Temperature-Frequency–Dependent Viscoelastic Properties of Neat Epoxy and Fiber Reinforced Polymer Composites: Experimental Characterization and Theoretical Predictions
Abstract
1. Introduction
2. Materials and Methods
2.1. Materials
2.2. Experimental Details
2.2.1. Static Mechanical and Impact Studies
2.2.2. Scanning Electron Microscopy (SEM) Studies
2.2.3. Dynamic Mechanical Analysis
3. Theoretical Modeling
3.1. Viscoelastic Properties:
3.1.1. Modeling Approaches for Predicting the Storage and Loss Moduli
3.1.2. Interfacial Damping and Strength Indicator
4. Results and Discussions
4.1. Mechanical Properties
4.2. Dynamic Mechanical Analysis
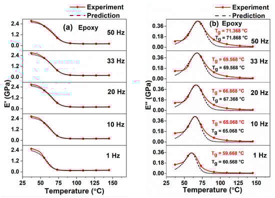
4.2.1. The Effect of Frequency on Storage Modulus (E’)
4.2.2. Experimental and Predicted Loss Tangent and Corresponding Tg
4.2.3. The Effect of Frequency on Tg
4.2.4. The Effect of Frequency on Strength Indicator and Interfacial Damping
5. Conclusions
Author Contributions
Funding
Acknowledgments
Conflicts of Interest
Nomenclature
| E’ | Storage modulus |
| Glassy storage modulus | |
| Rubbery storage modulus | |
| E” | Loss modulus |
| tan δ | Loss tangent |
| tan δi | Interfacial damping |
| T | Temperature |
| Tg | Glass transition temperature |
| Degree of glass transition | |
| f | Frequency |
| R | Gas constant |
| Ea | Activation energy |
| k | Boltzmann constant |
| m | Frequency sensitivity coefficient |
| σi | Strength Indicator |
| L(f) | Intrinsic growth rate of the glass transition region |
| S(f) | Symmetry of the glass transition region |
| Vf | Fiber volume fraction |
References
- Kucher, N.K.; Samusenko, A.A. Assessment of Elasticity Characteristics and Strength Parameters of Unidirectional Polymer Composites at High Temperatures. Strength Mater. 2017, 49, 453–463. [Google Scholar] [CrossRef]
- Dudziak, J.; Guła, P.; Gawlik, A.; Kondracki, J. Design and manufacture of nacelles for small turboprop aircraft, Proceedings of the Institution of Mechanical Engineers. Part G J. Aerosp. Eng. 2017, 231, 2239–2247. [Google Scholar] [CrossRef]
- Naresh, K.; Shankar, K.; Rao, B.S.; Velmurugan, R. Effect of high strain rate on glass/carbon/hybrid fiber reinforced epoxy laminated composites. Compos. Part B Eng. 2016, 100, 125–135. [Google Scholar] [CrossRef]
- Naresh, K.; Shankar, K.; Velmurugan, R. Reliability analysis of tensile strengths using Weibull distribution in glass/epoxy and carbon/epoxy composites. Compos. Part B Eng. 2018, 133, 129–144. [Google Scholar] [CrossRef]
- Udatha, P.; Sekhar, A.S.; Velmurugan, R. The effect of CNT to enhance the dynamic properties of hybrid composite tube shafts. Mech. Adv. Mater. Structures 2019, 26, 88–92. [Google Scholar] [CrossRef]
- Ma, X.; Liu, H.; Bian, K.; Lu, J.; Yang, Q.; Xiong, K. A numerical and experimental study on the multiple fracture progression of CFRP T-joints under pull-off load. Int. J. Mech. Sci. 2020, 177, 105541. [Google Scholar] [CrossRef]
- Chronopoulos, D.; Ichchou, M.; Troclet, B.; Bareille, O. Thermal effects on the sound transmission through aerospace composite structures. Aerosp. Sci. Technol. 2013, 30, 192–199. [Google Scholar] [CrossRef]
- Zadorozhnyy, V.; Churyukanova, M.; Stepashkin, A.; Zadorozhnyy, M.; Sharma, A.; Moskovskikh, D.; Wang, J.; Shabanova, E.; Ketov, S.; Louzguine-Luzgin, D.; et al. Structure and Thermal Properties of an Al-Based Metallic Glass-Polymer Composite. Metals 2018, 8, 1037. [Google Scholar] [CrossRef]
- Grigoriou, K.; Mouritz, A.P. Comparative assessment of the fire structural performance of carbon-epoxy composite and aluminium alloy used in aerospace structures. Mater. Des. 2016, 108, 699–706. [Google Scholar] [CrossRef]
- Grigoriou, K.; Mouritz, A.P. Influence of ply stacking pattern on the structural properties of quasi-isotropic carbon-epoxy laminates in fire. Compos. Part A Appl. Sci. Manuf. 2017, 99, 113–120. [Google Scholar] [CrossRef]
- Mouritz, A.G.G.A.P. Fire properties of polymer composite materials. In Solid Mechanics and Its Applications; Springer: Berlin, Germany, 2006; Volume 143, p. 401. [Google Scholar]
- Nagasankar, P.; Velmurugan, R. The effect of the strand diameter on the damping characteristics of fiber reinforced polymer matrix composites: Theoretical and experimental study. Int. J. Mech. Sci. 2014, 89, 279–288. [Google Scholar]
- Naresh, K.; Shankar, K.; Velmurugan, R. Digital image processing and thermo-mechanical response of neat epoxy and different laminate orientations of fiber reinforced polymer composites for vibration isolation applications. Int. J. Polym. Anal. Charact. 2018, 23, 684–709. [Google Scholar] [CrossRef]
- Benoit, V.; Alexis, C.; Clément, K.; M.-Rose, G.; Quentin, V.; Eric, D. Correlation between post fire behavior and microstructure degradation of aeronautical polymer composites. Mater. Des. 2015, 74, 76–85. [Google Scholar] [CrossRef]
- Khan, L.A.; Kausar, A.; Day, R.J. Aerospace composite cured by quickstep and autoclave processing techniques: Evaluation and comparison of reaction progress. Aerosp. Sci. Technol. 2017, 65, 100–105. [Google Scholar] [CrossRef]
- Ban, G.; Jia, J.; Liang, Y. Cyclic compressive deformation behavior of polymer matrix composites: Experiments and constitutive modeling. Polym. Compos. 2020, 41, 2508–2517. [Google Scholar] [CrossRef]
- Fuller, J.D.; Jalalvand, M.; Wisnom, M.R. Combining fibre rotation and fragmentation to achieve pseudo-ductile CFRP laminates. Compos. Struct. 2016, 142, 155–166. [Google Scholar] [CrossRef]
- Din, I.U.; Hao, P.; Franz, G.; Panier, S. Elastoplastic CDM model based on Puck’s theory for the prediction of mechanical behavior of Fiber Reinforced Polymer (FRP) composites. Compos. Struct 2018, 201, 291–302. [Google Scholar] [CrossRef]
- Camanho, P.P.; Dávila, C.G.; Pinho, S.T.; Iannucci, L.; Robinson, P. Prediction of in situ strengths and matrix cracking in composites under transverse tension and in-plane shear. Compos. Part A Appl. Sci. Manuf. 2006, 37, 165–176. [Google Scholar] [CrossRef]
- Rivers, K.; Sikora, J.; Sankaran, S. Detection of micro-leaks through complex geometries under mechanical load and at cryogenic temperature. In Proceedings of the 42nd AIAA/ASME/ASCE/AHS/ASC Structures, Structural Dynamics and Materials Conference, Seattle, WA, USA, 16–19 April 2001; pp. 16–19. [Google Scholar]
- Naresh, K.; Shankar, K.; Velmurugan, R. Experimental and theoretical investigation of a unidirectional glass/epoxy composites under tensile and impact loading. Mater. Today Proc. 2018, 5, 25174–25184. [Google Scholar] [CrossRef]
- Xu, X.; Wisnom, M.R.; Chang, K.; Hallett, S.R. Unification of strength scaling between unidirectional, quasi-isotropic, and notched carbon/epoxy laminates. Compos. Part A Appl. Sci. Manuf. 2016, 90, 296–305. [Google Scholar] [CrossRef]
- Fotouhi, M.; Jalalvand, M.; Wisnom, M.R. High performance quasi-isotropic thin-ply carbon/glass hybrid composites with pseudo-ductile behaviour in all fibre orientations. Compos. Sci. Technol. 2017, 152, 101–110. [Google Scholar] [CrossRef]
- Yuan, Y.; Wang, S.; Yang, H.; Yao, X.; Liu, B. Analysis of pseudo-ductility in thin-ply carbon fiber angle-ply laminates. Compos. Struct. 2017, 180, 876–882. [Google Scholar] [CrossRef]
- Hong, S.W.; Ahn, S.S.; Li, H.; Kim, J.K.; Ko, S.J.; Koo, J.M.; Seok, C.S. Charpy impact fracture characteristics of CFRP composite materials according to variations of fiber array direction and temperature. Int. J. Precis. Eng. Manuf. 2013, 14, 253–258. [Google Scholar] [CrossRef]
- Morioka, Y.T.K. Effects of lay-up sequences on mechanical properties and fracture behavior of CFRP laminate composites. Mater. Charact. 2000, 45, 125–136. [Google Scholar] [CrossRef]
- Chajec, W. Comparison of flutter calculation methods based on ground vibration test result. Aircr. Eng. Aerosp. Technol. 2019, 91, 466–476. [Google Scholar] [CrossRef]
- Akay, M. Aspects of dynamic mechanical analysis in polymeric composites. Compos. Sci. Technol. 1993, 47, 419–423. [Google Scholar] [CrossRef]
- Rangaraj, J.P.S.; Gopal, S.; Kannan, K.; Ramesh, P. Dynamic Mechanical Properties and Glass Transition Temperature Analysis of Kevlar-Glass Fiber Epoxy Hybrid Composites. GRDJE 2017, 2, 12–16. [Google Scholar]
- Jawaid, M.; Khalil, H.P.S.A.; Alattas, O.S. Woven hybrid biocomposites: Dynamic mechanical and thermal properties. Compos. Part A Appl. Sci. Manuf. 2012, 43, 288–293. [Google Scholar] [CrossRef]
- Baqasah, H.; He, F.; Zai, B.A.; Asif, M.; Khan, K.A.; Thakur, V.K.; Khan, M.A. In-Situ Dynamic Response Measurement for Damage Quantification of 3D Printed ABS Cantilever Beam under Thermomechanical Load. Polymers 2019, 11, 2079. [Google Scholar] [CrossRef]
- Dong, S.; Gauvin, R. Application of Dynamic Mechanical Analysis for the Study of the Interfacial Region in Carbon Fiber-Epoxy Composite Materials. Polym. Compos. 1993, 14, 414–420. [Google Scholar] [CrossRef]
- Rueppel, M.; Rion, J.; Dransfeld, C.; Fischer, C.; Masania, K. Damping of carbon fibre and flax fibre angle-ply composite laminates. Compos. Sci. Technol. 2017, 146, 1–9. [Google Scholar] [CrossRef]
- Guo, Z.-S.; Feng, J.; Wang, H.; Hu, H.; Zhang, J. A new temperature-dependent modulus model of glass/epoxy composite at elevated temperatures. J. Compos. Mater. 2012, 47, 3303–3310. [Google Scholar] [CrossRef]
- Feng, J.; Guo, Z. Effects of temperature and frequency on dynamic mechanical properties of glass/epoxy composites. J. Mater. Sci. 2015, 51, 2747–2758. [Google Scholar] [CrossRef]
- Feng, J.; Guo, Z. Temperature-frequency-dependent mechanical properties model of epoxy resin and its composites. Compos. Part B Eng. 2016, 85, 161–169. [Google Scholar] [CrossRef]
- Bergant, Z.; Savin, A.; Grum, J. Effects of manufacturing technology on static, multi-frequency dynamic mechanical analysis and fracture energy of cross-ply and quasi-isotropic carbon/epoxy laminates. Polym. Polym. Compos. 2018, 26, 358–370. [Google Scholar] [CrossRef]
- Bai, Y.; Keller, T.; Vallée, T. Modeling of stiffness of FRP composites under elevated and high temperatures. Compos. Sci. Technol. 2008, 68, 3099–3106. [Google Scholar] [CrossRef]
- Xu, X.; Gupta, N. Application of radial basis neural network to transform viscoelastic to elastic properties for materials with multiple thermal transitions. J. Mater. Sci. 2019, 54, 8401–8413. [Google Scholar] [CrossRef]
- Harding, J.; Welsh, L.M. A tensile testing technique for fiber-reinforced composites at impact rates of strain. J. Mater. Sci. 1983, 18, 1810–1826. [Google Scholar] [CrossRef]
- Naresh, K.; Krishnapillai, S.; Ramachandran, V. Comparative Study of a Neat Epoxy and Unidirectional Carbon/Epoxy Composites under Tensile and Impact Loading. Solid State Phenom. 2017, 267, 87–92. [Google Scholar] [CrossRef]
- Naresh, K.; Krishnapillai, S.; Velmurugan, R. Effect of Fiber Orientation on Carbon/Epoxy and Glass/Epoxy Composites Subjected to Shear and Bending. Solid State Phenom. 2017, 267, 103–108. [Google Scholar] [CrossRef]
- Rhead, A.T.; Hua, S.; Butler, R. Damage resistance and damage tolerance of hybrid carbon-glass laminates. Compos. Part A Appl. Sci. Manuf. 2015, 76, 224–232. [Google Scholar] [CrossRef]
- Zarei, M.; Rahimi, G.H.; Hemmatnezhad, M. Free vibrational characteristics of grid-stiffened truncated composite conical shells. Aerosp. Sci. Technol. 2020, 99, 105717. [Google Scholar] [CrossRef]
- Ghiringhelli, G.L.; Terraneo, M. Analytically driven experimental characterisation of damping in viscoelastic materials. Aerosp. Sci. Technol. 2015, 40, 75–85. [Google Scholar] [CrossRef]
- Khan, K.A.; Umer, R. Modeling the viscoelastic compaction response of 3D woven fabrics for liquid composite molding processes. J. Reinf. Plast. Compos. 2017, 36, 1299–1315. [Google Scholar] [CrossRef]
- Tadini, P.; Grange, N.; Chetehouna, K.; Gascoin, N.; Senave, S.; Reynaud, I. Thermal degradation analysis of innovative PEKK-based carbon composites for high-temperature aeronautical components. Aerosp. Sci. Technol. 2017, 65, 106–116. [Google Scholar] [CrossRef]
- Goertzen, W.K.; Kessler, M.R. Dynamic mechanical analysis of carbon/epoxy composites for structural pipeline repair. Compos. Part B Eng. 2007, 38, 1–9. [Google Scholar] [CrossRef]
- Vasudevan, A.; Kumaran, S.S.; Naresh, K.; Velmurugan, R. Experimental and analytical investigation of thermo-mechanical responses of pure epoxy and carbon/Kevlar/S-glass/E-glass/epoxy interply hybrid laminated composites for aerospace applications. Int. J. Polym. Anal. Charact. 2018, 23, 591–605. [Google Scholar] [CrossRef]
- Drozdov, A.D. Viscoelastoplasticity of amorphous glassy polymers. Eur. Polym. J. 2000, 36, 2063–2074. [Google Scholar] [CrossRef]
- Mahieux, K.L.R.C.A. Property modeling across transition temperatures in polymers: A robust stiffness—Temperature model. Polymer 2001, 42, 3281–3291. [Google Scholar] [CrossRef]
- Reifsnider, C.A.M.L. Property modeling across transition temperatures in polymers: Application to thermoplastic systems. J. Mater. Sci. 2002, 37, 911–920. [Google Scholar]
- Richeton, J.; Schlatter, G.; Vecchio, K.S.; Rémond, Y.; Ahzi, S. A unified model for stiffness modulus of amorphous polymers across transition temperatures and strain rates. Polymer 2005, 46, 8194–8201. [Google Scholar] [CrossRef]
- Kopala, D.B.I.; Koštial, P.; Jančíkovád, Z.; Valíček, J.; Harničárová, M. Weibull distribution application on temperature dependence of polyurethane storage modulus. Int. J. Mater. Res. (Former. Z. Met.) 2016, 107, 472–476. [Google Scholar] [CrossRef]
- Wang, K.; Ahzi, S.; Boumbimba, R.M.; Bahlouli, N.; Addiego, F.; Rémond, Y. Micromechanical modeling of the elastic behavior of polypropylene based organoclay nanocomposites under a wide range of temperatures and strain rates/frequencies. Mech. Mater. 2013, 64, 56–68. [Google Scholar] [CrossRef]
- Gu, P.; Asaro, R.J. Structural buckling of polymer matrix composites due to reduced stiffness from fire damage. Compos. Struct. 2005, 69, 65–75. [Google Scholar] [CrossRef]
- Guth, E. Theory of Filler Reinforcement. J. Appl. Phys. 1945, 16, 20–25. [Google Scholar] [CrossRef]
- Khatibi, A.; Mai, Y.-W. Characterisation of fibre-matrix interfacial degradation under cyclic fatigue loading using dynamic mechanical analysis. Compos. Part A 2002, 33, 1585–1592. [Google Scholar] [CrossRef]
- Vimalanathan, P.; Venkateshwaran, N.; Srinivasan, S.P.; Santhanam, V.; Rajesh, M. Impact of surface adaptation and Acacia nilotica biofiller on static and dynamic properties of sisal fiber composite. Int. J. Polym. Anal. Charact. 2017, 23, 99–112. [Google Scholar] [CrossRef]
- Coban, O.; Bora, M.O.; Sinmazcelik, T.; Gunay, V. Effect of fiber orientation on viscoelastic properties of polymer matrix composites subjected to thermal cycles. Polym. Compos. 2009, 31, 411–416. [Google Scholar] [CrossRef]


















| Material | Frequency (Hz) | Parameters | Initial Storage Modulus (GPa) (Experiment) | Initial Storage Modulus (GPa) (Prediction) | %error | Flexural Modulus (GPa) | |
|---|---|---|---|---|---|---|---|
| L(f) | S(f) | ||||||
| Epoxy | 1 | 0.0875 | 2.941 | 2.572 | 2.350 | 9.447 | |
| 10 | 0.087 | 2.530 | 2.652 | 2.503 | 5.953 | ||
| 20 | 0.085 | 2.278 | 2.673 | 2.518 | 6.156 | 2.85 ± 0.07 | |
| 33 | 0.0843 | 2.124 | 2.692 | 2.527 | 6.529 | ||
| 50 | 0.0839 | 2.118 | 2.715 | 2.580 | 5.233 | ||
| Avg | 2.660 ± 0.054 | 2.4956 ± 0.086 | |||||
| TYPE I | 1 | 0.150 | 1.250 | 24.052 | 23.797 | 1.072 | 26.25 ± 0.6 |
| 10 | 0.109 | 1.119 | 23.935 | 23.535 | 1.699 | ||
| 20 | 0.105 | 1.110 | 23.917 | 23.543 | 1.589 | ||
| 33 | 0.102 | 1.109 | 23.915 | 23.540 | 1.593 | ||
| 50 | 0.099 | 1.090 | 23.934 | 23.638 | 1.252 | ||
| Avg | 23.950 ± 0.057 | 23.610 ± 0.112 | |||||
| TYPE II | 1 | 0.172 | 1.560 | 7.950 | 7.907 | 0.543 | 8.11 ± 0.57 |
| 10 | 0.134 | 1.525 | 8.043 | 7.349 | 9.443 | ||
| 20 | 0.129 | 1.514 | 8.082 | 7.379 | 9.527 | ||
| 33 | 0.115 | 1.510 | 8.132 | 7.413 | 9.700 | ||
| 50 | 0.095 | 1.50 | 8.177 | 7.429 | 10.00 | ||
| Avg | 8.076 ± 0.087 | 7.495 ± 0.232 | |||||
| TYPE III | 1 | 0.110 | 2.490 | 4.737 | 4.256 | 11.301 | 4.45 ± 0.63 |
| 10 | 0.096 | 2.440 | 4.904 | 4.367 | 12.297 | ||
| 20 | 0.0955 | 2.438 | 4.964 | 4.413 | 12.486 | ||
| 33 | 0.095 | 2.437 | 5.012 | 4.453 | 12.553 | ||
| 50 | 0.094 | 2.436 | 5.058 | 4.488 | 12.700 | ||
| Avg | 4.935 ± 0.124 | 4.395 ± 0.1 | |||||
| TYPE IV | 1 | 0.094 | 2.497 | 9.269 | 8.868 | 4.522 | 7.67 ± 0.29 |
| 10 | 0.093 | 2.482 | 9.283 | 8.894 | 4.374 | ||
| 20 | 0.0929 | 2.441 | 9.284 | 8.915 | 4.139 | ||
| 33 | 0.0927 | 2.432 | 9.296 | 8.931 | 4.087 | ||
| 50 | 0.0925 | 2.430 | 9.305 | 8.956 | 3.897 | ||
| Avg | 9.287 ± 0.013 | 8.913 ± 0.033 | |||||
| TYPE V | 1 | 0.159 | 2.75 | 16.117 | 15.937 | 1.129 | 14.31 ± 1.84 |
| 10 | 0.125 | 1.579 | 16.258 | 15.942 | 1.982 | ||
| 20 | 0.120 | 1.550 | 16.348 | 15.984 | 2.278 | ||
| 33 | 0.110 | 1.499 | 16.458 | 15.922 | 3.366 | ||
| 50 | 0.109 | 1.497 | 16.223 | 16.036 | 1.166 | ||
| Avg | 16.281 ± 0.129 | 15.964 ± 0.046 | |||||
| Material | Frequency (Hz) | Parameters | Initial Storage Modulus (GPa) (Experiment) | Initial Storage Modulus (GPa) (Prediction) | %error | Flexural Modulus (GPa) | |
|---|---|---|---|---|---|---|---|
| L(f) | S(f) | ||||||
| TYPE I | 1 | 0.165 | 2.461 | 62.332 | 61.801 | 0.859 | 73.75 ± 1.9 |
| 10 | 0.101 | 2.214 | 62.500 | 62.001 | 0.805 | ||
| 20 | 0.099 | 1.975 | 62.413 | 62.097 | 0.509 | ||
| 33 | 0.098 | 1.953 | 62.232 | 61.741 | 0.795 | ||
| 50 | 0.097 | 1.939 | 62.948 | 61.187 | 2.878 | ||
| Avg | 62.485 ± 0.277 | 61.765 ± 0.354 | |||||
| TYPE II | 1 | 0.099 | 2.65 | 9.277 | 8.671 | 6.989 | 10.5 ± 0.7 |
| 10 | 0.092 | 2.567 | 9.314 | 8.748 | 6.470 | ||
| 20 | 0.087 | 2.548 | 9.331 | 8.830 | 5.674 | ||
| 33 | 0.086 | 2.298 | 9.346 | 8.925 | 4.717 | ||
| 50 | 0.085 | 2.15 | 9.380 | 8.979 | 4.466 | ||
| Avg | 9.330 ± 0.038 | 8.831 ± 0.126 | |||||
| TYPE III | 1 | 0.105 | 3.557 | 5.837 | 5.377 | 8.555 | 6 ± 0.77 |
| 10 | 0.073 | 3.154 | 5.972 | 5.784 | 3.250 | ||
| 20 | 0.059 | 3.125 | 6.006 | 5.722 | 4.963 | ||
| 33 | 0.055 | 2.990 | 6.059 | 5.760 | 5.191 | ||
| 50 | 0.050 | 2.550 | 6.095 | 5.411 | 12.641 | ||
| Avg | 5.994 ± 0.099 | 5.611 ± 0.199 | |||||
| TYPE IV | 1 | 0.075 | 2.870 | 11.234 | 10.396 | 8.061 | 9.5 ± 0.86 |
| 10 | 0.074 | 2.849 | 11.233 | 10.441 | 7.5851 | ||
| 20 | 0.072 | 2.829 | 11.237 | 10.447 | 7.562 | ||
| 33 | 0.0719 | 2.480 | 11.230 | 10.457 | 7.392 | ||
| 50 | 0.071 | 2.469 | 11.272 | 10.501 | 7.342 | ||
| Avg | 11.241 ± 0.017 | 10.448 ± 0.037 | |||||
| TYPE V | 1 | 0.130 | 2.799 | 40.233 | 37.324 | 7.794 | 38.53 ± 1.17 |
| 10 | 0.106 | 1.679 | 40.533 | 39.902 | 1.581 | ||
| 20 | 0.105 | 1.667 | 40.658 | 39.958 | 1.752 | ||
| 33 | 0.104 | 1.658 | 40.627 | 40.434 | 0.477 | ||
| 50 | 0.094 | 1.598 | 40.827 | 40.401 | 1.054 | ||
| Avg | 40.576 ± 0.219 | 39.604 ± 1.298 | |||||
| Material | Frequency (Hz) | Tg ((E”)max)(°C) (Experiment) | (Ea)(E”)max (kJ/mol) | Tg ((tan δ)max)(°C) (Experiment) | (Ea)(tan δ)max (kJ/mol) |
|---|---|---|---|---|---|
| Epoxy | 1 | 59.668 | 319.598 | 68.668 | 294.332 |
| 10 | 65.068 | 75.868 | |||
| 20 | 66.868 | 78.568 | |||
| 33 | 69.568 | 80.368 | |||
| 50 | 71.368 | 82.168 | |||
| TYPE I | 1 | 79.987 | 356.346 | 85.027 | 314.310 |
| 10 | 85.027 | 92.227 | |||
| 20 | 87.907 | 95.107 | |||
| 33 | 90.067 | 97.267 | |||
| 50 | 91.507 | 98.707 | |||
| TYPE II | 1 | 76.241 | 567.713 | 85.241 | |
| 10 | 80.741 | 92.441 | |||
| 20 | 81.641 | 95.141 | 335.445 | ||
| 33 | 82.541 | 96.941 | |||
| 50 | 83.441 | 97.841 | |||
| TYPE III | 1 | 75.555 | 521.271 | 82.555 | |
| 10 | 78.555 | 88.555 | |||
| 20 | 79.055 | 92.055 | 328.577 | ||
| 33 | 81.555 | 94.055 | |||
| 50 | 83.055 | 95.055 | |||
| TYPE IV | 1 | 78.646 | 89.386 | ||
| 10 | 81.380 | 95.484 | |||
| 20 | 82.285 | 634.865 | 98.025 | 344.207 | |
| 33 | 84.085 | 100.541 | |||
| 50 | 84.977 | 102.202 | |||
| TYPE V | 1 | 80.417 | 417.196 | 84.107 | |
| 10 | 84.107 | 92.245 | |||
| 20 | 86.508 | 94.453 | 313.861 | ||
| 33 | 88.845 | 96.601 | |||
| 50 | 89.995 | 97.659 |
| Material | Frequency (Hz) | Tg ((E”)max) (°C) (Experiment) | (Ea)(E”)max (kJ/mol) | Tg ((tan δ)max) (°C) (Experiment) | (Ea)(tan δ)max (kJ/mol) |
|---|---|---|---|---|---|
| TYPE I | 1 | 78.985 | 458.691 | 82.985 | 370.870 |
| 10 | 82.485 | 88.985 | |||
| 20 | 84.985 | 91.485 | |||
| 33 | 85.985 | 92.985 | |||
| 50 | 87.985 | 94.485 | |||
| TYPE II | 1 | 75.724 | 492.380 | 86.403 | 303.369 |
| 10 | 80.543 | 93.003 | |||
| 20 | 81.737 | 97.148 | |||
| 33 | 82.920 | 99.166 | |||
| 50 | 84.093 | 100.160 | |||
| TYPE III | 1 | 75.421 | 83.215 | 291.937 | |
| 10 | 79.337 | 89.722 | |||
| 20 | 81.290 | 452.713 | 92.426 | ||
| 33 | 83.216 | 95.963 | |||
| 50 | 84.165 | 97.702 | |||
| TYPE IV | 1 | 86.774 | 676.784 | 96.774 | 371.935 |
| 10 | 88.774 | 103.774 | |||
| 20 | 90.774 | 106.774 | |||
| 33 | 91.774 | 107.774 | |||
| 50 | 92.774 | 108.774 | |||
| TYPE V | 1 | 81.221 | 83.396 | 312.706 | |
| 10 | 83.396 | 88.671 | |||
| 20 | 85.533 | 641.134 | 90.714 | ||
| 33 | 85.535 | 92.717 | |||
| 50 | 87.634 | 94.676 |
| Frequency (Hz) | GFRP Laminate Type | Fiber Volume Fraction | CFRP Laminate Type | Fiber Volume Fraction | ||||
|---|---|---|---|---|---|---|---|---|
| 1 10 20 33 50 | Type I | 0.487 | 0.971 | 0.286 | Type I | 0.449 | 0.681 | 0.411 |
| 0.859 | 0.314 | 0.548 | 0.441 | |||||
| 0.843 | 0.311 | 0.528 | 0.435 | |||||
| 0.817 | 0.314 | 0.505 | 0.434 | |||||
| 0.807 | 0.312 | 0.504 | 0.428 | |||||
| 1 10 20 33 50 | TYPE II | 0.511 | 0.650 | 0.305 | TYPE II | 0.527 | 0.586 | 0.335 |
| 0.488 | 0.351 | 0.324 | 0.414 | |||||
| 0.440 | 0.356 | 0.264 | 0.422 | |||||
| 0.396 | 0.364 | 0.199 | 0.435 | |||||
| 0.360 | 0.369 | 0.151 | 0.443 | |||||
| 1 10 20 33 50 | TYPE III | 0.529 | 0.875 | 0.154 | TYPE III | 0.540 | 0.716 | 0.252 |
| 0.709 | 0.204 | 0.667 | 0.264 | |||||
| 0.676 | 0.209 | 0.652 | 0.262 | |||||
| 0.650 | 0.214 | 0.633 | 0.264 | |||||
| 0.629 | 0.217 | 0.623 | 0.264 | |||||
| 1 10 20 33 50 | TYPE IV | 0.418 | 0.739 | 0.278 | TYPE IV | 0.491 | 1.00 | 0.334 |
| 0.485 | 0.338 | 0.951 | 0.393 | |||||
| 0.437 | 0.342 | 0.945 | 0.396 | |||||
| 0.376 | 0.350 | 0.935 | 0.403 | |||||
| 0.326 | 0.357 | 0.918 | 0.410 | |||||
| 1 10 20 33 50 | TYPE V | 0.40 | 0.589 | 0.388 | TYPE V | 0.415 | 0.880 | 0.358 |
| 0.518 | 0.401 | 0.779 | 0.378 | |||||
| 0.467 | 0.402 | 0.758 | 0.374 | |||||
| 0.457 | 0.398 | 0.723 | 0.376 | |||||
| 0.441 | 0.396 | 0.712 | 0.374 |
© 2020 by the authors. Licensee MDPI, Basel, Switzerland. This article is an open access article distributed under the terms and conditions of the Creative Commons Attribution (CC BY) license (http://creativecommons.org/licenses/by/4.0/).
Share and Cite
Naresh, K.; Khan, K.A.; Umer, R.; Vasudevan, A. Temperature-Frequency–Dependent Viscoelastic Properties of Neat Epoxy and Fiber Reinforced Polymer Composites: Experimental Characterization and Theoretical Predictions. Polymers 2020, 12, 1700. https://doi.org/10.3390/polym12081700
Naresh K, Khan KA, Umer R, Vasudevan A. Temperature-Frequency–Dependent Viscoelastic Properties of Neat Epoxy and Fiber Reinforced Polymer Composites: Experimental Characterization and Theoretical Predictions. Polymers. 2020; 12(8):1700. https://doi.org/10.3390/polym12081700
Chicago/Turabian StyleNaresh, Kakur, Kamran Ahmed Khan, Rehan Umer, and Alagumalai Vasudevan. 2020. "Temperature-Frequency–Dependent Viscoelastic Properties of Neat Epoxy and Fiber Reinforced Polymer Composites: Experimental Characterization and Theoretical Predictions" Polymers 12, no. 8: 1700. https://doi.org/10.3390/polym12081700
APA StyleNaresh, K., Khan, K. A., Umer, R., & Vasudevan, A. (2020). Temperature-Frequency–Dependent Viscoelastic Properties of Neat Epoxy and Fiber Reinforced Polymer Composites: Experimental Characterization and Theoretical Predictions. Polymers, 12(8), 1700. https://doi.org/10.3390/polym12081700

