An Apparent Gas Permeability Model for Real Gas Flow in Fractured Porous Media with Roughened Surfaces
Abstract
1. Introduction
2. Basic Fractal Theory
3. A Novel Fractal Model for Gas Apparent Permeability of Tight Reservoir Rocks with Rough Surfaces
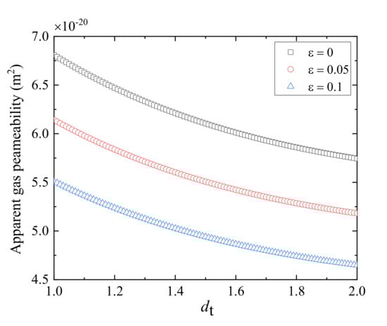
4. The Result and Discussion
5. Conclusions
Author Contributions
Funding
Institutional Review Board Statement
Informed Consent Statement
Data Availability Statement
Conflicts of Interest
References
- Darabi, H.; Ettehad, A.; Javadpour, F.; Sepehrnoori, K. Gas flow in ultra-tight shale strata. J. Fluid Mech. 2012, 710, 641–658. [Google Scholar] [CrossRef]
- Ren, W.X.; Li, G.S.; Tian, S.C.; Sheng, M.; Fan, X. An analytical model for real gas flow in shale nanopores with non-circular cross-section. AIChE J. 2016, 62, 2893–2901. [Google Scholar] [CrossRef]
- Agrawal, A.; Prabhu, S.V. Survey on measurement of tangential momentum accommodation coefficient. J. Vac. Sci. Technol. A 2008, 26, 634–645. [Google Scholar] [CrossRef]
- Beskok, A.; Karniadakis, G.E. A model for flows in channels, pipes, and ducts at micro and nano scales. Microscale Thermophys. Eng. 1999, 3, 43–77. [Google Scholar]
- Javadpour, F. Nanopores and apparent permeability of gas flow in mudrocks (shales and siltstone). J. Can. Pet. Technol. 2009, 48, 16–21. [Google Scholar] [CrossRef]
- Veltzke, T.; Thöming, J. An analytically predictive model for moderately rarefied gas flow. J. Fluid Mech. 2012, 698, 406–422. [Google Scholar] [CrossRef]
- Ziarani, A.S.; Aguilera, R. Knudsen’s permeability correction for tight porous media. Transp. Porous Media 2012, 91, 239–260. [Google Scholar] [CrossRef]
- Singh, H.; Javadpour, F.; Ettehadtavakkol, A.; Darabi, H. Nonempirical apparent permeability of shale. SPE Reserv. Eval. Eng. 2014, 17, 414–424. [Google Scholar] [CrossRef]
- Wu, K.L.; Chen, Z.X.; Li, X.F. Real gas transport through nanopores of varying cross-section type and shape in shale gas reservoirs. Chem. Eng. J. 2015, 281, 813–825. [Google Scholar] [CrossRef]
- Wu, K.L.; Li, X.F.; Wang, C.C.; Chen, Z.X.; Yu, W. A model for gas transport in microfractures of shale and tight gas reservoirs. AIChE J. 2015, 61, 2079–2088. [Google Scholar] [CrossRef]
- Yuan, Y.D.; Doonechaly, N.G.; Rahman, S. An analytical model of apparent gas permeability for tight porous media. Transp. Porous Media 2016, 111, 193–214. [Google Scholar] [CrossRef]
- Cai, J.C.; Xia, Y.X.; Lu, C.; Bian, H.; Zou, S.M. Creeping microstructure and fractal permeability model of natural gas hydrate reservoir. Mar. Pet. Geol. 2020, 115, 104282. [Google Scholar] [CrossRef]
- Wang, S.F.; Wu, T.; Cao, X.Y.; Zheng, Q.S.; Ai, M. A fractal model for gas apparent permeability in microfractures of tight/shale reservoirs. Fractals Complex Geom. Patterns Scaling Nat. Soc. 2017, 25, 1750036. [Google Scholar] [CrossRef]
- Wu, T.; Wang, S.F. A fractal permeability model for real gas in shale reservoirs coupled with knudsen diffusion and surface diffusion effects. Fractals Complex Geom. Patterns Scaling Nat. Soc. 2020, 28, 2050017. [Google Scholar] [CrossRef]
- Wang, H.; Su, Y.; Zhao, Z.; Wang, W.; Sheng, G.; Zhan, S. Apparent permeability model for shale oil transport through elliptic nanopores considering wall-oil interaction. J. Pet. Sci. Eng. 2019, 176, 1041–1052. [Google Scholar] [CrossRef]
- Wang, P.; Jiang, Z.; Yin, L.; Chen, L.; Li, Z.; Zhang, C.; Li, T.; Huang, P. Lithofacies classification and its effect on pore structure of the Cambrian marine shale in the Upper Yangtze Platform, South China: Evidence from FE-SEM and gas adsorption analysis. J. Pet. Sci. Eng. 2017, 156, 307–321. [Google Scholar] [CrossRef]
- Wang, Q.; Cheng, Z. A fractal model of water transport in shale reservoirs. Chem. Eng. Sci. 2019, 198, 62–73. [Google Scholar] [CrossRef]
- Xiao, B.Q.; Wang, W.; Zhang, X.; Long, G.B.; Fan, J.T.; Chen, H.X.; Deng, L. A novel fractal solution for permeability and Kozeny-Carman constant of fibrous porous media made up of solid particles and porous fibers. Powder Technol. 2019, 349, 92–98. [Google Scholar] [CrossRef]
- Xiao, B.Q.; Huang, Q.; Yu, B.M.; Long, G.B.; Chen, H. A fractal model for predicting oxygen effective diffusivity of porous media with rough surfaces under dry and wet conditions. Fractals 2021, 29, 2150076. [Google Scholar] [CrossRef]
- Zimmerman, R.W.; Bodvarsson, G.S. Hydraulic conductivity of rock fractures. Transp. Porous Media 1996, 23, 1–30. [Google Scholar] [CrossRef]
- Angot, P.; Boyer, F.; Hubert, F. Fractures and fracture networks. Esaim Math. Model. Numer. Anal. 2009, 43, 239–275. [Google Scholar] [CrossRef]
- Xiao, B.Q.; Huang, Q.W.; Chen, H.X.; Chen, X.B.; Long, G.B. A fractal model for capillary flow through a single tortuous capillary with roughened surfaces in fibrous porous media. Fractals Complex Geom. Patterns Scaling Nat. Soc. 2021, 29, 2150017. [Google Scholar] [CrossRef]
- Xiao, B.Q.; Wang, S.; Wang, Y.; Jiang, G.P.; Zhang, Y.D.; Chen, H.X.; Liang, M.C.; Long, G.B.; Chen, X.B. Effective thermal conductivity of porous media with roughened surfaces by fractal-monte carlo simulations. Fractals Complex Geom. Patterns Scaling Nat. Soc. 2020, 28, 2050029. [Google Scholar] [CrossRef]
- Su, H.B.; Zhang, Y.D.; Xiao, B.Q.; Huang, X.M.; Yu, B.M. A fractal-monte carlo approach to model oil and water two-phase seepage in low-permeability reservoirs with rough surfaces. Fractals Complex Geom. Patterns Scaling Nat. Soc. 2021, 29, 2150003. [Google Scholar]
- Zheng, Q.; Fan, J.; Li, X.; Xu, C. Fractal analysis of the effect of rough surface morphology on gas slip flow in micro- and nano- porous media. Chem. Eng. Sci. 2018, 189, 260–265. [Google Scholar] [CrossRef]
- Xiao, B.; Zhang, Y.; Wang, Y.A.N.; Jiang, G.; Liang, M.; Chen, X.; Long, G. A fractal model for Kozeny–Carman constant and dimensionless permeability of fibrous porous media with roughened surfaces. Fractals Complex Geom. Patterns Scaling Nat. Soc. 2019, 27, 1950116. [Google Scholar] [CrossRef]
- Yang, S.; Liang, M.C.; Yu, B.M.; Zou, M.Q. Permeability model for fractal porous media with rough surfaces. Microfluid. Nanofluidics 2015, 18, 1085–1093. [Google Scholar] [CrossRef]
- Yang, S.; Yu, B.; Zou, M.; Liang, M. A fractal analysis of laminar flow resistance in roughened microchannels. Int. J. Heat Mass Transf. 2014, 77, 208–217. [Google Scholar] [CrossRef]
- Zimmerman, R.W.; Kumar, S.; Bodvarsson, G.S. Lubrication theory analysis of the permeability of rough-walled fractures. Int. J. Rock Mech. Min. Sci. Geomech. Abstr. 1991, 28, 325–331. [Google Scholar] [CrossRef]
- Felisa, G.; Lenci, A.; Lauriola, I.; Longo, S.; Federicol, V.D. Flow of truncated power-law fluid in fracture channels of variable aperture. Adv. Water Resour. 2018, 122, 317–327. [Google Scholar] [CrossRef]
- Miao, T.J.; Yu, B.M.; Duan, Y.G.; Fang, Q.T. A fractal analysis of permeability for fractured rocks. Int. J. Heat Mass Transf. 2015, 81, 75–80. [Google Scholar] [CrossRef]
- Xu, P.; Liu, H.C.; Sasmito, A.P.; Qiu, S.X.; Li, C.H. Effective permeability of fractured porous media with fractal dual-porosity model. Fractals Complex Geom. Patterns Scaling Nat. Soc. 2017, 25, 1740014. [Google Scholar] [CrossRef]
- Wang, F.; Cheng, H. A fractal permeability model for 2D complex tortuous fractured porous media. J. Pet. Sci. Eng. 2020, 188, 106938. [Google Scholar] [CrossRef]
- Moghadam, A.A.; Chalaturnyk, R. Expansion of the Klinkenberg’s slippage equation to low permeability porous media. Int. J. Coal Geol. 2014, 123, 2–9. [Google Scholar] [CrossRef]
- Wei, W.; Cai, J.C.; Xiao, J.F.; Meng, Q.B.; Xiao, B.Q.; Han, Q. Kozeny-Carman constant of porous media: Insights from fractal-capillary imbibition theory. Fuel 2018, 234, 1373–1379. [Google Scholar] [CrossRef]
- Liang, M.C.; Liu, Y.M.; Xiao, B.Q.; Yang, S.S.; Wang, Z.K.; Han, H.M. An analytical model for the transverse permeability of gas diffusion layer with electrical double layer effects in proton exchange membrane fuel cells. Int. J. Hydrog. Energy 2018, 43, 17880–17888. [Google Scholar] [CrossRef]
- Yu, B.M.; Cheng, P. A fractal permeability model for bi-dispersed porous media. Int. J. Heat Mass Transf. 2002, 45, 2983–2993. [Google Scholar] [CrossRef]
- Yu, B.M. Analysis of flow in fractal porous media. Appl. Mech. Rev. 2008, 61, 050801. [Google Scholar] [CrossRef]
- Liang, M.C.; Fu, C.G.; Xiao, B.Q.; Luo, L.; Wang, Z. A fractal study for the effective electrolyte diffusion through charged porous media. Int. J. Heat Mass Transf. 2019, 137, 365–371. [Google Scholar] [CrossRef]
- Torabi, A.; Berg, S.S. Scaling of fault attributes: A review. Mar. Pet. Geol. 2011, 28, 1444–1460. [Google Scholar] [CrossRef]
- Majumdar, A.; Bhushan, B. Fractal model of elastic-plastic contact between rough surfaces. J. Tribol. Trans. ASME 1991, 113, 1–11. [Google Scholar] [CrossRef]
- Herwig, H.; Gloss, D.; Wenterodt, T. Flow in channels with rough walls-old and new concepts. Heat Transf. Eng. 2010, 31, 658–665. [Google Scholar] [CrossRef]
- Zheng, Q.; Fan, J.T.; Xu, C. Fractal model of gas diffusion through porous fibrous materials with rough surfaces. Fractals 2018, 26, 1850065. [Google Scholar] [CrossRef]
- Lee, A.L.; Gonzalez, M.H.; Eakin, B.E. The viscosity of natural gases. J. Pet. Technol. 1966, 18, 997–1000. [Google Scholar] [CrossRef]
- Dranchuk, P.M.; Aboukassem, J.H. Calculation of z factors for natural gases using equations of state. J. Can. Pet. Technol. 1975, 14, 34–36. [Google Scholar] [CrossRef]
- Xu, P.; Yu, B.M. Developing a new form of permeability and Kozeny–Carman constant for homogeneous porous media by means of fractal geometry. Adv. Water Resour. 2008, 31, 74–81. [Google Scholar] [CrossRef]
- Cai, J.; Luo, L.; Ye, R.; Zeng, X.; Hu, X. Recent advances on fractal modeling of permeability for fibrous porous media. Fractals 2015, 23, 1540006. [Google Scholar] [CrossRef]
- Comiti, J.; Renaud, M. A new model for determining mean structure parameters of fixed-beds from pressure-drop measurements-application to beds packed with parallelepipedal particles. Chem. Eng. Sci. 1989, 44, 1539–1545. [Google Scholar] [CrossRef]
- Wang, S.F.; Wu, T.; Qi, H.Y.; Zheng, Q.S.; Zheng, Q. A permeability model for power-law fluids in fractal porous media composed of arbitrary cross-section capillaries. Phys. A Stat. Mech. Its Appl. 2015, 437, 12–20. [Google Scholar] [CrossRef]
- Letham, E.A. Matrix Permeability Measurements of Gas Shales: Gas Slippage and Adsorption as Sources of Systematic Error. Bachelor‘s Thesis, The University of British Columbia, Vancouver, BC, Canada, 2011. [Google Scholar]








| Model | Description | Comment |
|---|---|---|
| Beskok and Karniadakis (1999) [4] | A unified Hagen–Poiseuille type equation to describe various flow regimes | two empirical constants introduced, suitable for a pipe and a rectangular channel with smooth surfaces |
| Javadpour (2009) [5] | A model for fluid flow in a single, straight, and cylindrical nanochannel with Knudsen diffusion and slip flow included | TMAC introduced, only suitable for a tube with smooth surfaces |
| Thomas Veltzke and Jorg Thöming (2012) [6] | A model developed based on superposition of convective transport and Fickian diffusion | without TMAC and suitable for a tube and a rectangular channel with smooth surfaces |
| Darabi et al. (2012) [1] | The extension of Javadpour model | TMAC introduced; only suitable for circular tube and smooth walls |
| Ziarani and Aguilera (2012) [7] | Knudsen’s Permeability model developed based on Beskok and Karniadakis model for microflows | some empirical constants introduced |
| Singh and Javadpour (2014) [8] | A model developed based on superposition of convective transport and Knudsen diffusion | suitable for a tube and a rectangular channel; without the effect of rough surface morphology on gas transport |
| Wu et al. (2015) [9] | A model developed based on the weighted superposition of slip flow and Knudsen diffusion | slip effect, real gas effect, the impact of nanopore type and shape included; without the consideration of pore wall roughness |
| Wu et al. (2015) [10] | A model developed by coupling slip flow and Knudsen diffusion together using the weighted coefficients | weighted factor included; suitable for fractures with rectangular cross-sections with smooth surfaces |
| Yuan et al. (2016) [11] | A model developed based on Beskok and Karniadakis general slip boundary condition and fractal theory | suitable for circular capillaries with smooth surfaces |
| Cai et al. (2020) [12] | A fractal permeability model developed with consideration of axial stress and creeping microstructure | suitable for circular capillaries with smooth surfaces |
Publisher’s Note: MDPI stays neutral with regard to jurisdictional claims in published maps and institutional affiliations. |
© 2021 by the authors. Licensee MDPI, Basel, Switzerland. This article is an open access article distributed under the terms and conditions of the Creative Commons Attribution (CC BY) license (https://creativecommons.org/licenses/by/4.0/).
Share and Cite
Wu, T.; Wang, Q.; Wang, S. An Apparent Gas Permeability Model for Real Gas Flow in Fractured Porous Media with Roughened Surfaces. Polymers 2021, 13, 1937. https://doi.org/10.3390/polym13121937
Wu T, Wang Q, Wang S. An Apparent Gas Permeability Model for Real Gas Flow in Fractured Porous Media with Roughened Surfaces. Polymers. 2021; 13(12):1937. https://doi.org/10.3390/polym13121937
Chicago/Turabian StyleWu, Tao, Qian Wang, and Shifang Wang. 2021. "An Apparent Gas Permeability Model for Real Gas Flow in Fractured Porous Media with Roughened Surfaces" Polymers 13, no. 12: 1937. https://doi.org/10.3390/polym13121937
APA StyleWu, T., Wang, Q., & Wang, S. (2021). An Apparent Gas Permeability Model for Real Gas Flow in Fractured Porous Media with Roughened Surfaces. Polymers, 13(12), 1937. https://doi.org/10.3390/polym13121937

