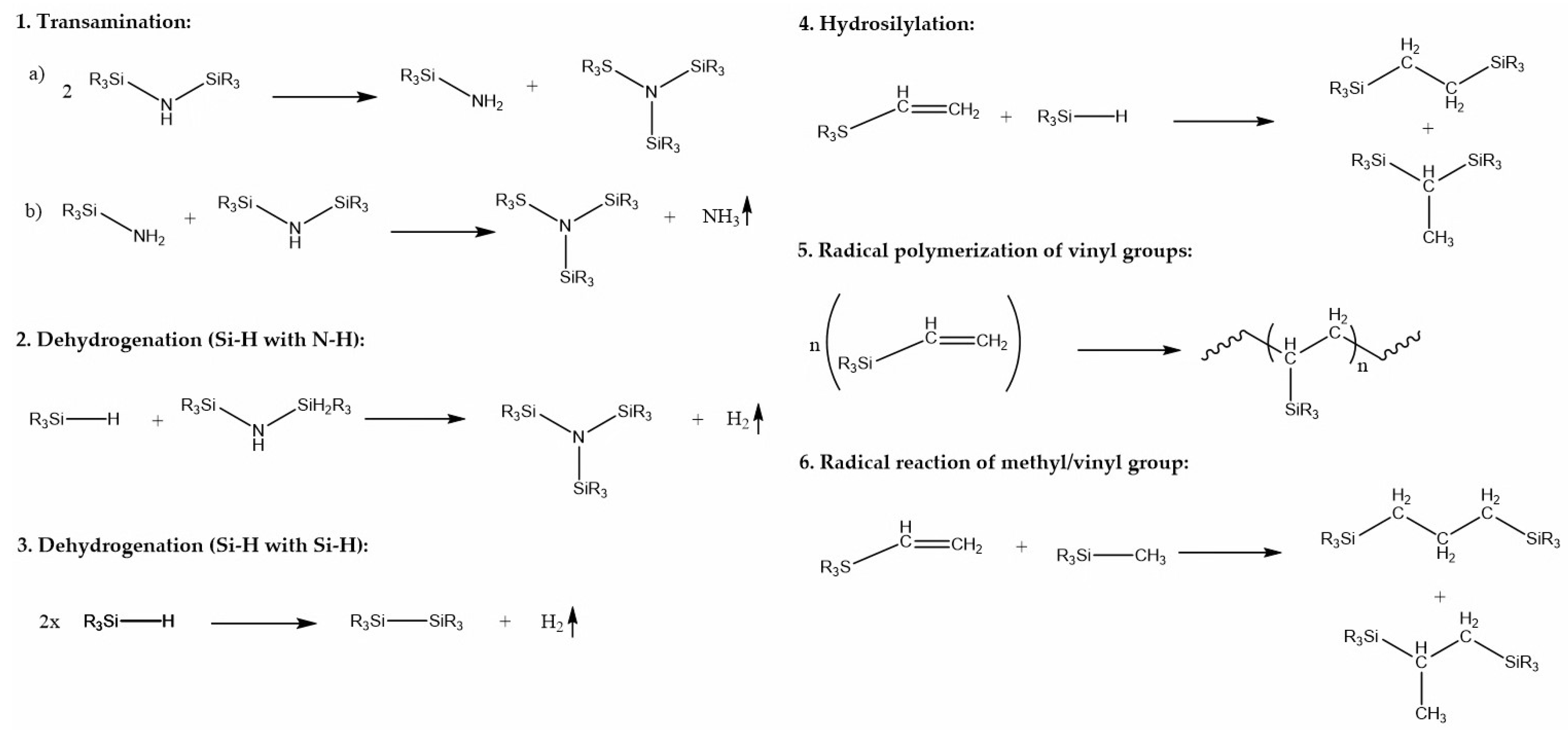
2.4. Crosslinking Mechanism of Polysilazane
3. Results and Discussion
3.1. UV-VIS Spectroscopy
3.2. FTIR Analysis
3.3. Thermogravimetric Analysis and Ceramic Yields
4. Conclusions
Author Contributions
Funding
Institutional Review Board Statement
Informed Consent Statement
Data Availability Statement
Acknowledgments
Conflicts of Interest
Appendix A
| Sample | DC (Vinyl Group) | DC (≡Si–H) | DC (N–H) | Ceramic Yield at 1200 °C |
|---|---|---|---|---|
| [%] | [%] | [%] | [%] | |
| Durazane 1800 uncured, N2 atmospere | - | - | - | 63 |
| Durazane 1800 uncured, ambient atmospere | - | - | - | 80 |
| DBS01 | 74 ± 7 | 62 ± 1 | - | 75 |
| DBS02 | 69 ± 2 | 55 ± 5 | - | 74 |
| DBS03 | 79 ± 7 | 41.8 ± 0.1 | 49 ± 3 | 72 |
| DBS04 | 87 ± 6 | 36 ± 14 | 43 ± 10 | 73 |
| DMABP01 | 77 ± 9 | 57 ± 4 | - | 77 |
| DMABP02 | 74 ± 8 | 62 ± 8 | - | 78 |
| DMABP03 | 88 ± 8 | 34 ± 9 | 37 ± 9 | 75 |
| DMABP04 | 89 ± 4 | 23.4 ± 0.3 | 24 ± 6 | 76 |
| DMABP05 | 47 ± 6 | 26 ± 7 | - | 75 |
| DMABP06 | 56 ± 19 | 36 ± 7 | - | 78 |
| DMABP07 | 69 ± 9 | 14 ± 10 | 22 ± 6 | 76 |
| DMABP08 | 67 ± 13 | 18 ± 5 | 22 ± 13 | 77 |
| ITX01 | 64 ± 7 | 52 ± 6 | - | 76 |
| ITX02 | 47 ± 8 | 61 ± 6 | - | 78 |
| ITX03 | 69 ± 3 | 41 ± 1 | 59 ± 7 | 77 |
| ITX04 | 94 ± 2 | 39 ± 5 | 42 ± 9 | 77 |
| ITX05 | 57 ± 4 | 51 ± 7 | - | 76 |
| ITX06 | 44 ± 10 | 37 ± 7 | - | 78 |
| ITX07 | 69 ± 4 | 42 ± 6 | 65 ± 8 | 74 |
| ITX08 | 75 ± 12 | 39 ± 3 | 44 ± 6 | 76 |
| Chemical Bonds | Stretching Vibrations | Deformation Vibrations |
|---|---|---|
| [cm−1] | [cm−1] | |
| N–H | 3382 | 1176 |
| C–H (vinyl) | 3046 | |
| C–H in CHx (CH3 asymmetric) | 2957 | |
| C–H in CHx (CH2 asymmetric) | 2902 | |
| C–H in CHx (CH asymmetric) | 2804 | |
| ≡Si–H | 2135 | |
| C=C double bond in vinyl group | 1596 | |
| CH3 | 1400 | |
| ≡Si–CH3 | 1257 | |
| ≡Si–CH2–CH2–Si≡ | 1180–1120 | |
| ≡Si–O–S≡ | 1080–1040 | |
| ≡Si–N–S≡ | ||
| ≡Si–CH=CH2 | 950 |



References
- Colombo, P.; Mera, G.; Riedel, R.; Sorarù, G.D. Polymer-Derived Ceramics: 40 Years of Research and Innovation in Advanced Ceramics: Polymer-Derived Ceramics. J. Am. Ceram. Soc. 2010, 93, 1805–1837. [Google Scholar] [CrossRef]
- Barroso, G.; Döring, M.; Horcher, A.; Kienzle, A.; Motz, G. Polysilazane-Based Coatings with Anti-Adherent Properties for Easy Release of Plastics and Composites from Metal Molds. Adv. Mater. Interfaces 2020, 7, 1901952. [Google Scholar] [CrossRef] [Green Version]
- Parchovianský, M.; Parchovianská, I.; Švančárek, P.; Motz, G.; Galusek, D. PDC Glass/Ceramic Coatings Applied to Differently Pretreated AISI441 Stainless Steel Substrates. Materials 2020, 13, 629. [Google Scholar] [CrossRef] [Green Version]
- Fonblanc, D.; Lopez-Ferber, D.; Wynn, M.; Lale, A.; Soleilhavoup, A.; Leriche, A.; Iwamoto, Y.; Rossignol, F.; Gervais, C.; Bernard, S. Crosslinking chemistry of poly(vinylmethyl-co-methyl)silazanes toward low-temperature formable preceramic polymers as precursors of functional aluminium-modified Si–C–N ceramics. Dalton Trans. 2018, 47, 14580–14593. [Google Scholar] [CrossRef] [PubMed]
- Kemp, J.W.; Hmeidat, N.S.; Compton, B.G. Boron nitride-reinforced polysilazane-derived ceramic composites via direct-ink writing. J. Am. Ceram. Soc. 2020, 103, 4043–4050. [Google Scholar] [CrossRef]
- Xiao, J.; Jia, Y.; Liu, D.; Cheng, H. Three-dimensional printing of SiCN ceramic matrix composites from preceramic polysilazane by digital light processing. Ceram. Int. 2020, 46, 25802–25807. [Google Scholar] [CrossRef]
- Kroke, E.; Li, Y.-L.; Konetschny, C.; Lecomte, E.; Fasel, C.; Riedel, R. Silazane derived ceramics and related materials. Mater. Sci. Eng. R Rep. 2000, 26, 97–199. [Google Scholar] [CrossRef]
- Krüger, C.R.; Rochow, E.G. Polyorganosilazanes. J. Polym. Sci. A 1964, 2, 3179–3189. [Google Scholar] [CrossRef]
- D’Elia, R.; Dusserre, G.; Del Confetto, S.; Eberling-Fux, N.; Descamps, C.; Cutard, T. Effect of dicumyl peroxide concentration on the polymerization kinetics of a polysilazane system. Polym. Eng. Sci. 2018, 58, 859–869. [Google Scholar] [CrossRef]
- Guo, X.; Feng, Y.; Liu, Y.; Lin, X.; Zhang, Y.; Gong, H. Cross-linking behavior and dielectric properties of SiCN precursor. Ceram. Int. 2017, 43, 16866–16871. [Google Scholar] [CrossRef]
- Ren, Z.; Gervais, C.; Singh, G. Preparation and structure of SiOCN fibres derived from cyclic silazane/poly-acrylic acid hybrid precursor. R. Soc. Open Sci. 2019, 6, 190690. [Google Scholar] [CrossRef] [Green Version]
- Flores, O.; Schmalz, T.; Krenkel, W.; Heymann, L.; Motz, G. Selective cross-linking of oligosilazanes to tailored meltable polysilazanes for the processing of ceramic SiCN fibres. J. Mater. Chem. A 2013, 1, 15406–15415. [Google Scholar] [CrossRef]
- Schulz, M.; Börner, M.; Göttert, J.; Hanemann, T.; Haußelt, J.; Motz, G. Cross Linking Behavior of Preceramic Polymers Effected by UV- and Synchrotron Radiation. Adv. Eng. Mater. 2004, 6, 676–680. [Google Scholar] [CrossRef]
- Kong, J.; Fan, X.; Zhang, G.; Xie, X.; Si, Q.; Wang, S. Synthesis and UV-curing behaviors of novel rapid UV-curable polyorganosilazanes. Polymer 2006, 47, 1519–1525. [Google Scholar] [CrossRef]
- He, W.; Chen, L.; Peng, F. Coating formed by SiBCN single source precursor via UV-photopolymerization. Mater. Lett. 2017, 206, 121–123. [Google Scholar] [CrossRef]
- Cramer, N.B.; Reddy, S.K.; Lu, H.; Cross, T.; Raj, R.; Bowman, C.N. Thiol-ene photopolymerization of polymer-derived ceramic precursors. J. Polym. Sci. Part Polym. Chem. 2004, 42, 1752–1757. [Google Scholar] [CrossRef]
- Obmann, R.; Schörpf, S.; Gorsche, C.; Liska, R.; Fey, T.; Konegger, T. Porous polysilazane-derived ceramic structures generated through photopolymerization-assisted solidification templating. J. Eur. Ceram. Soc. 2019, 39, 838–845. [Google Scholar] [CrossRef]
- Wang, X.; Schmidt, F.; Hanaor, D.; Kamm, P.H.; Li, S.; Gurlo, A. Additive manufacturing of ceramics from preceramic polymers: A versatile stereolithographic approach assisted by thiol-ene click chemistry. Addit. Manuf. 2019, 27, 80–90. [Google Scholar] [CrossRef] [Green Version]
- Drobny, J.G. Radiation Technology for Polymers, 3rd ed.; CRC Press: Boca Raton, FL, USA, 2020; ISBN 978-0-367-18932-7. [Google Scholar]
- Schwalm, R. UV Coatings Basics, Recent Developments and New Applications; Elsevier: Amsterdam, The Netherland; London, UK, 2007; ISBN 978-0-08-046689-7. [Google Scholar]
- Morlier, A.; Cros, S.; Garandet, J.-P.; Alberola, N. Structural properties of ultraviolet cured polysilazane gas barrier layers on polymer substrates. Thin Solid Films 2014, 550, 85–89. [Google Scholar] [CrossRef]
- Kim, J.; Jang, J.H.; Kim, J.-H.; Park, K.; Jang, J.S.; Park, J.; Park, N. Inorganic Encapsulation Method Using Solution-Processible Polysilazane for Flexible Solar Cells. ACS Appl. Energy Mater. 2020, 3, 9257–9263. [Google Scholar] [CrossRef]
- Tehfe, M.; Louradour, F.; Lalevée, J.; Fouassier, J.-P. Photopolymerization Reactions: On the Way to a Green and Sustainable Chemistry. Appl. Sci. 2013, 3, 490–514. [Google Scholar] [CrossRef]
- Mucci, V.; Vallo, C. Efficiency of 2,2-dimethoxy-2-phenylacetophenone for the photopolymerization of methacrylate monomers in thick sections. J. Appl. Polym. Sci. 2012, 123, 418–425. [Google Scholar] [CrossRef]
- Hu, L.-H.; Raj, R. Semiconductive Behavior of Polymer-Derived SiCN Ceramics for Hydrogen Sensing. J. Am. Ceram. Soc. 2015, 98, 1052–1055. [Google Scholar] [CrossRef]
- Liew, L.-A.; Liu, Y.; Luo, R.; Cross, T.; An, L.; Bright, V.M.; Dunn, M.L.; Daily, J.W.; Raj, R. Fabrication of SiCN MEMS by photopolymerization of pre-ceramic polymer. Sens. Actuators Phys. 2002, 95, 120–134. [Google Scholar] [CrossRef]
- Zhan, Y.; Grottenmüller, R.; Li, W.; Javaid, F.; Riedel, R. Evaluation of mechanical properties and hydrophobicity of room-temperature, moisture-curable polysilazane coatings. J. Appl. Polym. Sci. 2021, 138, 50469. [Google Scholar] [CrossRef]
- Günthner, M.; Schütz, A.; Glatzel, U.; Wang, K.; Bordia, R.K.; Greißl, O.; Krenkel, W.; Motz, G. High performance environmental barrier coatings, Part I: Passive filler loaded SiCN system for steel. J. Eur. Ceram. Soc. 2011, 31, 3003–3010. [Google Scholar] [CrossRef]
- Parchovianský, M.; Petríková, I.; Švančárek, P.; Lenz Leite, M.; Motz, G.; Galusek, D. Passive filler loaded polysilazane-derived glass/ceramic coating system applied to AISI 441 stainless steel, part 2: Oxidation behavior in synthetic air. Int. J. Appl. Ceram. Technol. 2020, 17, 1675–1687. [Google Scholar] [CrossRef]
- Mera, G.; Tamayo, A.; Nguyen, H.; Sen, S.; Riedel, R. Nanodomain Structure of Carbon-Rich Silicon Carbonitride Polymer-Derived Ceramics. J. Am. Ceram. Soc. 2010, 93, 1169–1175. [Google Scholar] [CrossRef]
- Kim, K.; Ju, H.; Kim, J. Pyrolysis behavior of polysilazane and polysilazane-coated-boron nitride for high thermal conductive composite. Compos. Sci. Technol. 2017, 141, 1–7. [Google Scholar] [CrossRef]
- Sideridou, I.; Tserki, V.; Papanastasiou, G. Effect of chemical structure on degree of conversion in light-cured dimethacrylate-based dental resins. Biomaterials 2002, 23, 1819–1829. [Google Scholar] [CrossRef]
- Norrish Type II Reaction: (Norrish Type II Process, Norrish Type II Photoreaction, Yang Cyclization). In Comprehensive Organic Name Reactions and Reagents; John Wiley & Sons, Inc.: Hoboken, NJ, USA, 2010; ISBN 978-0-470-63885-9.
- Calbo, L.J. (Ed.) Handbook of Coatings Additives; M. Dekker: New York, NY, USA, 1987; ISBN 978-0-8247-7561-2. [Google Scholar]
- Bill, J.; Seitz, J.; Thurn, G.; Dürr, J.; Canel, J.; Janos, B.Z.; Jalowiecki, A.; Sauter, D.; Schempp, S.; Lamparter, H.P.; et al. Structure Analysis and Properties of Si–C–N Ceramics Derived from Polysilazanes. Phys. Status Solidi A 1998, 166, 269–296. [Google Scholar] [CrossRef]
- Reschke, S.; Haluschka, C.; Riedel, R.; Lenčéš, Z.; Galusek, D. In situ generated homogeneous and functionally graded ceramic materials derived from polysilazane. J. Eur. Ceram. Soc. 2003, 23, 1963–1970. [Google Scholar] [CrossRef]
- Chavez, R.; Ionescu, E.; Balan, C.; Fasel, C.; Riedel, R. Effect of ambient atmosphere on crosslinking of polysilazanes. J. Appl. Polym. Sci. 2011, 119, 794–802. [Google Scholar] [CrossRef]
- Arkles, B.; Larson, G.L. Silicon Compounds: Silanes and Silicones; Gelest: Morrisville, PA, USA, 2013; ISBN 978-0-578-12235-9. [Google Scholar]
- Dargère, N.; Bounor-Legaré, V.; Boisson, F.; Cassagnau, P.; Martin, G.; Sonntag, P.; Garois, N. Hydridosilazanes hydrolysis-condensation reactions studied by 1H and 29Si liquid NMR spectroscopy. J. Sol. Gel. Sci. Technol. 2012, 62, 389–396. [Google Scholar] [CrossRef]
- Müller, S.; de Hazan, Y.; Penner, D. Effect of temperature, humidity and aminoalkoxysilane additive on the low temperature curing of polyorganosilazane coatings studied by IR spectroscopy, gravimetric and evolved gas analysis. Prog. Org. Coat. 2016, 97, 133–145. [Google Scholar] [CrossRef]
- Bauer, F.; Decker, U.; Dierdorf, A.; Ernst, H.; Heller, R.; Liebe, H.; Mehnert, R. Preparation of moisture curable polysilazane coatings. Prog. Org. Coat. 2005, 53, 183–190. [Google Scholar] [CrossRef]
- Günthner, M.; Wang, K.; Bordia, R.K.; Motz, G. Conversion behaviour and resulting mechanical properties of polysilazane-based coatings. J. Eur. Ceram. Soc. 2012, 32, 1883–1892. [Google Scholar] [CrossRef]
- Greil, P. Polymer Derived Engineering Ceramics. Adv. Eng. Mater. 2000, 2, 339–348. [Google Scholar] [CrossRef]
- Barroso, G.; Li, Q.; Bordia, R.K.; Motz, G. Polymeric and ceramic silicon-based coatings—A review. J. Mater. Chem. A 2019, 7, 1936–1963. [Google Scholar] [CrossRef]
- Green, W.A. Industrial Photoinitiators: A Technical Guide; CRC Press: Boca Raton, FL, USA, 2010; ISBN 978-1-4398-2745-1. [Google Scholar]














| Polymerization | |||||
|---|---|---|---|---|---|
| Sample | Initiator | c (Initiator) | ci (Initiator) | UV Lamp | Atmosphere |
| [wt %] | (mol/L) | [nm] | |||
| DBS01 | DBS | 1 | 1.6 × 10−2 | 385 | Ambient |
| DBS02 | DBS | 3 | 4.8 × 10−2 | 385 | Ambient |
| DBS03 | DBS | 1 | 1.6 × 10−2 | 385 | N2 |
| DBS04 | DBS | 3 | 4.8 × 10−2 | 385 | N2 |
| DMABP01 | DMABP | 1 | 1.5 × 10−2 | 385 | Ambient |
| DMABP02 | DMABP | 3 | 4.4 × 10−2 | 385 | Ambient |
| DMABP03 | DMABP | 1 | 1.5 × 10−2 | 385 | N2 |
| DMABP04 | DMABP | 3 | 4.4 × 10−2 | 385 | N2 |
| DMABP05 | DMABP | 1 | 1.5 × 10−2 | 405 | Ambient |
| DMABP06 | DMABP | 3 | 4.4 × 10−2 | 405 | Ambient |
| DMABP07 | DMABP | 1 | 1.5 × 10−2 | 405 | N2 |
| DMABP08 | DMABP | 3 | 4.4 × 10−2 | 405 | N2 |
| ITX01 | ITX | 1 | 1.3 × 10−2 | 385 | Ambient |
| ITX02 | ITX | 3 | 3.9 × 10−2 | 385 | Ambient |
| ITX03 | ITX | 1 | 1.3 × 10−2 | 385 | N2 |
| ITX04 | ITX | 3 | 3.9 × 10−2 | 385 | N2 |
| ITX05 | ITX | 1 | 1.3 × 10−2 | 405 | Ambient |
| ITX06 | ITX | 3 | 3.9 × 10−2 | 405 | Ambient |
| ITX07 | ITX | 1 | 1.3 × 10−2 | 405 | N2 |
| ITX08 | ITX | 3 | 3.9 × 10−2 | 405 | N2 |
| UV-C | UV-B | UV-A | |
|---|---|---|---|
| Photoinitiator | Absorption Maximum λmax | Absorption Maximum λmax | Absorption Maximum λmax |
| [nm] | [nm] | [nm] | |
| DBS | 255 | 307 | 352 |
| ITX | 258 | 290; 301 | 382 |
| DMABP | 248 | - | 351 |
| Chemical Bonds | Stretching Vibrations | Deformation Vibrations |
|---|---|---|
| [cm−1] | [cm−1] | |
| ≡Si–NH–Si≡ | 3382 | 1176 |
| C=C double bond in vinyl group | 1596; 1400 | |
| ≡Si–CH3 | 1257 | |
| ≡Si–CH2–CH2–Si≡ | 1180–1120 | |
| ≡Si–O–Si≡ | 1080–1040 |
Publisher’s Note: MDPI stays neutral with regard to jurisdictional claims in published maps and institutional affiliations. |
© 2021 by the authors. Licensee MDPI, Basel, Switzerland. This article is an open access article distributed under the terms and conditions of the Creative Commons Attribution (CC BY) license (https://creativecommons.org/licenses/by/4.0/).
Share and Cite
Qazzazie-Hauser, A.; Honnef, K.; Hanemann, T. Crosslinking Behavior of UV-Cured Polyorganosilazane as Polymer-Derived Ceramic Precursor in Ambient and Nitrogen Atmosphere. Polymers 2021, 13, 2424. https://doi.org/10.3390/polym13152424
Qazzazie-Hauser A, Honnef K, Hanemann T. Crosslinking Behavior of UV-Cured Polyorganosilazane as Polymer-Derived Ceramic Precursor in Ambient and Nitrogen Atmosphere. Polymers. 2021; 13(15):2424. https://doi.org/10.3390/polym13152424
Chicago/Turabian StyleQazzazie-Hauser, Afnan, Kirsten Honnef, and Thomas Hanemann. 2021. "Crosslinking Behavior of UV-Cured Polyorganosilazane as Polymer-Derived Ceramic Precursor in Ambient and Nitrogen Atmosphere" Polymers 13, no. 15: 2424. https://doi.org/10.3390/polym13152424
APA StyleQazzazie-Hauser, A., Honnef, K., & Hanemann, T. (2021). Crosslinking Behavior of UV-Cured Polyorganosilazane as Polymer-Derived Ceramic Precursor in Ambient and Nitrogen Atmosphere. Polymers, 13(15), 2424. https://doi.org/10.3390/polym13152424

