Interface Modification, Water Absorption Behaviour and Mechanical Properties of Injection Moulded Short Hemp Fiber-Reinforced Thermoplastic Composites
Abstract
1. Introduction
2. Materials and Methods
2.1. Materials
2.2. Compound and Specimens Preparation
2.3. Differential Scanning Calorimetry (DSC) and Thermal Gravimetric (TGA) Analyses
2.4. Water Absorption
2.5. Flexural Tests
2.6. Scanning Electron Microscopy (SEM)
3. Results and Discussion
3.1. DSC and TGA Analyses
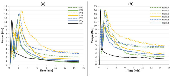
3.2. Torque Rheometry Analysis
3.3. Water Absorption Kinetics
3.4. Effects of Water Absorption on the Flexural Properties
3.5. SEM Analyses
4. Conclusions
- –
- The water absorption behaviour of composites showed a Fickian mode of diffusion, where the kinetics parameters are influenced by the polymeric matrix, fiber content and matrix-fiber interfacial adhesion (CA + SA).
- –
- The addition of CA + SA to composites resulted in a decrease of: (1) initial rate of water absorption, (2) amount of water at equilibrium, (3) diffusion coefficient, which falls on the order of 10−6 and (4) permeability coefficient, while both the diffusion and permeability coefficients increase with increasing fiber content in the composites.
- –
- PP composites show slightly higher values of water absorption and diffusion coefficients than HDPE composites.
- –
- Composites experienced weight loss as well as colour fading after 1512 h of water immersion, however composites based on a HDPE matrix, namely HDPE4, HDPE5, HDPE6 and HDPE7, showed better colour retention. The addition of CA or CA + SA, positively influenced the colour stability of composites based on a HDPE matrix.
- –
- Flexural mechanical property measurments for specimens before aging showed that enhanced of 4.03 and 2.46 GPa, and of 59.31 and 41.64 MPa were obtained for PP5 (CA) and HDPE7 (CA+SA) composites composed of 40 wt% hemp fiber, respectively. The improved mechanical properties are due to a better interfacial adhesion between the matrix and fiber and better dispersion of the fibers within the matrix, as confirmed by SEM micrographs.
- –
- The addition of SA compromised the flexural mechanical properties of PP6 and PP7 composites, which might be attributed to a possible plasticizing effect on the PP matrix [54].
- –
- The flexural mechanical properties of composites based on a HDPE matrix are lower than those of composites based on PP.
- –
- Water absorption by the composites resulted in a decrease of and in both situations: at the end of immersion time and on re-dried aged specimens. Therefore, water absorption by the composites resulted in a permanent damage in the interfacial bonding between matrix-fiber, after log-term aging, which also was confirmed by SEM.
- –
- Despite the decrease of and due to water absorption, composites based on a HDPE matrix showed lower reduction of and than composites based on PP.
Author Contributions
Funding
Institutional Review Board Statement
Informed Consent Statement
Data Availability Statement
Conflicts of Interest
References
- Khan, T.; Hameed Sultan, M.T.B.; Ariffin, A.H. The Challenges of Natural Fiber in Manufacturing, Material Selection, and Technology Application: A Review. J. Reinf. Plast. Compos. 2018, 37, 770–779. [Google Scholar] [CrossRef]
- Mutjé, P.; Vallejos, M.E.; Gironès, J.; Vilaseca, F.; López, A.; López, J.P.; Méndez, J.A. Effect of Maleated Polypropylene as Coupling Agent for Polypropylene Composites Reinforced with Hemp Strands. J. Appl. Polym. Sci. 2006, 102, 833–840. [Google Scholar] [CrossRef]
- Witten, E.; Mathes, V. The Market for Glass Fibre Reinforced Plastics (GRP) in 2019. Mark. Dev. Trends Outlooks Chall. 2019, 4–29. [Google Scholar]
- Mochane, M.J.; Mokhena, T.C.; Mokhothu, T.H.; Mtibe, A.; Sadiku, E.R.; Ray, S.S.; Ibrahim, I.D.; Daramola, O.O. Recent Progress on Natural Fiber Hybrid Composites for Advanced Applications: A Review. Express Polym. Lett. 2019, 13, 159–198. [Google Scholar] [CrossRef]
- Shalwan, A.; Yousif, B.F. In State of Art: Mechanical and Tribological Behaviour of Polymeric Composites Based on Natural Fibres. Mater. Des. 2013, 48, 14–24. [Google Scholar] [CrossRef]
- Safri, S.N.A.; Sultan, M.T.H.; Jawaid, M.; Jayakrishna, K. Impact Behaviour of Hybrid Composites for Structural Applications: A Review. Compos. Part B Eng. 2018, 133, 112–121. [Google Scholar] [CrossRef]
- Satyanarayana, K.G.; Arizaga, G.G.C.; Wypych, F. Biodegradable Composites Based on Lignocellulosic Fibers—An Overview. Prog. Polym. Sci. 2009, 34, 982–1021. [Google Scholar] [CrossRef]
- Xia, C.; Wang, K.; Dong, Y.; Zhang, S.; Shi, S.Q.; Cai, L.; Ren, H.; Zhang, H.; Li, J. Dual-Functional Natural-Fiber Reinforced Composites by Incorporating Magnetite. Compos. Part B Eng. 2016, 93, 221–228. [Google Scholar] [CrossRef]
- Manaia, J.P.; Manaia, A.T.; Rodriges, L. Industrial Hemp Fibers: An Overview. J. Fibers 2019, 7, 106. [Google Scholar] [CrossRef]
- Sair, S.; Oushabi, A.; Kammouni, A.; Tanane, O.; Abboud, Y.; El Bouari, A. Mechanical and Thermal Conductivity Properties of Hemp Fiber Reinforced Polyurethane Composites. Case Stud. Constr. Mater. 2018, 8, 203–212. [Google Scholar] [CrossRef]
- Sain, M.; Suhara, P.; Law, S.; Bouilloux, A. Interface Modification and Mechanical Properties of Natural Fiber-Polyolefin Composite Products. J. Reinf. Plast. Compos. 2005, 24, 121–130. [Google Scholar] [CrossRef]
- Panthapulakkal, S.; Sain, M. Studies on the Water Absorption Properties of Short Hemp-Glass Fiber Hybrid Polypropylene Composites. J. Compos. Mater. 2007, 41, 1871–1883. [Google Scholar] [CrossRef]
- Pracella, M.; Chionna, D.; Anguillesi, I.; Kulinski, Z.; Piorkowska, E. Functionalization, Compatibilization and Properties of Polypropylene Composites with Hemp Fibres. Compos. Sci. Technol. 2006, 66, 2218–2230. [Google Scholar] [CrossRef]
- Akil, H.M.; Santulli, C.; Sarasini, F.; Tirillò, J.; Valente, T. Environmental Effects on the Mechanical Behaviour of Pultruded Jute/Glass Fibre-Reinforced Polyester Hybrid Composites. Compos. Sci. Technol. 2014, 94, 62–70. [Google Scholar] [CrossRef]
- Pickering, K.L.; Efendy, M.G.A.; Le, T.M. A Review of Recent Developments in Natural Fibre Composites and Their Mechanical Performance. Compos. Part A Appl. Sci. Manuf. 2016, 83, 98–112. [Google Scholar] [CrossRef]
- Pickering, K.L.; Beckermann, G.W.; Alam, S.N.; Foreman, N.J. Optimising Industrial Hemp Fibre for Composites. Compos. Part A Appl. Sci. Manuf. 2007, 38, 461–468. [Google Scholar] [CrossRef]
- Fang, H.; Zhang, Y.; Deng, J.; Rodrigue, D. Effect of Fiber Treatment on the Water Absorption and Mechanical Properties of Hemp Fiber/Polyethylene Composites. J. Appl. Polym. Sci. 2013, 127, 942–949. [Google Scholar] [CrossRef]
- Sullins, T.; Pillay, S.; Komus, A.; Ning, H. Hemp Fiber Reinforced Polypropylene Composites: The Effects of Material Treatments. Compos. Part B Eng. 2017, 114, 15–22. [Google Scholar] [CrossRef]
- Li, H.; Sain, M.M. High Stiffness Natural Fiber-Reinforced Hybrid Polypropylene Composites. Polym. Plast. Technol. Eng. 2003, 42, 853–862. [Google Scholar] [CrossRef]
- Shahzad, A. Hemp Fiber and Its Composites—A Review. J. Compos. Mater. 2012, 46, 973–986. [Google Scholar] [CrossRef]
- Wang, K.; Addiego, F.; Laachachi, A.; Kaouache, B.; Bahlouli, N.; Toniazzo, V.; Ruch, D. Dynamic Behavior and Flame Retardancy of HDPE/Hemp Short Fiber Composites: Effect of Coupling Agent and Fiber Loading. Compos. Struct. 2014, 113, 74–82. [Google Scholar] [CrossRef]
- Fernandes, E.M.; Correlo, V.M.; Mano, J.F.; Reis, R.L. Polypropylene-Based Cork-Polymer Composites: Processing Parameters and Properties. Compos. Part B Eng. 2014, 66, 210–223. [Google Scholar] [CrossRef]
- Kiattipanich, N.; Kreua-Ongarjnukool, N.; Pongpayoon, T.; Phalakornkule, C. Properties of Polypropylene Composites Reinforced with Stearic Acid Treated Sugarcane Fiber. J. Polym. Eng. 2007, 27, 411–428. [Google Scholar] [CrossRef]
- Tajvidi, M.; Motie, N.; Rassam, G.; Falk, R.H.; Felton, C. Mechanical Performance of Hemp Fiber Polypropylene Composites at Different Operating Temperatures. J. Reinf. Plast. Compos. 2010, 29, 664–674. [Google Scholar] [CrossRef]
- Robertson, N.L.M.; Nychka, J.A.; Alemaskin, K.; Wolodko, J.D. Mechanical Performance and Moisture Absorption of Various Natural Fiber Reinforced Thermoplastic Composites. J. Appl. Polym. Sci. 2013, 130, 969–980. [Google Scholar] [CrossRef]
- Lu, N.; Swan, R.H.; Ferguson, I. Composition, Structure, and Mechanical Properties of Hemp Fiber Reinforced Composite with Recycled High-Density Polyethylene Matrix. J. Compos. Mater. 2012, 46, 1915–1924. [Google Scholar] [CrossRef]
- Repsol-YPF S.A. ISPLEN® PP 090 G2M. Available online: https://www.materialdatacenter.com/ms/en/Isplen/Repsol+YPF/ISPLEN®+PP+090+G2M/b4ce8ced/2091 (accessed on 14 April 2020).
- Rio Polímeros S.A. RIOPOL® BI-56250. Available online: https://resimport.com.br/painel/arquivos/d46ec4fd3b.pdf (accessed on 18 April 2020).
- Dow Chemical. FUSABONDTM M603. Available online: https://www.dow.com/en-us/pdp.fusabond-m603-functional-polymer.1891738z.html (accessed on 18 April 2020).
- Fisher Scientific. ACROS OrganicsTM, Stearic acid, 97%. Available online: https://www.fishersci.com/shop/products/stearic-acid-97-acros-organics-3/AC174490010 (accessed on 28 April 2020).
- FRD. Natural Fibres and Reinforcements Material Solutions. Available online: https://www.f-r-d.fr/téléchargement/catalogue/ (accessed on 4 April 2020).
- Beckermann, G.W.; Pickering, K.L. Engineering and Evaluation of Hemp Fibre Reinforced Polypropylene Composites: Fibre Treatment and Matrix Modification. Compos. Part A Appl. Sci. Manuf. 2008, 39, 979–988. [Google Scholar] [CrossRef]
- Hargitai, H.; Rácz, I.; Anandjiwala, R.D. Development of Hemp Fiber Reinforced Polypropylene Composites. J. Thermoplast. Compos. Mater. 2008, 21, 165–174. [Google Scholar] [CrossRef]
- Torres, F.G.; Cubillas, M.L. Study of the Interfacial Properties of Natural Fibre Reinforced Polyethylene. Polym. Test. 2005, 24, 694–698. [Google Scholar] [CrossRef]
- Alves, C.; Silva, A.; Reis, L.; Ferro, P.; Freitas, M. Sustainable Design of Automotive Components Through Jute Fiber Composites: An Integrated Approach. New Trends Dev. Automot. Ind. 2011. [Google Scholar] [CrossRef]
- Le Moigne, N.; Otazaghine, B.; Corn, S.; Angellier-Coussy, H.; Bergeret, A. Modification of the Interface/Interphase in Natural Fibre Reinforced Composites: Treatments and Processes. In Surfaces and Interfaces in Natural Fibre Reinforced Composites Fundamentals, Modifications and Characterization; Springer: Berlin/Heidelberg, Germany, 2018; Chapter 3. [Google Scholar] [CrossRef]
- Azwa, Z.N.; Yousif, B.F.; Manalo, A.C.; Karunasena, W. A Review on the Degradability of Polymeric Composites Based on Natural Fibres. Mater. Des. 2013, 47, 424–442. [Google Scholar] [CrossRef]
- European Committee for Standardization (CEN). EN ISO 3167:2002 Plastics—Multipurpose Test Specimens. Available online: https://www.iso.org/standard/8351.html (accessed on 1 March 2021).
- European Committee for Standardization (CEN). EN ISO 178:2003 Plastics—Determination of Flexural Properties. Available online: https://standards.iteh.ai/catalog/standards/cen/cd9a85e8-9f41-466a-962b-a46b200646c3/en-iso-178-2003 (accessed on 1 March 2021).
- European Committee for Standardization (CEN). EN 179-1:2010 Plastics—Determination of Charpy Impact Properties. Available online: https://www.iso.org/standard/44852.html (accessed on 1 March 2021).
- European Committee for Standardization (CEN). EN ISO 62:2008 Plastics—Determination of Water Absorption. Available online: https://standards.iteh.ai/catalog/standards/cen/0124d789-9744-4b81-a450-24ed3e478bda/en-iso-62-2008 (accessed on 1 March 2021).
- European Committee for Standardization (CEN). EN ISO 291:2008 Plastics—Stanrdad Atmospheres for Conditioning and Testing. Available online: https://www.iso.org/standard/50572.html (accessed on 1 March 2021).
- Wielage, B.; Lampke, T.; Marx, G.; Nestler, K.; Starke, D. Thermogravimetric and Differential Scanning Calorimetric Analysis of Natural Fibres and Polypropylene. Thermochim. Acta 1999, 337, 169–177. [Google Scholar] [CrossRef]
- Shahzad, A. A Study in Physical and Mechanical Properties of Hemp Fibres. Adv. Mater. Sci. Eng. 2013, 2013, 1–9. [Google Scholar] [CrossRef]
- Xiao, B.; Huang, Q.; Chen, H.; Chen, X.; Long, G. A Fractal Model for Capillary Flow Through a Single Tortuous Capillary with Roughened Surfaces in Fibrous Porous Media. Fractals 2021, 29, 2150017. [Google Scholar] [CrossRef]
- Espert, A.; Vilaplana, F.; Karlsson, S. Comparison of Water Absorption in Natural Cellulosic Fibres from Wood and One-Year Crops in Polypropylene Composites and Its Influence on Their Mechanical Properties. Compos. Part A Appl. Sci. Manuf. 2004, 35, 1267–1276. [Google Scholar] [CrossRef]
- Wang, W.; Sain, M.; Cooper, P.A. Study of Moisture Absorption in Natural Fiber Plastic Composites. Compos. Sci. Technol. 2006, 66, 379–386. [Google Scholar] [CrossRef]
- Joseph, P.V.; Rabello, M.S.; Mattoso, L.H.C.; Joseph, K.; Thomas, S. Environmental Effects on the Degradation Behaviour of Sisal Fibre Reinforced Polypropylene Composites. Compos. Sci. Technol. 2002, 62, 1357–1372. [Google Scholar] [CrossRef]
- Venkateshwaran, N.; ElayaPerumal, A.; Alavudeen, A.; Thiruchitrambalam, M. Mechanical and Water Absorption Behaviour of Banana/Sisal Reinforced Hybrid Composites. Mater. Des. 2011, 32, 4017–4021. [Google Scholar] [CrossRef]
- Kamaruddin, H.D.; Koros, W.J. Some Observations About the Application of Fick’s First Law for Membrane Separation of Multicomponent Mixtures. J. Memb. Sci. 1997, 135, 147–159. [Google Scholar] [CrossRef]
- Crank, J. A Theoretical Investigation of the Influence of Molecular Relaxation and Internal Stress on Diffusion in Polymers. J. Polym. Sci. 1953, 11, 151–168. [Google Scholar] [CrossRef]
- Dányádi, L.; Móczó, J.; Pukánszky, B. Effect of Various Surface Modifications of Wood Flour on the Properties of PP/Wood Composites. Compos. Part A Appl. Sci. Manuf. 2010, 41, 199–206. [Google Scholar] [CrossRef]
- Stark, N.M. Wood Wiber Derived from Scrap Pallets Used in Polypropylene Composites. For. Prod. J. 1999, 49, 39–46. [Google Scholar]
- Dalväg, H.; Klason, C.; Strömvall, H.E. The Efficiency of Cellulosic Fillers in Common Thermoplastics. Part II. Filling with Processing Aids and Coupling Agents. Int. J. Polym. Mater. Polym. Biomater. 1985, 11, 9–38. [Google Scholar] [CrossRef]
- Pastorelli, G.; Cucci, C.; Garcia, O.; Piantanida, G.; Elnaggar, A.; Cassar, M.; Strlič, M. Environmentally Induced Colour Change During Natural Degradation of Selected Polymers. Polym. Degrad. Stab. 2014, 107, 198–209. [Google Scholar] [CrossRef]
- Alao, P.; Visnapuu, K.; Kallakas, H.; Poltimäe, T.; Kers, J. Natural Weathering of Bio-Based Facade Materials. Forests 2020, 11, 642. [Google Scholar] [CrossRef]
- Yan, L.; Chouw, N. Effect of Water, Seawater and Alkaline Solution Ageing on Mechanical Properties of Flax Fabric/Epoxy Composites Used for Civil Engineering Applications. Constr. Build. Mater. 2015, 99, 118–127. [Google Scholar] [CrossRef]
- Dhakal, H.N.; Zhang, Z.Y.; Richardson, M.O.W. Effect of Water Absorption on the Mechanical Properties of Hemp Fibre Reinforced Unsaturated Polyester Composites. Compos. Sci. Technol. 2007, 67, 1674–1683. [Google Scholar] [CrossRef]













| Materials | Composite Manufacturing | Research Achievements | Ref. |
|---|---|---|---|
|
|
| [12] |
|
|
| [2] |
|
|
| [16] |
|
|
| [24] |
| Materials | Composite Manufacturing | Research Achievements | Ref. |
|---|---|---|---|
|
|
| [17] |
|
|
| [25] |
|
|
| [26] |
| Materials | Density (g/cm3) | Melt Flow Index | Flexural Modulus (MPa) | Melting Point (°C) | Processing Conditions (°C) |
|---|---|---|---|---|---|
| PP | 0.905 | 35 g/10 min | 1650 | - | 190 to 250 |
| (ISO 1183) | (230 °C, 2.16 kg) (ISO 1133) | (ISO 178) | |||
| HDPE | 0.956 | 25 g/10 min | 1032 | - | 170 to 200 |
| (ASTM D792) | (190 °C, 2.16 kg) (ASTM D1238) | (ASTM D790) | |||
| CA | 0.94 | 25 g/10 min | - | 108 | 260 |
| (ISO 1183) | (190 °C, 2.16 kg) (ISO 1133) | (DSC) (ISO 3146) | (Maximum processing temperature) | ||
| SA | 0.84 | - | - | 67 to 69 | - |
| HF | 1.4–1.5 | - | - | - | <200 |
| 1.514 * |
| Composites Based on PP Matrix | Composites Based on HDPE Matrix | ||||
|---|---|---|---|---|---|
| Designation | Composition | Ratio (wt%) | Designation | Composition | Ratio (wt%) |
| PP1 | PP | 100 | HDPE1 | HDPE | 100 |
| PP2 | PP|HF | 80|20 | HDPE2 | HDPE|HF | 80|20 |
| PP3 | PP|HF | 60|40 | HDPE3 | HDPE|HF | 60|40 |
| PP4 | PP|CA|HF | 77|3|20 | HDPE4 | HDPE|CA|HF | 77|3|20 |
| PP5 | PP|CA|HF | 57|3|40 | HDPE5 | HDPE|CA|HF | 57|3|40 |
| PP6 | PP|CA|SA|HF | 74|3|3|20 | HDPE6 | HDPE|CA|SA|HF | 74|3|3|20 |
| PP7 | PP|CA|SA|HF | 54|3|3|40 | HDPE7 | HDPE|CA|SA|HF | 54|3|3|40 |
| Parameters | First Injection (s) | Second Injection (s) | Mould Cooling (s) | Cycle Time (s) | Injection Pressure (MPa) | Nozzle Temperature (°C) | Mould Surface Temperature (°C) |
|---|---|---|---|---|---|---|---|
| PP | 4 | 10 | 85 | 99 | 7.5 | 190 | 25 |
| HDPE | 5 | 15 | 85 | 115 | 7.5 | 190 | 25 |
| 1st Peak (°C) | 2nd Peak (°C) | 3rd Peak (°C) | 4th Peak (°C) | Total Weight Loss (%) at 500 °C |
|---|---|---|---|---|
| 108 | 280 | 313 | 403 | 80 |
| Composites Based on a PP Matrix | Composites Based on a HDPE Matrix | ||||
|---|---|---|---|---|---|
| Designation | Torque (Nm) | Time (min) | Designation | Torque (Nm) | Time (min) |
| PP1 | 0.84 | 15 | HDPE1 | 1.68 | 15 |
| PP2 | 1.12 | HDPE2 | 2.51 | ||
| PP3 | 2.93 | HDPE3 | 4.57 | ||
| PP4 | 1.52 | HDPE4 | 2.97 | ||
| PP5 | 3.26 | HDPE5 | 4.89 | ||
| PP6 | 0.62 | HDPE6 | 2.09 | ||
| PP7 | 2.06 | HDPE7 | 4.34 | ||
| PP and Composites Based on PP Matrix | HDPE and Composites Based on HDPE Matrix | ||
|---|---|---|---|
| Designation | Equilibrium Water Content (%), | Designation | Equilibrium Water Content (%), |
| PP1 | 0.4642 | HDPE1 | 0.9726 |
| PP2 | 3.5784 | HDPE2 | 2.4120 |
| PP3 | 8.1112 | HDPE3 | 5.5389 |
| PP4 | 2.6507 | HDPE4 | 1.8639 |
| PP5 | 5.3797 | HDPE5 | 4.2454 |
| PP6 | 2.4230 | HDPE6 | 1.6580 |
| PP7 | 4.4281 | HDPE7 | 3.3467 |
| PP and Composites Based on a PP Matrix | HDPE and Composites Based on a HDPE Matrix | ||||
|---|---|---|---|---|---|
| Designation | Designation | ||||
| PP1 | 0.4965 | 0.0317 | HDPE1 | 0.5160 | 0.0492 |
| PP2 | 0.5344 | 0.1395 | HDPE2 | 0.5433 | 0.1398 |
| PP3 | 0.5486 | 0.2115 | HDPE3 | 0.5615 | 0.2424 |
| PP4 | 0.5246 | 0.1213 | HDPE4 | 0.5346 | 0.1085 |
| PP5 | 0.5332 | 0.1559 | HDPE5 | 0.5460 | 0.1875 |
| PP6 | 0.5223 | 0.1165 | HDPE6 | 0.5382 | 0.1015 |
| PP7 | 0.5060 | 0.1631 | HDPE7 | 0.5348 | 0.1666 |
| PP and Composites Based on a PP Matrix | HDPE and Composites Based on a HDPE Matrix | ||||||
|---|---|---|---|---|---|---|---|
| Designation | × 10−6 (mm2/s) | × 10−6 (mm2/s) | Designation | × 10−6 (mm2/s) | × 10−6 (mm2/s) | ||
| PP1 | 0.6234 | 1.0048 | 6.2648 | HDPE1 | 0.8238 | 1.0099 | 8.3286 |
| PP2 | 1.8085 | 1.0366 | 1.8737 | HDPE2 | 1.6348 | 1.0244 | 1.6748 |
| PP3 | 2.7505 | 1.0816 | 2.9751 | HDPE3 | 2.5402 | 1.0554 | 2.6809 |
| PP4 | 1.7261 | 1.0269 | 1.7731 | HDPE4 | 1.5051 | 1.0187 | 1.5332 |
| PP5 | 2.4424 | 1.0544 | 2.5754 | HDPE5 | 2.3542 | 1.0429 | 2.4551 |
| PP6 | 1.6622 | 1.0238 | 1.7019 | HDPE6 | 1.4464 | 1.0168 | 1.4704 |
| PP7 | 2.2983 | 1.0455 | 2.4029 | HDPE7 | 2.2184 | 1.0341 | 2.2943 |
| PP and Composites Based on a PP Matrix | ||||||
|---|---|---|---|---|---|---|
| Designation | ||||||
| Before Aging | Wet Specimens | Re-Dried Specimens | Before Aging | Wet Specimens | Re-Dried Specimens | |
| PP1 | 1.3288 [0.6] | 1.2325 [0.8] | 1.3238 [0.4] | 35.4438 [0.8] | 34.8090 [0.6] | 35.5375 [0.2] |
| PP2 | 1.9840 [0.4] | 1.7551 [1.1] | 1.8814 [0.7] | 43.6163 [0.2] | 41.2388 [0.8] | 43.1575 [0.7] |
| PP3 | 3.4822 [0.7] | 2.0806 [0.6] | 3.0811 [0.9] | 51.6638 [1.4] | 40.1300 [1.1] | 47.7725 [0.6] |
| PP4 | 2.1565 [0.4] | 1.9012 [0.9] | 2.0085 [1.1] | 50.9625 [0.9] | 48.8775 [1.4] | 49.5225 [1.5] |
| PP5 | 4.0314 [1.2] | 2.2927 [0.5] | 3.2935 [0.5] | 59.3050 [0.7] | 52.0963 [0.6] | 55.3413 [0.9] |
| PP6 | 1.5832 [0.9] | 1.4269 [0.8] | 1.4787 [0.6] | 39.4625 [0.9] | 37.2225 [0.5] | 38.3775 [0.3] |
| PP7 | 2.8197 [1.1] | 2.1511 [0.6] | 2.5468 [0.5] | 42.6825 [1.4] | 36.6625 [1.5] | 39.1275 [0.8] |
| HDPE and Composites Based on a HDPE Matrix | ||||||
|---|---|---|---|---|---|---|
| Designation | ||||||
| Before Aging | Wet Specimens | Re-Dried Specimens | Before Aging | Wet Specimens | Re-Dried Specimens | |
| HDPE1 | 0.9743 [0.1] | 0.9685 [0.1] | 0.9724 [0.3] | 20.5625 [0.3] | 20.2950 [0.5] | 20.2688 [0.1] |
| HDPE2 | 1.3910 [0.5] | 1.2278 [0.7] | 1.3743 [0.2] | 26.1850 [0.6] | 24.5663 [0.8] | 25.1513 [0.4] |
| HDPE3 | 1.9535 [0.8] | 1.3253 [0.7] | 1.7443 [0.7] | 29.3213 [0.8] | 24.8288 [0.7] | 27.2625 [0.4] |
| HDPE4 | 1.4386 [0.2] | 1.3319 [0.3] | 1.4187 [0.4] | 28.8975 [0.8] | 27.4863 [0.2] | 28.0050 [0.8] |
| HDPE5 | 2.3659 [0.6] | 2.0851 [0.5] | 2.3012 [0.3] | 40.2563 [0.7] | 36.6750 [0.6] | 39.6500 [0.4] |
| HDPE6 | 1.4291 [0.3] | 1.3077 [0.4] | 1.3350 [0.1] | 29.1825 [0.4] | 27.8330 [0.7] | 28.9350 [0.9] |
| HDPE7 | 2.4597 [0.4] | 2.1824 [0.6] | 2.3838 [0.5] | 41.6350 [0.5] | 38.5889 [0.5] | 40.1325 [0.5] |
| PP and Composites Based on a PP Matrix | HDPE and Composites Based on a HDPE Matrix | ||||||
|---|---|---|---|---|---|---|---|
| Designation | Lost weight (%) | Designation | Lost weight (%) | ||||
| PP2 | 7.4768 | 7.4690 | 0.1043 | HDPE2 | 7.6783 | 7.6845 | 0.0803 |
| PP3 | 8.2704 | 8.2035 | 0.8093 | HDPE3 | 8.3468 | 8.3317 | 0.1809 |
| PP4 | 7.5427 | 7.5389 | 0.0504 | HDPE4 | 7.6595 | 7.6629 | 0.0448 |
| PP5 | 8.4234 | 8.4139 | 0.1124 | HDPE5 | 8.2850 | 8.2779 | 0.0861 |
| PP6 | 7.3497 | 7.3387 | 0.1492 | HDPE6 | 7.5671 | 7.5636 | 0.0467 |
| PP7 | 8.1721 | 8.1557 | 0.2007 | HDPE7 | 8.2640 | 8.2715 | 0.0912 |
Publisher’s Note: MDPI stays neutral with regard to jurisdictional claims in published maps and institutional affiliations. |
© 2021 by the authors. Licensee MDPI, Basel, Switzerland. This article is an open access article distributed under the terms and conditions of the Creative Commons Attribution (CC BY) license (https://creativecommons.org/licenses/by/4.0/).
Share and Cite
Manaia, J.P.; Manaia, A. Interface Modification, Water Absorption Behaviour and Mechanical Properties of Injection Moulded Short Hemp Fiber-Reinforced Thermoplastic Composites. Polymers 2021, 13, 1638. https://doi.org/10.3390/polym13101638
Manaia JP, Manaia A. Interface Modification, Water Absorption Behaviour and Mechanical Properties of Injection Moulded Short Hemp Fiber-Reinforced Thermoplastic Composites. Polymers. 2021; 13(10):1638. https://doi.org/10.3390/polym13101638
Chicago/Turabian StyleManaia, João P., and Ana Manaia. 2021. "Interface Modification, Water Absorption Behaviour and Mechanical Properties of Injection Moulded Short Hemp Fiber-Reinforced Thermoplastic Composites" Polymers 13, no. 10: 1638. https://doi.org/10.3390/polym13101638
APA StyleManaia, J. P., & Manaia, A. (2021). Interface Modification, Water Absorption Behaviour and Mechanical Properties of Injection Moulded Short Hemp Fiber-Reinforced Thermoplastic Composites. Polymers, 13(10), 1638. https://doi.org/10.3390/polym13101638
