Preparation and Drug Release Properties of a Thermo Sensitive GA Hydrogel
Abstract
1. Introduction
2. Material and Methods
2.1. Material
2.2. Preparation of the GA–P(NIPAM-co-DMAPMA) Hydrogel
2.3. Methods
2.3.1. Morphology Characterization
2.3.2. FTIR
2.3.3. Differential Scanning Calorimetry (DSC) Characterization
2.3.4. Characterization of UV Spectrum
2.3.5. Characterization of Mechanical Properties
2.3.6. Swelling Test of the Hydrogels
2.3.7. Loading and Release of Bovine Serum Protein
3. Results and Discussion
3.1. Synthesis and Characterization of the GA–P(NIPAM-co-DMAPMA) Hydrogel
3.2. Mechanical Strength of the Hydrogel
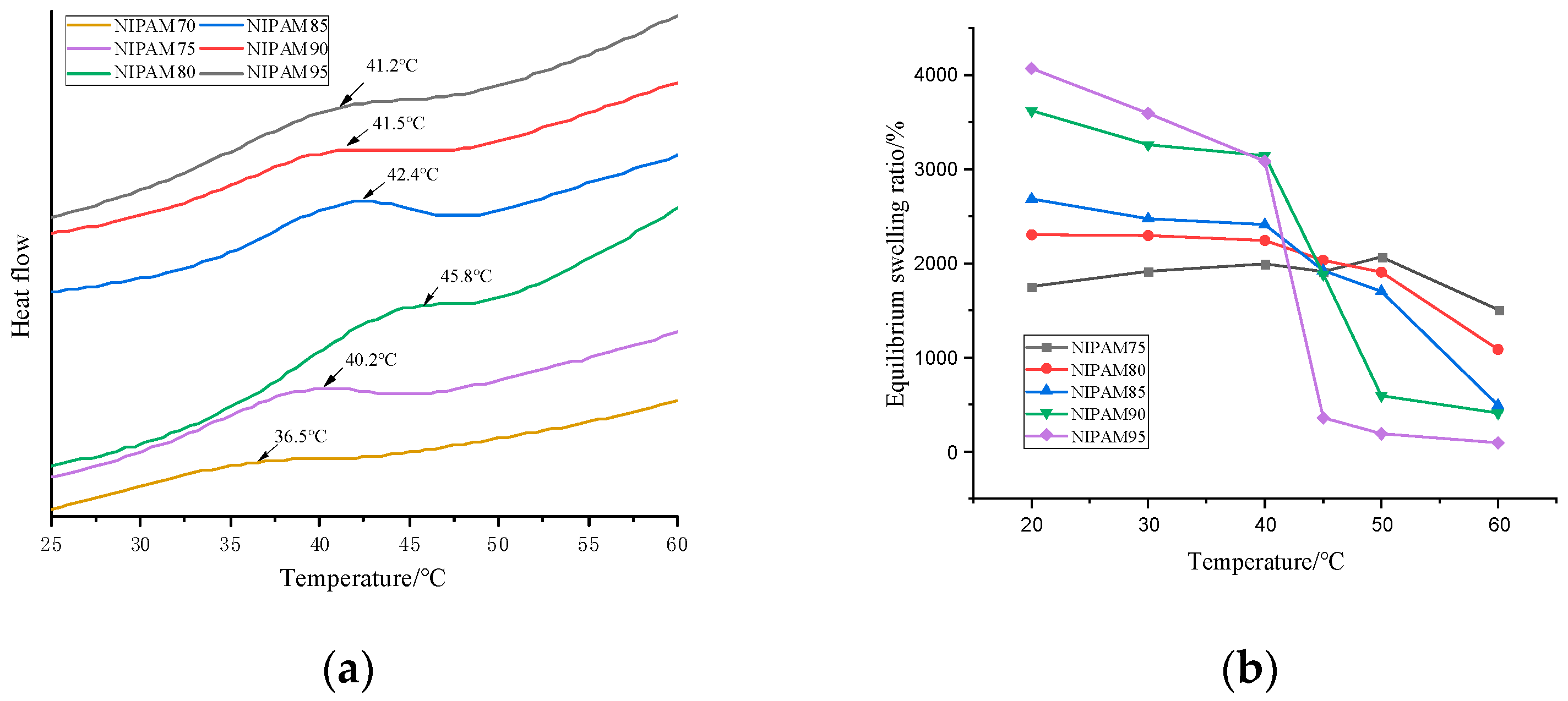
3.3. Temperature Responsiveness of the Hydrogel
3.4. Water Absorption Properties of theHydrogel
3.5. Drug-Controlled Release Behavior of theHydrogels
4. Conclusions
Supplementary Materials
Author Contributions
Funding
Institutional Review Board Statement
Informed Consent Statement
Data Availability Statement
Conflicts of Interest
References
- Liu, C.; Lei, F.; Li, P.; Jiang, J.; Wang, K. Borax crosslinked fenugreek galactomannan hydrogel as potential water-retaining agent in agriculture. Carbohydr. Polym. 2020, 236, 116100. [Google Scholar] [CrossRef] [PubMed]
- Gao, Y.; Zong, S.; Huang, Y.; Yang, N.; Wen, H.; Jiang, J.; Duan, J. Preparation and properties of a highly elastic galactomannan- poly (acrylamide-N, N-bis (acryloyl) cysteamine) hydrogel with reductive stimuli-responsive degradable properties. Carbohydr. Polym. 2020, 231, 115690. [Google Scholar] [CrossRef] [PubMed]
- Jalababu, R.; Rao, K.S.V.K. Dual responsive GG-g-PNPA/PIPAM based novel hydrogels for the controlled release of anti-cancer agent and their swelling and release kinetics. J. Polym. Res. 2020, 27, 83. [Google Scholar] [CrossRef]
- Kajjari, P.B.; Manjeshwar, L.S.; Aminabhavi, T.M. Novel pH- and Temperature-Responsive Blend Hydrogel Microspheres of Sodium Alginate and PNIPAAm-g-GG for Controlled Release of Isoniazid. Aaps Pharmscitech 2012, 13, 1147–1157. [Google Scholar] [CrossRef] [PubMed]
- Palem, R.R.; Shimoga, G. Guar gum graft polymer-based silver nanocomposite hydrogels: Synthesis, characterization and its biomedical applications. J. Polym. Res. 2020, 27, 68. [Google Scholar] [CrossRef]
- Dai, L.; Wang, Y.; Li, Z.; Wang, X.; Duan, C.; Zhao, W.; Xiong, C.; Nie, S.; Xu, Y.; Ni, Y. A multifunctional self-crosslinked chitosan/cationic guar gum composite hydrogel and its versatile uses in phosphate-containing water treatment and energy storage. Carbohydr. Polym. 2020, 244, 116472. [Google Scholar] [CrossRef]
- Bajpai, A.; Raj, V. Hydrophobically modified guar gum films for wound dressing. Polym. Bull. 2020. [Google Scholar] [CrossRef]
- Khan, M.U.A.; Raza, M.A.; Razak, S.I.A.; Kadir, M.R.A.; Haider, A.; Shah, S.A.; Yusof, A.H.M.; Haider, S.; Shakir, I.; Aftab, S. Novel functional antimicrobial and biocompatible arabinoxylan/guar gum hydrogel for skin wound dressing applications. J. Tissue Eng. Regen. Med. 2020, 14, 1488–1501. [Google Scholar] [CrossRef]
- Iqbal, D.N.; Shafiq, S.; Khan, S.M.; Ibrahim, S.M.; Abubshait, S.A.; Nazir, A.; Abbas, M.; Iqbal, M. Novel chitosan/guar gum/PVA hydrogel: Preparation, characterization and antimicrobial activity evaluation. Int. J. Biol. Macromol. 2020, 164, 499–509. [Google Scholar] [CrossRef]
- Sun, Z.; Wang, L.; Jiang, X.; Bai, L.; Wang, W.; Chen, H.; Yang, L.; Yang, H.; Wei, D. Self-healing, sensitive and antifreezing biomass nanocomposite hydrogels based on hydroxypropyl guar gum and application in flexible sensors. Int. J. Biol. Macromol. 2020, 155, 1569–1577. [Google Scholar] [CrossRef]
- Karadağ, E.; Ercan, D.; Üzüm, Ö.B.; Kundakcı, S. Swelling equilibria of novel propenamide/2-acrylamido-2-methyl-1-propanesulfonic acid /guar gum/clinoptilolite biohybrid hydrogels and application as a sorbent for BV1 removal. Polym. Bull. 2020. [Google Scholar] [CrossRef]
- Suner, S.S.; Sahiner, N. Biocompatible macro, micro and nano scale guar gum hydrogels and their protein absorption capacity. J. Macromol. Sci. Part A Pure Appl. Chem. 2020, 57, 810–818. [Google Scholar] [CrossRef]
- Qian, H.; Wang, J. Synthesis of lignin-poly(N-methylaniline)-reduced graphene oxide hydrogel for organic dye and lead ions removal. J. Bioresour. Bioprod. 2020, 5, 213–219. [Google Scholar] [CrossRef]
- Yang, P.; Zhang, S.; Chen, X.; Liu, X.; Wang, Z.; Li, Y. Recent developments in polydopamine fluorescent nanomaterials. Mater. Horiz. 2020, 7, 746–761. [Google Scholar] [CrossRef]
- Hu, J.; Yang, L.; Yang, P.; Jiang, S.; Liu, X.; Li, Y. Polydopamine free radical scavengers. Biomater. Sci. 2020, 8, 4940–4950. [Google Scholar] [CrossRef]
- Le, X.; Lu, W.; Xiao, H.; Wang, L.; Ma, C.; Zhang, J.; Huangae, Y.; Chen, T. Fe3+-, pH-, Thermoresponsive Supramolecular Hydrogel with Multishape Memory Effect. Acs Appl. Mater. Interfaces 2017, 9, 9038–9044. [Google Scholar] [CrossRef]
- Maiti, B.; Abramov, A.; Franco, L.; Puiggalí, J.; Enshaei, H.; Alemán, C.; Díaz, D.D. Thermoresponsive Shape-Memory Hydrogel Actuators Made by Phototriggered Click Chemistry. Adv. Funct. Mater. 2020, 30, 2001683. [Google Scholar] [CrossRef]
- Yan, K.; Xu, F.; Wang, C.; Li, Y.; Chen, Y.; Li, X.; Lu, Z.; Wang, D. A multifunctional metal-biopolymer coordinated double network hydrogel combined with multi-stimulus responsiveness, self-healing, shape memory and antibacterial properties. Biomater. Sci. 2020, 8, 3193–3201. [Google Scholar] [CrossRef]
- Yan, K.; Xu, F.; Li, S.; Li, Y.; Chen, Y.; Wang, D. Ice-templating of chitosan/agarose porous composite hydrogel with adjustable water-sensitive shape memory property and multi-staged degradation performance. Colloids Surf. B Biointerfaces 2020, 190, 110907. [Google Scholar] [CrossRef]
- Pugliese, R.; Gelain, F. Characterization of elastic, thermo-responsive, self-healable supramolecular hydrogel made of self-assembly peptides and guar gum. Mater. Des. 2020, 186, 108370. [Google Scholar] [CrossRef]
- Wang, B.; Dai, L. A highly efficient thermo responsive palladium nanoparticles incorporated guar gum hydrogel for effective catalytic reactions. Carbohydr. Polym. 2019, 226, 115289. [Google Scholar] [CrossRef] [PubMed]
- Gao, G.; Wang, Z.; Xu, D.; Wang, L.; Xu, T.; Zhang, H.; Chen, J.; Fu, J. Snap-Buckling Motivated Controllable Jumping of Thermo-Responsive Hydrogel Bilayers. ACS Appl. Mater. Interfaces 2018, 10, 41724–41731. [Google Scholar] [CrossRef] [PubMed]
- Gomes, R.F.; Lima, L.R.; Feitosa, J.P.; Paula, H.C.; De Paula, R.C. Influence of galactomannan molar mass on particle size galactomannan-grafted-poly-N-isopropylacrylamide copolymers. Int. J. Biol. Macromol. 2020, 156, 446–453. [Google Scholar] [CrossRef] [PubMed]
- Murali, R.; Vidhya, P.; Thanikaivelan, P. Thermoresponsive magnetic nanoparticle-Aminated guar gum hydrogel system for sustained release of doxorubicin hydrochloride. Carbohydr. Polym. 2014, 110, 440–445. [Google Scholar] [CrossRef]
- Kumar, B.; Murali, A.; Bharath, A.B.; Giri, S. Guar gum modified upconversion nanocomposites for colorectal cancer treatment through enzyme-responsive drug release and NIR-triggered photodynamic therapy. Nanotechnology 2019, 30, 315102. [Google Scholar] [CrossRef]
- Singh, B.; Singh, B. Graft copolymerization of polyvinylpyrollidone onto Azadirachta indica gum polysaccharide in the presence of crosslinker to develop hydrogels for drug delivery applications. Int. J. Biol. Macromol. 2020, 159, 264–275. [Google Scholar] [CrossRef]
- Wang, Y.; Zhou, Y.; Wang, X.; Liu, Y.; Wen, S.; Zheng, X.; Wang, P. Cytocompatibility and in vivo biodegradation of graphene-modified chitosan 3D porous scaffold. Mater. Lett. 2018, 220, 1–4. [Google Scholar] [CrossRef]
- Linse, P. Structure and Phase Separation in Solutions of Like-Charged Colloidal Particles. Philos. Trans. Math. Phys. Eng. Sci. 2001, 359, 853–866. [Google Scholar] [CrossRef]
- Mochizuki, K.; Ben-Amotz, D. Hydration-Shell Transformation of Thermosensitive Aqueous Polymers. J. Phys. Chem. Lett. 2017, 8, 1360–1364. [Google Scholar] [CrossRef]
- Tamai, Y.; Tanaka, H.; Nakanishi, K. Molecular Dynamics Study of Polymer−Water Interaction in Hydrogels. 1. Hydrogen-Bond Structure. Macromolecules 1996, 29, 6750–6760. [Google Scholar] [CrossRef]
- Mahmoud, R. Investigation of Partially Methylolated Polyacrylamide Guar Gum by FTIR and Thermal Properties. Br. J. Appl. Sci. Technol. 2016, 17, 1–11. [Google Scholar] [CrossRef]
- Gai, H.; Wu, J.; Wu, C.; Sun, X.; Jia, F.; Yu, Y. Synthesis and characterization of thermosensitive hydrogel with improved mechanical properties. J. Mater. Res. 2015, 30, 2400–2407. [Google Scholar] [CrossRef]
- Afroze, F.; Nies, E.E.; Berghmans, H. Phase transitions in the system poly(N-isopropylacrylamide)/water and swelling behaviour of the corresponding networks. J. Mol. Struct. 2000, 554, 55–68. [Google Scholar] [CrossRef]
- Haraguchi, K.; Takehisa, T.; Fan, S. Effects of Clay Content on the Properties of Nanocomposite Hydrogels Composed of Poly(N-isopropylacrylamide) and Clay. Macromolecules 2002, 35, 10162–10171. [Google Scholar] [CrossRef]
- Schott, H. Kinetics of swelling of polymers and their gels. J. Pharm. Sci. 1992, 81, 467–470. [Google Scholar] [CrossRef]






| Sample | GA(g) | NIPAM (g) | DMAPMA (g) | Montmorillonite (g) | H2O (mL) |
|---|---|---|---|---|---|
| NIPAM 70 | 0.05 | 0.791 | 0.51 | 0.2 | 10 |
| NIPAM 75 | 0.05 | 0.848 | 0.425 | 0.2 | 10 |
| NIPAM 80 | 0.05 | 0.906 | 0.34 | 0.2 | 10 |
| NIPAM 85 | 0.05 | 0.96 | 0.255 | 0.2 | 10 |
| NIPAM 90 | 0.05 | 1.017 | 0.17 | 0.2 | 10 |
| NIPAM 95 | 0.05 | 1.075 | 0.086 | 0.2 | 10 |
| NIPAM 100 | 0.05 | 1.2 | 0 | 0.2 | 10 |
Publisher’s Note: MDPI stays neutral with regard to jurisdictional claims in published maps and institutional affiliations. |
© 2020 by the authors. Licensee MDPI, Basel, Switzerland. This article is an open access article distributed under the terms and conditions of the Creative Commons Attribution (CC BY) license (http://creativecommons.org/licenses/by/4.0/).
Share and Cite
Duan, J.; Huang, Y.; Zong, S.; Jiang, J. Preparation and Drug Release Properties of a Thermo Sensitive GA Hydrogel. Polymers 2021, 13, 119. https://doi.org/10.3390/polym13010119
Duan J, Huang Y, Zong S, Jiang J. Preparation and Drug Release Properties of a Thermo Sensitive GA Hydrogel. Polymers. 2021; 13(1):119. https://doi.org/10.3390/polym13010119
Chicago/Turabian StyleDuan, Jiufang, Yirong Huang, Shiyu Zong, and Jianxin Jiang. 2021. "Preparation and Drug Release Properties of a Thermo Sensitive GA Hydrogel" Polymers 13, no. 1: 119. https://doi.org/10.3390/polym13010119
APA StyleDuan, J., Huang, Y., Zong, S., & Jiang, J. (2021). Preparation and Drug Release Properties of a Thermo Sensitive GA Hydrogel. Polymers, 13(1), 119. https://doi.org/10.3390/polym13010119
