Preparation of PP-g-(AA-MAH) Fibers Using Suspension Grafting and Melt-Blown Spinning and its Adsorption for Aniline
Abstract
1. Introduction
2. Experimental
2.1. Experimental Materials
2.2. Preparation of PP-g-(AA-MAH) Fibers
2.3. Calculation of Grafting Ratio
2.4. Characterization Methods
2.5. Hydrophilicity of PP-g-(AA-MAH) Fiber
2.6. Adsorption and Desorption of Aniline by PP-g-(AA -MAH) Fiber
3. Results and Discussion
3.1. The Mechanism of Suspension Grafting Polymerization of Two Monomers
3.2. Effect of Quenching Treatment
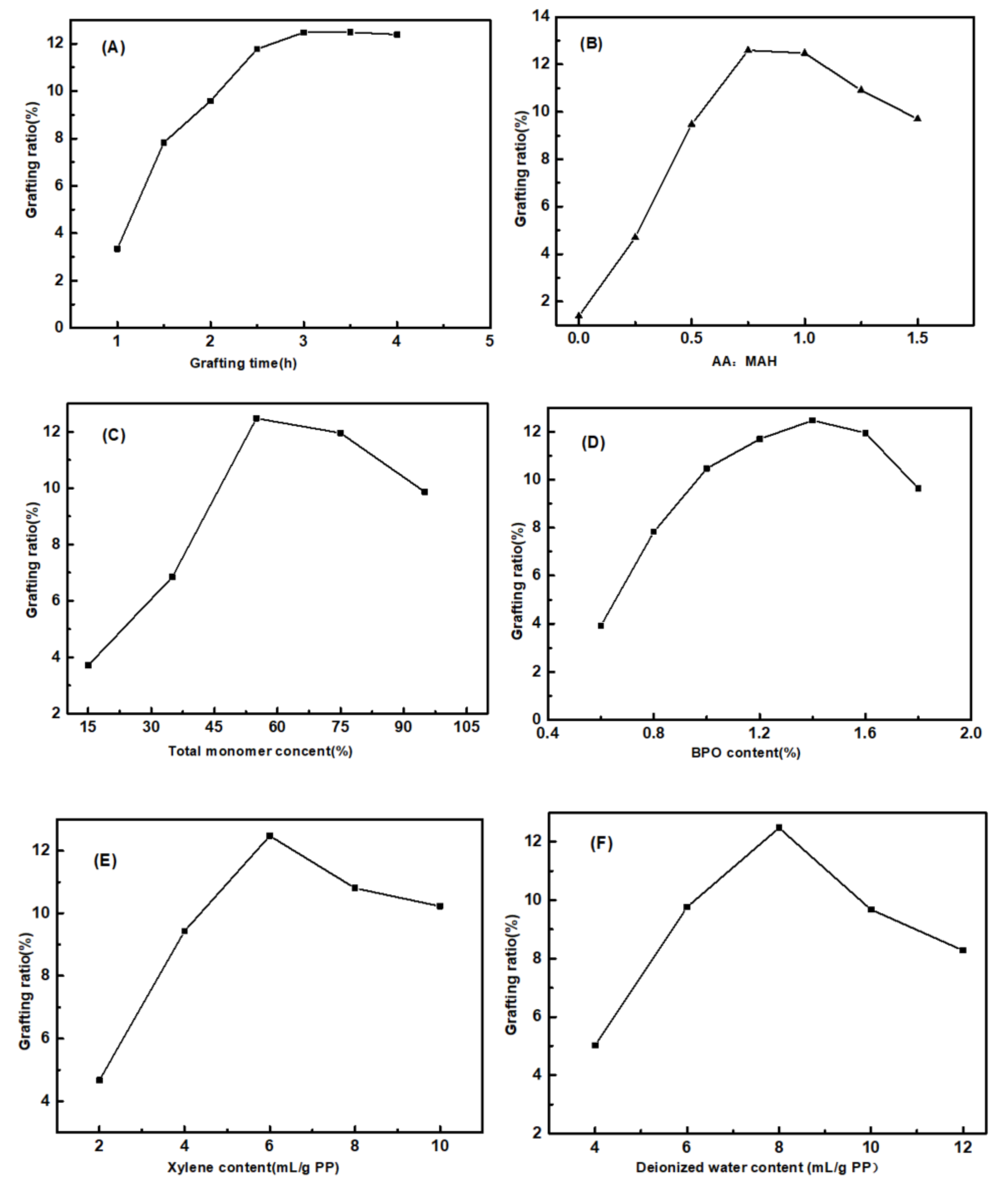
3.3. Effects of Different Parameters on Grafting Ratio in Suspension Grafting Polymerization
3.4. Effect of Suspension Grafting on the Performance of Melt-Blown Spinning Product
3.5. Characterization of Fibers
3.5.1. Fourier Transform Infrared Analysis (FT-IR)
3.5.2. 1H-NMR Analysis
3.5.3. Analysis on Hydrophilicity
3.6. Investigation of Aniline-Adsorption Performance of PP-g-(AA-MAH) Fiber before and after Regeneration
3.6.1. Effect of pH on the Adsorption Capacity
3.6.2. Adsorption Kinetics
3.6.3. Adsorption Isotherm
3.6.4. Comparison of Adsorption Capacity with other Adsorbents
3.6.5. Desorption and Regeneration
4. Conclusions
Author Contributions
Funding
Acknowledgments
Conflicts of Interest
References
- Pagalan, E.; Sebron, M. Activated carbon from spent coffee grounds as an adsorbent for treatment of water contaminated by aniline yellow dye. Ind. Crops Prod. 2020, 145, 111953. [Google Scholar] [CrossRef]
- Reddy, M.C.S.; Nirmala, V. Bengal Gram Seed Husk as an adsorbent for the removal of dye from aqueous solutions—Batch studies. Arab. J. Chem. 2017, 10, S2554–S2566. [Google Scholar] [CrossRef]
- Ferreiro, C.; Villota, N. An efficient catalytic process for the treatment of genotoxic aniline wastewater using a new granular activated carbon-supported titanium dioxide composite. J. Clean. Prod. 2019, 228, 1282–1295. [Google Scholar] [CrossRef]
- Koyuncu, H.; Kul, A.R. Removal of aniline from aqueous solution by activated kaolinite: Kinetic, equilibrium and thermodynamic studies. Colloids Surf. A Physicochem. Eng. Asp. 2019, 569, 59–66. [Google Scholar] [CrossRef]
- Dewage, N.B.; Liyanage, A.S. Fast aniline and nitrobenzene remediation from water on magnetized and nonmagnetized Douglas fir biochar. Chemosphere 2019, 225, 943–953. [Google Scholar] [CrossRef]
- Qi, Y.G.; Toyooka, T. Comparative γ-H2AX analysis for assessment of the genotoxicity of six aromatic amines implicated in bladder cancer in human urothelial cell line. Toxicol. In Vitro 2020, 66, 104880. [Google Scholar] [CrossRef]
- Tao, N.; Liu, G.Y. Genotoxicity and growth inhibition effects of aniline on wheat. Chemosphere 2017, 169, 467–473. [Google Scholar] [CrossRef]
- Eskola, M.; Altieri, A. Overview of the activities of the European food safety authority on mycotoxins in food and feed. World Mycotoxin J. 2018, 11, 277–289. [Google Scholar] [CrossRef]
- European Commission. European Union Risk Assessment Report Aniline; Office for Official Publications of the European Communities: Luxembourg, 2004. [Google Scholar]
- US EPA Organization. Contaminant Candidate List 4-CCL 4. US EPA, 2014. Available online: https://www.epa.gov/ccl/contaminant-candidate-list-4-ccl-4-0 (accessed on 10 September 2018).
- Gang, X.; Wang, Q. Simultaneous removal of aniline, antimony and chromium by ZVI coupled with H2O2: Implication for textile wastewater treatment. J. Hazard. Mater. 2019, 368, 840–848. [Google Scholar]
- Qi, Y.F.; Guo, C. Co/Fe and Co/Al layered double oxides ozone catalyst for the deep degradation of aniline: Preparation, characterization and kinetic model. Sci. Total Environ. 2020, 715, 136982. [Google Scholar] [CrossRef]
- Li, W.; Chen, C. Efficient removal of aniline by micro-scale zinc-copper (mZn/Cu) bimetallic particles in acidic solution: An oxidation degradation mechanism via radicals. J. Hazard. Mater. 2019, 366, 482–491. [Google Scholar] [CrossRef] [PubMed]
- Dvorak, L.; Lederer, T. Removal of aniline, cyanides and diphenylguanidine from industrial wastewater using a full-scale moving bed biofilm reactor. Process Biochem. 2014, 49, 102–109. [Google Scholar] [CrossRef]
- Gomez, J.L.; Leon, G. Application of reverse osmosis to remove aniline from wastewater. Desalination 2009, 245, 687–693. [Google Scholar] [CrossRef]
- Wu, X.H.; Lei, Z.G. Liquid–liquid extraction of low-concentration aniline from aqueous solutions with salts. Ind. Eng. Chem. Res. 2010, 49, 2581–2588. [Google Scholar] [CrossRef]
- Li, C.H. Recovery of aniline from wastewater by nitrobenzene extraction enhanced with salting-out effect. Biomed. Environ. Sci. 2010, 23, 208–212. [Google Scholar] [CrossRef]
- Zhang, Q.; Zhang, W.L. Effects of dissolved oxygen concentrations on a bioaugmented sequencing batch rector treating aniline-laden wastewater: Reactor performance, microbial dynamics and functional genes. Bioresour. Technol. 2020, 313, 123598. [Google Scholar] [CrossRef]
- Gan, Y.; Chen, G. Oxygen-rich hyper-cross-linked polymers with hierarchical porosity for aniline adsorption. Chem. Eng. J. 2019, 368, 29–36. [Google Scholar] [CrossRef]
- Gao, D.W.; Hu, Q. High-capacity adsorption of aniline using surface modification of lignocellulose-biomass jute fibers. Bioresour. Technol. 2015, 193, 507–512. [Google Scholar] [CrossRef]
- Li, H.Y.; Liu, L.X. High-efficiency adsorption and regeneration of methylene blue and aniline onto activated carbon from waste edible fungus residue and its possible mechanism. RSC Adv. 2020, 10, 14262–14273. [Google Scholar] [CrossRef]
- Huang, Q.; Hu, D.W. Sequential removal of aniline and heavy metal ions by jute fiber biosorbents: A practical design of modifying adsorbent with reactive adsorbate. J. Mol. Liq. 2019, 285, 288–298. [Google Scholar] [CrossRef]
- Chang, Y.; Ren, C. Preparation and characterization of Fe3O4/graphene nanocomposite and investigation of its adsorption performance for aniline and p-chloroaniline. Appl. Surf. Sci. 2012, 261, 504–509. [Google Scholar] [CrossRef]
- Sajab, M.S.; Chia, C.H. Cationic and anionic modifications of oil palm empty fruit bunch fibers for the removal of dyes from aqueous solutions. Bioresour. Technol. 2013, 128, 571–577. [Google Scholar] [CrossRef]
- Chai, W.B.; Liu, X.Y. Preparation and characterization of polypropylene fiber-grafted polybutylmethacrylate as oil sorbent. Desalin. Water Treat. 2016, 57, 18560–18571. [Google Scholar] [CrossRef]
- Mahtabani, A.; Rytoluoto, I. On the Silica Surface Modification and Its Effect on Charge Trapping and Transport in PP-Based Dielectric Nanocomposites. ACS Appl. Polym. Mater. 2020, 2, 3148–3160. [Google Scholar] [CrossRef]
- Soylemez, M.A.; Barsbay, M. Preparation of well-defined erythromycin imprinted non-woven fabrics via radiation-induced RAFT-mediated grafting. Radiat. Phys. Chem. 2018, 142, 77–81. [Google Scholar] [CrossRef]
- Luo, Z.W.; Chen, H.N. Surface grafting of styrene on polypropylene by argon plasma and its adsorption and regeneration of BTX. J. Appl. Polym. Sci. 2018, 135, 46171. [Google Scholar] [CrossRef]
- Guo, M.L.; Zhang, C. An Efficient, Simple and Facile Strategy to Synthesize Polypropylene-g-(acrylic acid-co-acrylamide) Nonwovens by Suspension Grafting Polymerization and Melt-blown Technique. Fibers Polym. 2016, 17, 1123–1130. [Google Scholar] [CrossRef]
- Luo, Z.W.; Xu, J.H. Ion-Imprinted Polypropylene Fibers Fabricated by the Plasma-Mediated Grafting Strategy for Efficient and Selective Adsorption of Cr(VI). Polymers 2019, 11, 1508. [Google Scholar] [CrossRef]
- Chen, H.N.; Guo, M.L. Green and Efficient Synthesis of an Adsorbent Fiber by Plasma-induced Grafting of Glycidyl Methacrylate and Its Cd(II) Adsorption Performance. Fibers Polym. 2018, 19, 722–733. [Google Scholar] [CrossRef]
- Liang, F.C.; Yuan, H. Study of suspension grafting process of polypropylene. Des. Monomers. Polym. 2018, 21, 130–136. [Google Scholar] [CrossRef]
- Li, Z.; Ma, Y.H. A Facile, Green, Versatile Protocol to Prepare Polypropylene-g-Poly(methyl methacrylate) Copolymer by Water-Solid Phase Suspension Grafting Polymerization Using the Surface of Reactor Granule Technology Polypropylene Granules as Reaction Loci. J. Appl. Polym. Sci. 2013, 129, 3170–3177. [Google Scholar] [CrossRef]
- Kyung, B.I.; Young, K.H. Development of a Melt-blown Nonwoven Filter for Medical Masks by Hydro Charging. Text. Sci. Eng. 2014, 51, 186–192. [Google Scholar]
- Ji, L.Y.; Shi, B.L. A novel method for determining surface free energy of powders using Washburn’s equation without calculating capillary factor and contact angle. Powder Technol. 2015, 271, 88–92. [Google Scholar] [CrossRef]
- Chang, Q.; Wei, B.G. Capillary pressure method for measuring lipophilic hydrophilic ratio of filter media. Chem. Eng. J. 2009, 150, 323–327. [Google Scholar]
- Chen, M.; Ding, W.H. Removal of azo dyes from water by combined techniques of adsorption, desorption, and electrolysis based on a supramolecular sorbent. Ind. Eng. Chem. Res. 2013, 52, 2403–2411. [Google Scholar] [CrossRef]
- Wu, R.D.; Tong, X.L. Grafting PP by Swelling Suspension Copolymerization Process. China Plast. 2002, 8, 64–68. [Google Scholar]
- Wu, R.D.; Tong, X.L. Graft Copolymerization of Acrylic Acid onto Polypropylene by Suspension process. J. Funct. Polym. 2001, 14, 85–89. [Google Scholar]
- Zhou, Q.; Yang, P.D. Preparation of PP-g-MAH fiber using suspension grafting and its adsorption ability for copper ions in water. New Chem. Mater. 2015, 43, 240–243. [Google Scholar]
- Liang, T.; Yan, K. Synthesis of a low-molecular-weight copolymer by maleic acid and acrylic acid and its application for the functional modification of cellulose. Cellolose 2020, 27, 5665–5675. [Google Scholar] [CrossRef]
- Wu, S.; Dai, X. Highly sensitive and selective ion-imprinted polymers based on one-step electrodeposition of chitosan-graphene nanocomposites for the determination of Cr(VI). Carbohydr. Polym. 2018, 195, 199–206. [Google Scholar] [CrossRef]
- Zhou, Y.; Gu, X. Removal of aniline from aqueous solution using pine sawdust modified with citric acid and b-cyclodextrin. Ind. Eng. Chem. Res. 2014, 53, 887–894. [Google Scholar] [CrossRef]
- Huang, R.; Yang, B. Simultaneous adsorption of aniline and Cr(VI) ion by activated carbon/chitosan composite. J. Appl. Polym. Sci. 2014, 131, 39903. [Google Scholar] [CrossRef]
- An, F.; Feng, X. Adsorption of aniline from aqueous solution using novel adsorbent PAM/SiO2. Chem. Eng. J. 2009, 151, 183–187. [Google Scholar] [CrossRef]
- Deng, Q.; Chen, C. Adsorption of aniline from aqueous solution using graphene oxide-modified attapulgite composites. RSC Adv. 2018, 8, 23382–23389. [Google Scholar] [CrossRef]
- Zheng, H.; Liu, D. Sorption isotherm and kinetic modeling of aniline on Cr-bentonite. J. Hazard. Mater. 2009, 167, 141–147. [Google Scholar] [CrossRef] [PubMed]














| PP | Monomers | Xylene | Deionized Water | BPO | Grafting Time | Grafting Ratio | |
|---|---|---|---|---|---|---|---|
| AA | MAH | ||||||
| 200 g | 47g | 63g | 1.2L | 1.6L | 2.8g | 3h | 12.47% |
| Langmuir | Freundlich | ||||
|---|---|---|---|---|---|
| Qm/mg·g−1 | KL | R2 | n | KF/mg·g−1 | R2 |
| 62.7 | 0.0226 | 0.9925 | 2.2745 | 5.3851 | 0.9791 |
| Adsorbents | qmax/mg·g−1 | Reference |
|---|---|---|
| Modified pine sawdust | 21.8 | [43] |
| Activated carbon/chitosan composite | 22.9 | [44] |
| PAM/SiO2 | 52.0 | [45] |
| Modied ATP | 16.1 | [46] |
| Cr-bentonite | 21.6 | [47] |
| Modified jute fiber | 125 | [20] |
| Edible fungus residue activated carbon | 27.1 | [21] |
| PP-g-(AA-MAH) fibers | 48.3 | This work |
© 2020 by the authors. Licensee MDPI, Basel, Switzerland. This article is an open access article distributed under the terms and conditions of the Creative Commons Attribution (CC BY) license (http://creativecommons.org/licenses/by/4.0/).
Share and Cite
Lian, Z.; Xu, Y.; Zuo, J.; Qian, H.; Luo, Z.; Wei, W. Preparation of PP-g-(AA-MAH) Fibers Using Suspension Grafting and Melt-Blown Spinning and its Adsorption for Aniline. Polymers 2020, 12, 2157. https://doi.org/10.3390/polym12092157
Lian Z, Xu Y, Zuo J, Qian H, Luo Z, Wei W. Preparation of PP-g-(AA-MAH) Fibers Using Suspension Grafting and Melt-Blown Spinning and its Adsorption for Aniline. Polymers. 2020; 12(9):2157. https://doi.org/10.3390/polym12092157
Chicago/Turabian StyleLian, Zhouyang, Yiyang Xu, Jie Zuo, Hui Qian, Zhengwei Luo, and Wuji Wei. 2020. "Preparation of PP-g-(AA-MAH) Fibers Using Suspension Grafting and Melt-Blown Spinning and its Adsorption for Aniline" Polymers 12, no. 9: 2157. https://doi.org/10.3390/polym12092157
APA StyleLian, Z., Xu, Y., Zuo, J., Qian, H., Luo, Z., & Wei, W. (2020). Preparation of PP-g-(AA-MAH) Fibers Using Suspension Grafting and Melt-Blown Spinning and its Adsorption for Aniline. Polymers, 12(9), 2157. https://doi.org/10.3390/polym12092157

