Polymers in the Medical Antiviral Front-Line
Abstract
1. Introduction
2. Polymers for Antiviral Activity
- Chapter 1:
- Chapter 2:
2.1. Supporting Role
2.2. In the Front-Line
2.2.1. Polymerization of Commercial Antiviral Drugs [(pro)drugs]
2.2.2. Antiviral Nanoparticles
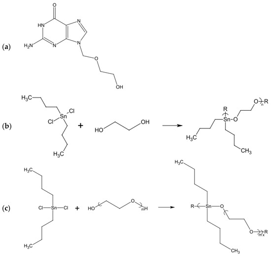
2.2.3. Metal-Polymers Hybrids
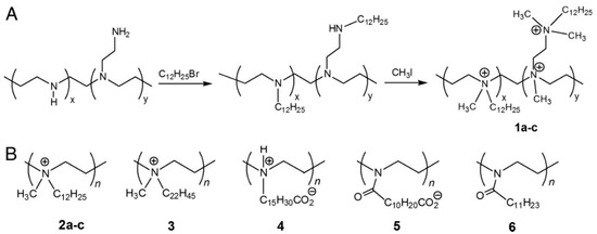
2.2.4. Amines Containing-Polymers and Polycations
2.2.5. Poly(Carboxylic acid)s, Polyanhydrides and Polyanions
2.2.6. Sulphate and Sulphuric acid-Containing Polymers
2.2.7. Hydroxyl-Containing Polymers, Polyphenols and Some Other Non-Ionic Polymers
3. Temperature Effect on Antiviral Activity
4. Summary and Conclusions
Author Contributions
Funding
Conflicts of Interest
List of Abbreviations
| PAS | Poly(anethole sulphonic acid) | Cu2S | Cuprous sulfide |
| 6′SLN-PAA | Poly(N-2-hydroxyethylacrylamide) | EIPA | 5-(N-ethyl-N-isopropyl)amiloride |
| PVS | Poly(vinyl Sulphonic acid) | ATA | Aurintricarboxylic acid |
| TESET | Poly[tert-butylstyrene-b-(ethylene-alt-propylene)-b-(styrene sulphonate)-b-(ethylene-alt-propylene)-b-tert-butylstyrene] | AcMNPV | Autographa californica Multicapsid Nucleopolyhedrovirus |
| PEI | Polyethyleneimine | CuCl | Cuprous chloride |
| PHB | Polyhydroxybutyrat | CuI | Cuprous iodide |
| PHBV | Polyhydroxybutyrate valerate | Cu2O | Cuprous oxide |
| PGN | Poly-l-glutamine | DDAB | didodecyldimethylammonium bromide |
| PDTC | Pyrrolidine dithiocarbamate | FCV | Feline Calicivirus |
| SNP | Silica Nanoparticle | VHSV | Hemorrhagic Septicaemia viruses |
| HIV | The human immunodeficiency virus | HSV | Herpes simplex virus |
| TiO2 | Titanium Oxide | HA | Humic acid |
| TMV | Tobacco mosaic virus | IPNV | Infectious Pancreatic Necrosis virus |
| Zn(AC)2 | Zinc Acetate | MOFs | Metal-organic frameworks |
| Zn(asp)2 | Zinc aspartate | EMCV | Murine Encephalomyocarditis virus |
| CIZAR | Zinc citrate | 6′SLN | Neu5Acα2-6Galβ1-4GlcNAcβ |
| Zn(Glu)2 | Zinc gluconate | PLO | Poly(l-ornithine) |
| Zn(Lac)2 | Zinc lactate | PAMPS | poly(2-acry-lamido-2-methyl-l-propane sulphonic acid) |
| Zn(pic)2 | Zinc picolinate | PSS | Poly(4-styrene sulphonic acid) |
References
- Introduction to Virology | Division of Medical Virology. Available online: http://www.virology.uct.ac.za/vir/teaching/mbchb/intro (accessed on 24 March 2020).
- Kayser, F.H.; Bienz, K.A.; Eckert, J.; Zinkernagel, R.M. Kaiser, Medical Microbiology; Thieme: Zurich, Switzerland, 2005; ISBN 3131319917. [Google Scholar]
- Baltimore, D. Expression of animal virus genomes. Bacteriol. Rev. 1971, 35, 235–241. [Google Scholar] [CrossRef] [PubMed]
- Smith, R.E.; Zweerink, H.J.; Joklik, W.K. Polypeptide components of virions, top component and cores of reovirus type 3. Virology 1969, 39, 791–810. [Google Scholar] [CrossRef]
- Gelderblom, H.R. Structure and Classification of Viruses. In Medical Microbiology; University of Texas Medical Branch at Galveston: Galveston, TX, USA, 1996; ISBN 0963117211. [Google Scholar]
- Van Regenmortel, M.H.V. The Species Problem in Virology. In Advances in Virus Research; Academic Press Inc.: Amsterdam, The Netherlands, 2018; Volume 100, pp. 1–18. ISBN 9780128152010. [Google Scholar]
- Kibenge, F.S.B. Classification and identification of aquatic animal viruses. In Aquaculture Virology; Elsevier Inc.: Amsterdam, The Netherlands, 2016; pp. 9–34. ISBN 9780128017548. [Google Scholar]
- Van Regenmortel, M.H.V. Virus Species. In Genetics and Evolution of Infectious Diseases; Elsevier Inc.: Amsterdam, The Netherlands, 2011; pp. 3–19. ISBN 9780123848901. [Google Scholar]
- Thurman, R.B.; Gerba, C.P. The molecular mechanisms of copper and silver ion disinfection of bacteria and viruses. Crit. Rev. Environ. Control 1989, 18, 295–315. [Google Scholar] [CrossRef]
- Bishop, N.E.; Anderson, D.A. Early interactions of hepatitis A virus with cultured cells: Viral elution and the effect of pH and calcium ions. Arch. Virol. 1997, 142, 2161–2178. [Google Scholar] [CrossRef]
- Chambers, D.L. Effect of ionic concentration on the infectivity of a virus of the citrus red mite, Panonychus citri. J. Invertebr. Pathol. 1968, 10, 245–251. [Google Scholar] [CrossRef]
- Lund, E. The significance of oxidation in chemical inactivation of poliovirus. Arch. Gesamte Virusforsch. 1962, 12, 648–660. [Google Scholar] [CrossRef]
- Samuni, A.; Aronovitch, J.; Godinger, D.; Chevion, M.; Czapski, G. On the cytotoxicity of vitamin C and metal ions: A site-specific Fenton mechanism. Eur. J. Biochem. 1983, 137, 119–124. [Google Scholar] [CrossRef]
- Samuni, A.; Chevion, M.; Czapski, G. Roles of copper and superoxide anion radicals in the radiation- induced inactivation of T7 bacteriophage. Radiat. Res. 1984, 99, 562. [Google Scholar] [CrossRef]
- Tilton, R.C.; Rosenberg, B. Reversal of the Silver Inhibition of Microorganisms by Agar. Appl. Environ. Microbiol. 1978, 35, 1116–1120. [Google Scholar] [CrossRef]
- Khandelwal, N.; Kaur, G.; Kumar, N.; Tiwari, A. Application of silver nanoparticles in viral inhibition: A new hope for antivirals. Dig. J. Nanomater. Biostructures 2014, 9, 175–186. [Google Scholar]
- Petering, H.G. Pharmacology and toxicology of heavy metals: Silver. Pharmacol. Ther. Part A Chemother. Toxicol. 1976, 1, 127–130. [Google Scholar] [CrossRef]
- Sun, L.Z.; Heng, X.; Chen, S.J. Theory meets experiment: Metal ion effects in HCV genomic RNA kissing complex formation. Front. Mol. Biosci. 2017, 4, 1–7. [Google Scholar] [CrossRef] [PubMed]
- Mönttinen, H.A.M.; Ravantti, J.J.; Poranen, M.M. Evidence for a non-catalytic ion-binding site in multiple RNA-dependent RNA polymerases. PLoS ONE 2012, 7. [Google Scholar] [CrossRef] [PubMed]
- Benzaghou, I.; Bougie, I.; Bisaillon, M. Effect of metal ion binding on the structural stability of the hepatitis C virus RNA polymerase. J. Biol. Chem. 2004, 279, 49755–49761. [Google Scholar] [CrossRef] [PubMed]
- Javidpour, L.; Lošdorfer Božič, A.; Naji, A.; Podgornik, R. Multivalent ion effects on electrostatic stability of virus-like nano-shells. J. Chem. Phys. 2013, 139, 1–8. [Google Scholar] [CrossRef]
- Sunada, K.; Minoshima, M.; Hashimoto, K. Highly efficient antiviral and antibacterial activities of solid-state cuprous compounds. J. Hazard. Mater. 2012, 235–236, 265–270. [Google Scholar] [CrossRef]
- Kumel, G.; Schrader, S.; Zentgraf, H.; Daus, H.; Brendel, M. The mechanism of the antiherpetic activity of zinc sulphate. J. Gen. Virol. 1990, 71, 2989–2997. [Google Scholar] [CrossRef]
- Read, S.A.; Obeid, S.; Ahlenstiel, C.; Ahlenstiel, G. The Role of Zinc in Antiviral Immunity. Adv. Nutr. 2019, 10, 696–710. [Google Scholar] [CrossRef]
- te Velthuis, A.J.W.; van den Worml, S.H.E.; Sims, A.C.; Baric, R.S.; Snijder, E.J.; van Hemert, M.J. Zn2+ inhibits coronavirus and arterivirus RNA polymerase activity in vitro and zinc ionophores block the replication of these viruses in cell culture. PLoS Pathog. 2010, 6. [Google Scholar] [CrossRef]
- Ferrari, E.; Wright-Minogue, J.; Fang, J.W.S.; Baroudy, B.M.; Lau, J.Y.N.; Hong, Z. Characterization of Soluble Hepatitis C Virus RNA-Dependent RNA Polymerase Expressed in Escherichia coli. J. Virol. 1999, 73, 1649–1654. [Google Scholar] [CrossRef]
- Yuasa, K.; Naganuma, A.; Sato, K.; Ikeda, M.; Kato, N.; Takagi, H.; Mori, M. Zinc is a negative regulator of hepatitis C virus RNA replication. Liver Int. 2006, 26, 1111–1118. [Google Scholar] [CrossRef] [PubMed]
- Read, S.A.; Parnell, G.; Booth, D.; Douglas, M.W.; George, J.; Ahlenstiel, G. The antiviral role of zinc and metallothioneins in hepatitis C infection. J. Viral Hepat. 2018, 25, 491–501. [Google Scholar] [CrossRef] [PubMed]
- Turner, R.B.; Cetnarowski, W.E. Effect of Treatment with Zinc Gluconate or Zinc Acetate on Experimental and Natural Colds. Clin. Infect. Dis. 2000, 31, 1202–1208. [Google Scholar] [CrossRef] [PubMed]
- Krenn, B.M.; Gaudernak, E.; Holzer, B.; Lanke, K.; Van Kuppeveld, F.J.M.; Seipelt, J. Antiviral Activity of the Zinc Ionophores Pyrithione and Hinokitiol against Picornavirus Infections. J. Virol. 2009, 83, 58–64. [Google Scholar] [CrossRef]
- Sagripanti, J.L.; Routson, L.B.; Lytle, C.D. Virus inactivation by copper or iron ions alone and in the presence of peroxide. Appl. Environ. Microbiol. 1993, 59, 4374–4376. [Google Scholar] [CrossRef]
- Chang, E.L.; Simmers, C.; Knight, D.A. Cobalt complexes as antiviral and antibacterial agents. Pharmaceuticals 2010, 3, 1711–1728. [Google Scholar] [CrossRef]
- Shigeta, S.; Mori, S.; Kodama, E.; Kodama, J.; Takahashi, K.; Yamase, T. Broad spectrum anti-RNA virus activities of titanium and vanadium substituted polyoxotungstates. Antiviral Res. 2003, 58, 265–271. [Google Scholar] [CrossRef]
- Dan, K.; Katoh, N.; Matsuoka, T.; Fujinami, K. In vitro Antimicrobial Effects of Virus Block, Which Contains Multiple Polyoxometalate Compounds, and Hygienic Effects of Virus Block-Supplemented Moist Hand Towels. Pharmacology 2019, 104, 98–112. [Google Scholar] [CrossRef]
- Xue, Y.; Xiao, H. Antibacterial/antiviral property and mechanism of dual-functional quaternized pyridinium-type copolymer. Polymers (Basel) 2015, 7, 2290–2303. [Google Scholar] [CrossRef]
- Chirkov, S.N. The Antiviral Activity of Chitosan (Review). Prikl. Biokhimiya Mikrobiol. 2002, 38, 12–13. [Google Scholar]
- Jensen, E.M.; Liu, O.C. Studies of Inhibitory Effect of Ammonium Ions in Several Virus-Tissue Culture Systems. Exp. Biol. Med. 1961, 107, 834–838. [Google Scholar] [CrossRef] [PubMed]
- Fletcher, R.D.; Hirschfield, J.E.; Forbes, M. A common mode of antiviral action for ammonium ions and various amines. Nature 1965, 207, 664–665. [Google Scholar] [CrossRef] [PubMed]
- Wang, H.; Li, Z.; Niu, J.; Xu, Y.; Ma, L.; Lu, A.; Wang, X.; Qian, Z.; Huang, Z.; Jin, X.; et al. Antiviral effects of ferric ammonium citrate. Cell Discov. 2018, 4. [Google Scholar] [CrossRef] [PubMed]
- Tuladhar, E.; de Koning, M.C.; Fundeanu, I.; Beumer, R.; Duizer, E. Different virucidal activities of hyperbranched quaternary ammonium coatings on poliovirus and influenza virus. Appl. Environ. Microbiol. 2012, 78, 2456–2458. [Google Scholar] [CrossRef] [PubMed]
- Wei, L.; Li, Q.; Chen, Y.; Zhang, J.; Mi, Y.; Dong, F.; Lei, C.; Guo, Z. Enhanced antioxidant and antifungal activity of chitosan derivatives bearing 6-O-imidazole-based quaternary ammonium salts. Carbohydr. Polym. 2019, 206, 493–503. [Google Scholar] [CrossRef] [PubMed]
- Xue, Y.; Pan, Y.; Xiao, H.; Zhao, Y. Novel quaternary phosphonium-type cationic polyacrylamide and elucidation of dual-functional antibacterial/antiviral activity. RSC Adv. 2014, 4, 46887–46895. [Google Scholar] [CrossRef]
- Donaruma, L.G. Synthetic biologically active polymers. Prog. Polym. Sci. 1975, 4, 1–25. [Google Scholar] [CrossRef]
- Malik, N.S.; Ahmad, M.; Minhas, M.U.; Tulain, R.; Barkat, K.; Khalid, I.; Khalid, Q. Chitosan/Xanthan Gum Based Hydrogels as Potential Carrier for an Antiviral Drug: Fabrication, Characterization, and Safety Evaluation. Front. Chem. 2020, 8, 1–16. [Google Scholar] [CrossRef]
- Jiao, Y.; Niu, L.N.; Ma, S.; Li, J.; Tay, F.R.; Chen, J.H. Quaternary ammonium-based biomedical materials: State-of-the-art, toxicological aspects and antimicrobial resistance. Prog. Polym. Sci. 2017, 71, 53–90. [Google Scholar] [CrossRef]
- Pasquier, N.; Keul, H.; Heine, E.; Moeller, M. From multifunctionalized poly(ethylene imine)s toward antimicrobial coatings. Biomacromolecules 2007, 8, 2874–2882. [Google Scholar] [CrossRef]
- HARADA, Y.; LEKCHAROENSUK, P.; FURUTA, T.; TANIGUCHI, T. Inactivation of Foot-and-Mouth Disease Virus by Commercially Available Disinfectants and Cleaners. Biocontrol Sci. 2015, 20, 205–208. [Google Scholar] [CrossRef] [PubMed]
- Amtmann, E.; Müller-Decker, K.; Hoss, A.; Schalasta, G.; Doppler, C.; Sauer, G. Synergistic antiviral effect of xanthates and ionic detergents. Biochem. Pharmacol. 1987, 36, 1545–1549. [Google Scholar] [CrossRef]
- Reymen, D.; Witvrouw, M.; Esté, J.A.; Neyts, J.; Schols, D.; Andrei, G.; Snoeck, R.; Cushman, M.; Hejchman, E.; De Clercq, E. Mechanism of the antiviral activity of new aurintricarboxylic acid analogues. Antivir. Chem. Chemother. 1996, 7, 142–152. [Google Scholar] [CrossRef]
- Vaillant, A. Nucleic acid polymers: Broad spectrum antiviral activity, antiviral mechanisms and optimization for the treatment of hepatitis B and hepatitis D infection. Antiviral Res. 2016, 133, 32–40. [Google Scholar] [CrossRef]
- Gazina, E.V.; Harrison, D.N.; Jefferies, M.; Tan, H.; Williams, D.; Anderson, D.A.; Petrou, S. Ion transport blockers inhibit human rhinovirus 2 release. Antiviral Res. 2005, 67, 98–106. [Google Scholar] [CrossRef]
- Furuya, A.; Uozaki, M.; Yamasaki, H.; Arakawa, T.; Arita, M.; Koyama, A.H. Antiviral effects of ascorbic and dehydroascorbic acids in vitro. Int. J. Mol. Med. 2008, 22, 541–545. [Google Scholar] [CrossRef]
- PATRA, J.K.; GOUDA, S. Application of nanotechnology in textile engineering: An overview. J. Eng. Technol. Res. 2013, 5, 104–111. [Google Scholar] [CrossRef]
- Sokolova, A.S.; Yarovaya, O.I.; Korchagina, D.V.; Zarubaev, V.V.; Tretiak, T.S.; Anfimov, P.M.; Kiselev, O.I.; Salakhutdinov, N.F. Camphor-based symmetric diimines as inhibitors of influenza virus reproduction. Bioorganic Med. Chem. 2014, 22, 2141–2148. [Google Scholar] [CrossRef]
- Sokolova, A.S.; Yarovaya, O.I.; Shernyukov, A.V.; Gatilov, Y.V.; Razumova, Y.V.; Zarubaev, V.V.; Tretiak, T.S.; Pokrovsky, A.G.; Kiselev, O.I.; Salakhutdinov, N.F. Discovery of a new class of antiviral compounds: Camphor imine derivatives. Eur. J. Med. Chem. 2015, 105, 263–273. [Google Scholar] [CrossRef]
- Zarubaev, V.V.; Garshinina, A.V.; Tretiak, T.S.; Fedorova, V.A.; Shtro, A.A.; Sokolova, A.S.; Yarovaya, O.I.; Salakhutdinov, N.F. Broad range of inhibiting action of novel camphor-based compound with anti-hemagglutinin activity against influenza viruses in vitro and in vivo. Antiviral Res. 2015, 120, 126–133. [Google Scholar] [CrossRef]
- Bassi, P.; Kaur, G. Polymeric films as a promising carrier for bioadhesive drug delivery: Development, characterization and optimization. Saudi Pharm. J. 2017, 25, 32–43. [Google Scholar] [CrossRef]
- Yue, I.C.; Poff, J.; Cortés, M.E.; Sinisterra, R.D.; Faris, C.B.; Hildgen, P.; Langer, R.; Shastri, V.P. A novel polymeric chlorhexidine delivery device for the treatment of periodontal disease. Biomaterials 2004, 25, 3743–3750. [Google Scholar] [CrossRef] [PubMed]
- Tallury, P.; Airrabeelli, R.; Li, J.; Paquette, D.; Kalachandra, S. Release of antimicrobial and antiviral drugs from methacrylate copolymer system: Effect of copolymer molecular weight and drug loading on drug release. Dent. Mater. 2008, 24, 274–280. [Google Scholar] [CrossRef] [PubMed]
- Ma, L.; Huang, X.; Yu, R.; Jing, X.L.; Xu, J.; Wu, C.A.; Zhu, C.X.; Liu, H.M. Elevated ambient temperature differentially affects virus resistance in two tobacco species. Phytopathology 2016, 106, 94–100. [Google Scholar] [CrossRef]
- Chun, H.; Yeom, M.; Kim, H.O.; Lim, J.W.; Na, W.; Park, G.; Park, C.; Kang, A.; Yun, D.; Kim, J.; et al. Efficient antiviral co-delivery using polymersomes by controlling the surface density of cell-targeting groups for influenza A virus treatment. Polym. Chem. 2018, 9, 2116–2123. [Google Scholar] [CrossRef]
- Lee, C.M.; Weight, A.K.; Haldar, J.; Wang, L.; Klibanov, A.M.; Chen, J. Polymer-attached zanamivir inhibits synergistically both early and late stages of influenza virus infection. Proc. Natl. Acad. Sci. USA 2012, 109, 20385–20390. [Google Scholar] [CrossRef] [PubMed]
- Agostoni, V.; Chalati, T.; Horcajada, P.; Willaime, H.; Anand, R.; Semiramoth, N.; Baati, T.; Hall, S.; Maurin, G.; Chacun, H.; et al. Towards an Improved anti-HIV Activity of NRTI via Metal-Organic Frameworks Nanoparticles. Adv. Healthc. Mater. 2013, 2, 1630–1637. [Google Scholar] [CrossRef]
- Keskin, S.; Kizilel, S. Biomedical Applications of Metal Organic Frameworks. Ind. Eng. Chem. Res. 2011, 50, 1799–1812. [Google Scholar] [CrossRef]
- Solórzano, R.; Tort, O.; García-Pardo, J.; Escribà, T.; Lorenzo, J.; Arnedo, M.; Ruiz-Molina, D.; Alibés, R.; Busqué, F.; Novio, F. Versatile iron-catechol-based nanoscale coordination polymers with antiretroviral ligand functionalization and their use as efficient carriers in HIV/AIDS therapy. Biomater. Sci. 2019, 7, 178–186. [Google Scholar] [CrossRef]
- Smith, A.A.A.; Kryger, M.B.L.; Wohl, B.M.; Ruiz-Sanchis, P.; Zuwala, K.; Tolstrup, M.; Zelikin, A.N. Macromolecular (pro)drugs in antiviral research. Polym. Chem. 2014, 5, 6407–6425. [Google Scholar] [CrossRef]
- Kryger, M.B.L.; Wohl, B.M.; Smith, A.A.A.; Zelikin, A.N. Macromolecular prodrugs of ribavirin combat side effects and toxicity with no loss of activity of the drug. Chem. Commun. 2013, 49, 2643–2645. [Google Scholar] [CrossRef] [PubMed]
- Larson, A.M. Antiviral Polymeric Drugs and Surface Coatings; Massachusetts Institute Of Technology: Cambridge, MA, USA, 2013. [Google Scholar]
- Larson, A.M.; Wang, H.; Cao, Y.; Jiang, T.; Chen, J.; Klibanov, A.M. Conjugating Drug Candidates to Polymeric Chains Does Not Necessarily Enhance Anti-Influenza Activity. J. Pharm. Sci. 2012, 101, 3896–3905. [Google Scholar] [CrossRef] [PubMed][Green Version]
- Gambaryan, A.S.; Boravleva, E.Y.; Matrosovich, T.Y.; Matrosovich, M.N.; Klenk, H.D.; Moiseeva, E.V.; Tuzikov, A.B.; Chinarev, A.A.; Pazynina, G.V.; Bovin, N.V. Polymer-bound 6′ sialyl-N-acetyllactosamine protects mice infected by influenza virus. Antiviral Res. 2005, 68, 116–123. [Google Scholar] [CrossRef] [PubMed]
- Roner, M.R.; Carraher, C.E.; Dhanji, S.; Barot, G. Antiviral and anticancer activity of cisplatin derivatives of tilorone. J. Inorg. Organomet. Polym. Mater. 2008, 18, 374–383. [Google Scholar] [CrossRef]
- Roner, M.R.; Carraher, C.E. Cisplatin derivatives as antiviral agents. In Inorganic and Organometallic Macromolecules: Design and Applications; Springer: New York, NY, USA, 2008; pp. 193–223. ISBN 9780387729466. [Google Scholar]
- Rashid, M.M.O.; Islam, M.S.; Haque, M.A.; Rahman, M.A.; Hossain, M.T.; Hamid, M.A. Antibacterial activity of polyaniline coated silver nanoparticles synthesized from Piper betle leaves extract. Iran. J. Pharm. Res. 2016, 15, 591–597. [Google Scholar] [CrossRef]
- Shigita, S.; Tsurumi, H.; Naka, H. Anti-Viral Fiber, Process for Producing the Fiber, and Textile Product Comprising the Fiber. U.S. Patent Application No. 10/591,460, 26 July 2007. [Google Scholar]
- Imai, K.; Ogawa, H.; Bui, V.N.; Inoue, H.; Fukuda, J.; Ohba, M.; Yamamoto, Y.; Nakamura, K. Inactivation of high and low pathogenic avian influenza virus H5 subtypes by copper ions incorporated in zeolite-textile materials. Antiviral Res. 2012, 93, 225–233. [Google Scholar] [CrossRef]
- Seino, S.; Imoto, Y.; Kosaka, T.; Nishida, T.; Nakagawa, T.; Yamamoto, T.A. Antiviral Activity of Silver Nanoparticles Immobilized onto Textile Fabrics Synthesized by Radiochemical Process. MRS Adv. 2016, 1, 705–710. [Google Scholar] [CrossRef]
- Elechiguerra, J.L.; Burt, J.L.; Morones, J.R.; Camacho-Bragado, A.; Gao, X.; Lara, H.H.; Yacaman, M.J. Interaction of silver nanoparticles with HIV-1. J. Nanobiotechnol. 2005, 3, 1–10. [Google Scholar] [CrossRef]
- Lara, H.H.; Ixtepan-Turrent, L.; Garza-Treviño, E.N.; Rodriguez-Padilla, C. PVP-coated silver nanoparticles block the transmission of cell-free and cell-associated HIV-1 in human cervical culture. J. Nanobiotechnol. 2010, 8, 1–11. [Google Scholar] [CrossRef]
- Lara, H.H.; Ayala-Nuñez, N.V.; Ixtepan-Turrent, L.; Rodriguez-Padilla, C. Mode of antiviral action of silver nanoparticles against HIV-1. J. Nanobiotechnol. 2010, 8, 1–10. [Google Scholar] [CrossRef]
- Sun, L.; Singh, A.; Vig, K.; Pillai, S.; Singh, S. Silver Nanoparticles Inhibit Replication of Respiratory Syncytial Virus. J. Biomed. Nanotechnol. 2008, 4, 149–158. [Google Scholar]
- Rogers, J.V.; Parkinson, C.V.; Choi, Y.W.; Speshock, J.L.; Hussain, S.M. A preliminary assessment of silver nanoparticle inhibition of monkeypox virus plaque formation. Nanoscale Res. Lett. 2008, 3, 129–133. [Google Scholar] [CrossRef]
- Speshock, J.L.; Murdock, R.C.; Braydich-Stolle, L.K.; Schrand, A.M.; Hussain, S.M. Interaction of silver nanoparticles with Tacaribe virus. J. Nanobiotechnol. 2010, 8, 1–9. [Google Scholar] [CrossRef] [PubMed]
- Mori, Y.; Ono, T.; Miyahira, Y.; Nguyen, V.Q.; Matsui, T.; Ishihara, M. Antiviral activity of silver nanoparticle/chitosan composites against H1N1 influenza A virus. Nanoscale Res. Lett. 2013, 8, 93. [Google Scholar] [CrossRef]
- Balagna, C.; Perero, S.; Percivalle, E.; Nepita, E.V.; Ferraris, M. Virucidal effect against Coronavirus SARS-CoV-2 of a silver nanocluster/silica composite sputtered coating. Open Ceram. 2020, 1, 100006. [Google Scholar] [CrossRef]
- Kenney, J.; Rodríguez, A.; Kizima, L.; Seidor, S.; Menon, R.; Jean-Pierre, N.; Pugach, P.; Levendosky, K.; Derby, N.; Gettie, A.; et al. A modified zinc acetate gel, a potential nonantiretroviral microbicide, is safe and effective against simian-human immunodeficiency virus and herpes simplex virus 2 infection in vivo. Antimicrob. Agents Chemother. 2013, 57, 4001–4009. [Google Scholar] [CrossRef]
- Botequim, D.; Maia, J.; Lino, M.M.F.; Lopes, L.M.F.; Simões, P.N.; Ilharco, L.M.; Ferreira, L. Nanoparticles and surfaces presenting antifungal, antibacterial and antiviral properties. Langmuir 2012, 28, 7646–7656. [Google Scholar] [CrossRef]
- Antiviral Agent, Coating Composition, Resin Composition and Antiviral Product. U.S. Patent 16/078,534, 17 February 2017.
- Parthasarathi, V.; Thilagavathi, G. Development of tri-laminate antiviral surgical gown for liquid barrier protection. J. Text. Inst. 2015, 106, 1095–1105. [Google Scholar] [CrossRef]
- Ng, L.Y.; Mohammad, A.W.; Leo, C.P.; Hilal, N. Polymeric membranes incorporated with metal/metal oxide nanoparticles: A comprehensive review. Desalination 2013, 308, 15–33. [Google Scholar] [CrossRef]
- Iyigundogdu, Z.U.; Demir, O.; Asutay, A.B.; Sahin, F. Developing Novel Antimicrobial and Antiviral Textile Products. Appl. Biochem. Biotechnol. 2016, 181, 1155–1166. [Google Scholar] [CrossRef]
- Nunes, O.D.; Durán, N.E.C. Polymeric Anhydride of Magnesium and Proteic Ammonium Phospholinoleate with Antiviral, Antineoplastic and Immunostimulant Properties. U.S. Patent 5,073,630, 17 December 1991. [Google Scholar]
- Roner, M.R.; Carraher, C.E.; Miller, L.; Mosca, F.; Slawek, P.; Haky, J.E.; Frank, J. Organotin Polymers as Antiviral Agents Including Inhibition of Zika and Vaccinia Viruses. J. Inorg. Organomet. Polym. Mater. 2020, 30, 684–694. [Google Scholar] [CrossRef]
- Roner, M.R.; Carraher, C.E.; Shahi, K.; Barot, G. Antiviral activity of metal-containing polymers-organotin and cisplatin-like polymers. Materials (Basel) 2011, 4, 991–1012. [Google Scholar] [CrossRef] [PubMed]
- Yan, Y.; Zhang, J.; Ren, L.; Tang, C. Metal-containing and related polymers for biomedical applications. Chem. Soc. Rev. 2016, 45, 5232–5263. [Google Scholar] [CrossRef] [PubMed]
- Sinclair, T.R.; Robles, D.; Raza, B.; van den Hengel, S.; Rutjes, S.A.; de Roda Husman, A.M.; de Grooth, J.; de Vos, W.M.; Roesink, H.D.W. Virus reduction through microfiltration membranes modified with a cationic polymer for drinking water applications. Colloids Surfaces A Physicochem. Eng. Asp. 2018, 551, 33–41. [Google Scholar] [CrossRef]
- Ichiyama, K.; Yang, C.; Chandrasekaran, L.; Liu, S.; Rong, L.; Zhao, Y.; Gao, S.; Lee, A.; Ohba, K.; Suzuki, Y.; et al. Cooperative Orthogonal Macromolecular Assemblies with Broad Spectrum Antiviral Activity, High Selectivity, and Resistance Mitigation. Macromolecules 2016, 49, 2618–2629. [Google Scholar] [CrossRef]
- Bromberg, L.; Bromberg, D.J.; Hatton, T.A.; Bandín, I.; Concheiro, A.; Alvarez-Lorenzo, C. Antiviral properties of polymeric aziridine- and biguanide-modified core-shell magnetic nanoparticles. Langmuir 2012, 28, 4548–4558. [Google Scholar] [CrossRef]
- Larson, A.M.; Oh, H.S.; Knipe, D.M.; Klibanov, A.M. Decreasing herpes simplex viral infectivity in solution by surface-immobilized and suspended N,N-dodecyl,methyl-polyethylenimine. Pharm. Res. 2013, 30, 25–31. [Google Scholar] [CrossRef]
- Larson, A.M.; Klibanov, A.M. Biocidal Packaging for Pharmaceuticals, Foods, and Other Perishables. Annu. Rev. Chem. Biomol. Eng. 2013, 4, 171–186. [Google Scholar] [CrossRef]
- Larson, A.M.; Hsu, B.B.; Rautaray, D.; Haldar, J.; Chen, J.; Klibanov, A.M. Hydrophobic polycationic coatings disinfect poliovirus and rotavirus solutions. Biotechnol. Bioeng. 2011, 108, 720–723. [Google Scholar] [CrossRef]
- Shamshina, J.L.; Kelly, A.; Oldham, T.; Rogers, R.D. Agricultural uses of chitin polymers. Environ. Chem. Lett. 2020, 18, 53–60. [Google Scholar] [CrossRef]
- Ai, H.; Wang, F.; Xia, Y.; Chen, X.; Lei, C. Antioxidant, antifungal and antiviral activities of chitosan from the larvae of housefly, Musca domestica L. Food Chem. 2012, 132, 493–498. [Google Scholar] [CrossRef] [PubMed]
- Guo, Y.; Dong, Y.; Xu, C.; Xie, Q.; Xie, Y.; Xia, Z.; An, M.; Wu, Y. Novel combined biological antiviral agents Cytosinpeptidemycin and Chitosan oligosaccharide induced host resistance and changed movement protein subcellular localization of tobacco mosaic virus. Pestic. Biochem. Physiol. 2020, 164, 40–46. [Google Scholar] [CrossRef] [PubMed]
- Donalisio, M.; Ranucci, E.; Cagno, V.; Civra, A.; Manfredi, A.; Cavalli, R.; Ferruti, P.; Lembo, D. Agmatine-containing poly(amidoamine)s as a novel class of antiviral macromolecules: Structural properties and in vitro evaluation of infectivity inhibition. Antimicrob. Agents Chemother. 2014, 58, 6315–6319. [Google Scholar] [CrossRef] [PubMed]
- Pan, Y.; Xue, Y.; Snow, J.; Xiao, H. Tailor-made antimicrobial/antiviral star polymer via ATRP of cyclodextrin and guanidine-based macromonomer. Macromol. Chem. Phys. 2015, 216, 511–518. [Google Scholar] [CrossRef]
- Noronha-Blob, L.; Vengris, V.E.; Pitha, P.M.; Pitha, J. Uptake and Fate of Water-Soluble, Nondegradable Polymers with Antiviral Activity in Cells and Animals. J. Med. Chem. 1977, 20, 356–359. [Google Scholar] [CrossRef]
- Haldar, J.; An, D.; De Cienfuegos, L.Á.; Chen, J.; Klibanov, A.M. Polymeric coatings that inactivate both influenza virus and pathogenic bacteria. Proc. Natl. Acad. Sci. USA 2006, 103, 17667–17671. [Google Scholar] [CrossRef]
- Wang, Y.; Canady, T.D.; Zhou, Z.; Tang, Y.; Price, D.N.; Bear, D.G.; Chi, E.Y.; Schanze, K.S.; Whitten, D.G. Cationic phenylene ethynylene polymers and oligomers exhibit efficient antiviral activity. ACS Appl. Mater. Interfaces 2011, 3, 2209–2214. [Google Scholar] [CrossRef]
- Park, D.; Larson, A.M.; Klibanov, A.M.; Wang, Y. Antiviral and antibacterial polyurethanes of various modalities. Appl. Biochem. Biotechnol. 2013, 169, 1134–1146. [Google Scholar] [CrossRef]
- Gulve, N.; Kimmerling, K.; Johnston, A.D.; Krueger, G.R.; Ablashi, D.V.; Prusty, B.K. Anti-herpesviral effects of a novel broad range anti-microbial quaternary ammonium silane, K21. Antiviral Res. 2016, 131, 166–173. [Google Scholar] [CrossRef]
- Watanabe, Y.; Kakehi, H.; Shuto, Y. Antibacterial/Antiviral Coating Agent. U.S. Patent 10,550,274, 4 February 2020. [Google Scholar]
- Macchione, M.A.; Guerrero-Beltrán, C.; Rosso, A.P.; Euti, E.M.; Martinelli, M.; Strumia, M.C.; Muñoz-Fernández, M.Á. Poly(N-vinylcaprolactam) Nanogels with Antiviral Behavior against HIV-1 Infection. Sci. Rep. 2019, 9, 1–10. [Google Scholar] [CrossRef]
- Gabbay, J. Antimicrobial and Antiviral Polymeric Materials. U.S. Patent No. 7,169,402 B2, 30 January 2007. [Google Scholar]
- Hayashi, K.; Imanishi, N.; Kashiwayama, Y.; Kawano, A.; Terasawa, K.; Shimada, Y.; Ochiai, H. Inhibitory effect of cinnamaldehyde, derived from Cinnamomi cortex, on the growth of influenza A/PR/8 virus in vitro and in vivo. Antiviral Res. 2007, 74, 1–8. [Google Scholar] [CrossRef] [PubMed]
- Randazzo, W.; Fabra, M.J.; Falcó, I.; López-Rubio, A.; Sánchez, G. Polymers and Biopolymers with Antiviral Activity: Potential Applications for Improving Food Safety. Compr. Rev. Food Sci. Food Saf. 2018, 17, 754–768. [Google Scholar] [CrossRef]
- Merigan, T.C.; Finkelstein, M.S. Interferon-stimulating and in vivo antiviral effects of various synthetic anionic polymers. Virology 1968, 35, 363–374. [Google Scholar] [CrossRef]
- Stein, A.; Loebenstein, G. Induced Interference by Synthetic Polyanions with the Infection of Tobacco Mosaic Virus. Phytopathology 1972, 62, 1461–1466. [Google Scholar] [CrossRef]
- Feltz, E.T.; Regelson, W. Ethylene maleic anhydride copolymers as viral inhibitors. Nature 1962, 196, 642–645. [Google Scholar] [CrossRef] [PubMed]
- Matsushita, M.; Otsuki, K.; Takakuwa, H.; Tsunekuni, R. Antiviral Substance, Antiviral Fiber, and Antiviral Fiber Structur. U.S. Patent Application 12/679,211, 28 October 2010. [Google Scholar]
- Pirrone, V.; Passic, S.; Wigdahl, B.; Rando, R.F.; Labib, M.; Krebs, F.C. A styrene- alt -maleic acid copolymer is an effective inhibitor of R5 and X4 human immunodeficiency virus type 1 infection. J. Biomed. Biotechnol. 2010, 2010. [Google Scholar] [CrossRef]
- Popescu, I.; Suflet, D.M.; Pelin, I.M.; Chiţanu, G.C. Biomedical applications of maleic anhydride copolymers. Rev. Roum. Chim. 2011, 56, 173–188. [Google Scholar]
- Arnáiz, E.; Vacas-Cõrdoba, E.; Galán, M.; Pion, M.; Gõmez, R.; Muñoz-Fernández, M.Á.; De La Mata, F.J. Synthesis of anionic carbosilane dendrimers via “click chemistry” and their antiviral properties against HIV. J. Polym. Sci. Part A Polym. Chem. 2014, 52, 1099–1112. [Google Scholar] [CrossRef]
- Neenan, T.X.; W. Harry Mandeville, I. Antiviral Polymers Comprising Acid Functional Groups and Hydrophobic Groups. U.S. Patent 6,268,126, 31 July 2000. [Google Scholar]
- Helbig, B.; Klöcking, R.; Wutzler, P. Anti-herpes simplex virus type 1 activity of humic acid-like polymers and their o-diphenolic starting compounds. Antivir. Chem. Chemother. 1997, 8, 265–273. [Google Scholar] [CrossRef]
- Sano, Y. Antiviral activity of alginate against infection by tobacco mosaic virus. Carbohydr. Polym. 1999, 38, 183–186. [Google Scholar] [CrossRef]
- Lee, K.Y.; Mooney, D.J. Alginate: Properties and biomedical applications. Prog. Polym. Sci. 2012, 37, 106–126. [Google Scholar] [CrossRef] [PubMed]
- Schols, D.; Clercq, E.D.; Balzarini, J.; Baba, M.; Witvrouw, M.; Hosoya, M.; Andrei, G.; Snoeck, R.; Neyts, J.; Pauwels, R.; et al. Sulphated Polymers are Potent and Selective Inhibitors of Various Enveloped Viruses, Including Herpes Simplex Virus, Cytomegalovirus, Vesicular Stomatitis Virus, Respiratory Syncytial Virus, and Toga-, Arena-, and Retroviruses. Antivir. Chem. Chemother. 1990, 1, 233–240. [Google Scholar] [CrossRef]
- Lee, J.B.; Srisomporn, P.; Hayashi, K.; Tanaka, T.; Sankawa, U.; Hayashi, T. Effects of structural modification of calcium spirulan, a sulfated polysaccharide from Spirulina Platensis, on antiviral activity. Chem. Pharm. Bull. 2001, 49, 108–110. [Google Scholar] [CrossRef]
- Munson, H.R., Jr.; Tankersley, R.W., Jr. Antiviral Sulfonated Naphthalene Formaldehyde Condensation Polymers. U.S. Patent 4,604,404, 5 August 1986. [Google Scholar]
- Soria-Martinez, L.; Bauer, S.; Giesler, M.; Schelhaas, S.; Materlik, J.; Janus, K.A.; Pierzyna, P.; Becker, M.; Snyder, N.L.; Hartmann, L.; et al. Prophylactic antiviral activity of sulfated glycomimetic oligomers and polymers. J. Am. Chem. Soc. 2020. [Google Scholar] [CrossRef] [PubMed]
- Peddinti, B.S.T.; Scholle, F.; Vargas, M.G.; Smith, S.D.; Ghiladi, R.A.; Spontak, R.J. Inherently self-sterilizing charged multiblock polymers that kill drug-resistant microbes in minutes. Mater. Horizons 2019, 6, 2056–2062. [Google Scholar] [CrossRef]
- Yamamoto, I.; Takayama, K.; Honma, K.; Gonda, T.; Matsuzaki, K.; Hatanaka, K.; Uryu, T.; Yoshida, O.; Nakashima, H.; Yamamoto, N.; et al. Synthesis, structure and antiviral activity of sulfates of curdlan and its branched derivatives. Br. Polym. J. 1990, 23, 245–250. [Google Scholar] [CrossRef]
- Neurath, A.R.; Strick, N.; Li, Y.Y. Anti-HIV-1 activity of anionic polymers: A comparative study of candidate microbicides. BMC Infect. Dis. 2002, 2, 1–11. [Google Scholar] [CrossRef]
- Rusconi, S.; Moonis, M.; Merrill, D.P.; Pallai, P.V.; Neidhardt, E.A.; Singh, S.K.; Willis, K.J.; Osburne, M.S.; Profy, A.T.; Jenson, J.C.; et al. Naphthalene sulfonate polymers with CD4-blocking and anti-human immunodeficiency virus type 1 activities. Antimicrob. Agents Chemother. 1996, 40, 234–236. [Google Scholar] [CrossRef]
- Sun, Q.L.; Li, Y.; Ni, L.Q.; Li, Y.X.; Cui, Y.S.; Jiang, S.L.; Xie, E.Y.; Du, J.; Deng, F.; Dong, C.X. Structural characterization and antiviral activity of two fucoidans from the brown algae Sargassum henslowianum. Carbohydr. Polym. 2020, 229. [Google Scholar] [CrossRef]
- Sano, Y. Antiviral activity of polysaccharides against infection of tobacco mosaic virus. Macromol. Symp. 1995, 99, 239–242. [Google Scholar] [CrossRef]
- Sano, Y. Antiviral activity of chondroitin sulfate against infection by tobacco mosaic virus. Carbohydr. Polym. 1997, 33, 125–129. [Google Scholar] [CrossRef]
- Weiyue, S.; Ying, L.; Kanamoto, T.; Asai, D.; Takemura, H. Elucidation of anti-HIV mechanism of sulfated cellobiose – polylysine dendrimers. Carbohydr. Res. 2020, 495. [Google Scholar] [CrossRef] [PubMed]
- Mohan, P.; Schols, D.; Baba, M.; De Clercq, E. Sulfonic acid polymers as a new class of human immunodeficiency virus inhibitors. Antiviral Res. 1992, 18, 139–150. [Google Scholar] [CrossRef]
- Came, P.E.; Lieberman, M.; Pascale, A.; Shimonas, G. Antiviral Activity of an Interferon-Inducing Synthetic Polymer. Exp. Biol. Med. 1969, 131, 443–446. [Google Scholar] [CrossRef] [PubMed]
- Taylor, D.L.; Brennan, T.M.; Bridges, C.G.; Mullins, M.J.; Tyms, A.S.; Jackson, R.; Cardin, A.D. Potent inhibition of human immunodeficiency virus by MDL 101028, a novel sulphonic acid polymer. Antiviral Res. 1995, 28, 159–173. [Google Scholar] [CrossRef]
- Vachon, D.J.; Nordali, S.F.; Walter, D.C. Antimicrobial And Biological Active Polymer Composites And Related Methods, Materials and Devices. U.S. Patent 15/509,834, 26 October 2017. [Google Scholar]
- MARCHETTI, M.; PISANI, S.; PIETROPAOLO, V.; SEGANTI, L.; NICOLETTI, R.; ORSI, N. Inhibition of Herpes Simplex Virus Infection by Negatively Charged and Neutral Carbohydrate Polymers. J. Chemother. 1995, 7, 90–96. [Google Scholar] [CrossRef]
- Michael, S. Tempesta Proanthocyanidin polymers having antiviral activity and methods of obtaining same. U.S. Patent 5,211,944, 18 May 1993. [Google Scholar]
- Wyde, P.R.; Ambrose, M.W.; Meyerson, L.R.; Gilbert, B.E. The antiviral activity of SP-303, a natural polyphenolic polymer, against respiratory syncytial and parainfluenza type 3 viruses in cotton rats. Antiviral Res. 1993, 20, 145–154. [Google Scholar] [CrossRef]
- Catel-Ferreira, M.; Tnani, H.; Hellio, C.; Cosette, P.; Lebrun, L. Antiviral effects of polyphenols: Development of bio-based cleaning wipes and filters. J. Virol. Methods 2015, 212, 1–7. [Google Scholar] [CrossRef]
- Nazarova, O.V.; Anan’eva, E.P.; Zarubaev, V.V.; Sinegubova, E.O.; Zolotova, Y.I.; Bezrukova, M.A.; Panarin, E.F. Synthesis and Antibacterial and Antiviral Properties of Silver Nanocomposites Based on Water-Soluble 2-Dialkylaminoethyl Methacrylate Copolymers. Pharm. Chem. J. 2020, 1–5. [Google Scholar] [CrossRef]
- Si, Y.; Zhang, Z.; Wu, W.; Fu, Q.; Huang, K.; Nitin, N.; Ding, B.; Sun, G. Daylight-driven rechargeable antibacterial and antiviral nanofibrous membranes for bioprotective applications. Sci. Adv. 2018, 4. [Google Scholar] [CrossRef]
- Yoon, J.S.; Kim, G.; Jarhad, D.B.; Kim, H.R.; Shin, Y.S.; Qu, S.; Sahu, P.K.; Kim, H.O.; Lee, H.W.; Wang, S.B.; et al. Design, Synthesis, and Anti-RNA Virus Activity of 6′-Fluorinated-Aristeromycin Analogues. J. Med. Chem. 2019, 62, 6346–6362. [Google Scholar] [CrossRef] [PubMed]
- Sankarakumar, N.; Tong, Y.W. Preventing viral infections with polymeric virus catchers: A novel nanotechnological approach to anti-viral therapy. J. Mater. Chem. B 2013, 1, 2031–2037. [Google Scholar] [CrossRef] [PubMed]
- Terpstra, F.G.; Rechtman, D.J.; Lee, M.L.; Van Hoeij, K.; Berg, H.; Van Engelenberg, F.A.C.; Van’t Wout, A.B. Antimicrobial and antiviral effect of high-temperature short-time (HTST) pasteurization apllied to human milk. Breastfeed. Med. 2007, 2, 27–33. [Google Scholar] [CrossRef] [PubMed]
- Scholtissek, C.; Rott, R. Effect of temperature on the multiplication of an Influenza virus. J. Gen. Virol. 1969, 5, 283–290. [Google Scholar] [CrossRef]
- Tu, K.C.; Spendlove, R.S.; Goede, R.W. Effect of temperature on survival and growth of infectious pancreatic necrosis virus. Infect. Immun. 1975, 11, 1409–1412. [Google Scholar] [CrossRef]
- Molla, A.; Paul, A.V.; Wimmer, E. Effects of temperature and lipophilic agents on poliovirus formation and RNA synthesis in a cell-free system. J. Virol. 1993, 67, 5932–5938. [Google Scholar] [CrossRef]
- Yamaya, M.; Nishimura, H.; Lusamba Kalonji, N.; Deng, X.; Momma, H.; Shimotai, Y.; Nagatomi, R. Effects of high temperature on pandemic and seasonal human influenza viral replication and infection-induced damage in primary human tracheal epithelial cell cultures. Heliyon 2019, 5, e01149. [Google Scholar] [CrossRef]
- Reed, D.K. Effects of temperature on virus-host relationships and on activity of the noninclusion virus of citrus red mites, Panonychus citri. J. Invertebr. Pathol. 1974, 24, 218–223. [Google Scholar] [CrossRef]
- Chan, K.H.; Peiris, J.S.M.; Lam, S.Y.; Poon, L.L.M.; Yuen, K.Y.; Seto, W.H. The effects of temperature and relative humidity on the viability of the SARS coronavirus. Adv. Virol. 2011, 2011. [Google Scholar] [CrossRef]
- HARRISON, B.D. Studies on the Effect of Temperature on Virus Multiplication in Inoculated Leaves. Ann. Appl. Biol. 1956, 44, 215–226. [Google Scholar] [CrossRef]
- Memarzadeh, F. Literature Review of The Effect of Salinity on the Larger Marine Algae. Ashrae 2014, 117, 1–43. [Google Scholar]
- Castro-Mayorga, J.L.; Randazzo, W.; Fabra, M.J.; Lagaron, J.M.; Aznar, R.; Sánchez, G. Antiviral properties of silver nanoparticles against norovirus surrogates and their efficacy in coated polyhydroxyalkanoates systems. LWT Food Sci. Technol. 2017, 79, 503–510. [Google Scholar] [CrossRef]
- Cababie, L.A.; Incicco, J.J.; González-Lebrero, R.M.; Roman, E.A.; Gebhard, L.G.; Gamarnik, A.V.; Kaufman, S.B. Thermodynamic study of the effect of ions on the interaction between dengue virus NS3 helicase and single stranded RNA. Sci. Rep. 2019, 9, 1–15. [Google Scholar] [CrossRef]
- Vollenbroich, D.; Özel, M.; Vater, J.; Kamp, R.M.; Pauli, G. Mechanism of inactivation of enveloped viruses by the biosurfactant surfactin from Bacillus subtilis. Biologicals 1997, 25, 289–297. [Google Scholar] [CrossRef] [PubMed]
- Tsang, S.K.; Danthi, P.; Chow, M.; Hogle, J.M. Stabilization of poliovirus by capsid-binding antiviral drugs is due to entropic effects. J. Mol. Biol. 2000, 296, 335–340. [Google Scholar] [CrossRef] [PubMed]
- Vilhelmova-Ilieva, N.; Galabov, A.S.; Mileva, M. Abstract Tannins as Antiviral Agents. In Tannins—Structural Properties, Biological Properties and Current Knowledge; Aires, A., Ed.; InTech: London, UK, 2020. [Google Scholar]

















| Structure | Dispersity | Degree of Sulphation [%] | N(sugars) | Name |
|---|---|---|---|---|
![]() | 2 | n.d | 40 | PG1 |
| See PG1 | 1.08 | 97.6 | 46 | PG2 |
![]() | 1.25 | n.d | 86 | PM |
![]() | n.a | 85/43 | 30–34 | Heparin |
![]() | n.a | 25-34 | n.a | Carageenan |
![]() | n.a | 95–98.5 | 2 | O1 |
![]() | n.a | 98.7 | 6 | O2 |
| n.a | 0 | 6 | O2–OH | |
![]() | n.a | 89.9 | 8 | O3 |
| n.a | 85.2 | 10 | O4 |
© 2020 by the authors. Licensee MDPI, Basel, Switzerland. This article is an open access article distributed under the terms and conditions of the Creative Commons Attribution (CC BY) license (http://creativecommons.org/licenses/by/4.0/).
Share and Cite
Jarach, N.; Dodiuk, H.; Kenig, S. Polymers in the Medical Antiviral Front-Line. Polymers 2020, 12, 1727. https://doi.org/10.3390/polym12081727
Jarach N, Dodiuk H, Kenig S. Polymers in the Medical Antiviral Front-Line. Polymers. 2020; 12(8):1727. https://doi.org/10.3390/polym12081727
Chicago/Turabian StyleJarach, Natanel, Hanna Dodiuk, and Samuel Kenig. 2020. "Polymers in the Medical Antiviral Front-Line" Polymers 12, no. 8: 1727. https://doi.org/10.3390/polym12081727
APA StyleJarach, N., Dodiuk, H., & Kenig, S. (2020). Polymers in the Medical Antiviral Front-Line. Polymers, 12(8), 1727. https://doi.org/10.3390/polym12081727








