Effects of Different Conditions on Co-Pyrolysis Behavior of Corn Stover and Polypropylene
Abstract
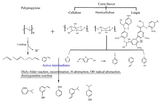
1. Introduction
2. Materials and Methods
2.1. Material Preparation
2.2. Tube Furnace Pyrolysis
2.3. Elemental Analysis of Pyrolysis Oil
2.4. NMR Analysis of Pyrolysis Oil
2.5. Synergy Analysis
3. Results and Discussion
3.1. Co-Pyrolysis Analysis of CS and PP in Different Proportions
3.1.1. Product Yield Analysis
3.1.2. Synergy Analysis of Product Yield
3.1.3. Elemental Analysis of Pyrolysis Oil
3.1.4. NMR Analysis of Pyrolysis Oil
3.2. Co-Pyrolysis Analysis of CS and PP at Different Temperatures
3.2.1. Product Yield Analysis
3.2.2. NMR Analysis of Pyrolysis Oil
3.3. Co-Pyrolysis Analysis of CS and PP with Different Catalyst Ratios
3.3.1. Product Yield Analysis
3.3.2. NMR Analysis of Pyrolysis Oil
3.4. Co-Pyrolysis Analysis of CS and PP in Different Atmospheres
3.4.1. Product Yield Analysis
3.4.2. NMR Analysis of Pyrolysis Oil
4. Conclusions
Author Contributions
Funding
Acknowledgments
Conflicts of Interest
References
- Abnisa, F.; Wan Daud, W.M.A. A review on co-pyrolysis of biomass: An optional technique to obtain a high-grade pyrolysis oil. Energy Convers. Manag. 2014, 87, 71–85. [Google Scholar] [CrossRef]
- Ahtikoski, A.; Heikkilä, J.; Alenius, V.; Siren, M. Economic viability of utilizing biomass energy from young stands—The case of Finland. Biomass Bioenergy 2008, 32, 988–996. [Google Scholar] [CrossRef]
- Wang, X.; Ma, D.; Jin, Q.; Deng, S.; Stančin, H.; Tan, H.; Mikulčić, H. Synergistic effects of biomass and polyurethane co-pyrolysis on the yield, reactivity, and heating value of biochar at high temperatures. Fuel Process. Technol. 2019, 194, 106–127. [Google Scholar] [CrossRef]
- Al-Salem, S.M.; Lettieri, P.; Baeyens, J. Recycling and recovery routes of plastic solid waste (PSW): A review. Waste Manag. 2009, 29, 2625–2643. [Google Scholar] [CrossRef]
- Bernardo, M.; Lapa, N.; Gonçalves, M.; Mendes, B.; Pinto, F.; Fonseca, I.; Lopes, H. Physico-chemical properties of chars obtained in the co-pyrolysis of waste mixtures. J. Hazard. Mater. 2012, 219–220, 196–202. [Google Scholar] [CrossRef]
- Imran, A.; Bramer, E.A.; Seshan, K.; Brem, G. An overview of catalysts in biomass pyrolysis for production of biofuels. Biofuel Res. J. 2018, 4, 872–885. [Google Scholar] [CrossRef]
- Guillain, M.; Fairouz, K.; Mar, S.R.; Monique, F.; Jacques, L. Attrition-free pyrolysis to produce bio-oil and char. Bioresour. Technol. 2009, 100, 6069–6075. [Google Scholar] [CrossRef] [PubMed]
- Bridgwater, A.V.; Meier, D.; Radlein, D. An overview of fast pyrolysis of biomass. Org. Geochem. 1999, 30, 1479–1493. [Google Scholar] [CrossRef]
- Oasmaa, A.; Czernik, S. Fuel oil quality of biomass pyrolysis oils-state of the art for the end users. Energy Fuels 1999, 13, 914–921. [Google Scholar] [CrossRef]
- Parihar, M.F.; Kamil, M.; Goyal, H.B.; Gupta, A.K.; Bhatnagar, A.K. An experimental study on pyrolysis of biomass. Process Saf. Environ. Prot. 2007, 85, 458–465. [Google Scholar] [CrossRef]
- Lu, P.; Huang, Q.; Bourtsalas, A.T.; Chi, Y.; Yan, J. Synergistic effects on char and oil produced by the co-pyrolysis of pine wood, polyethylene and polyvinyl chloride. Fuel 2018, 230, 359–367. [Google Scholar] [CrossRef]
- Zhang, H.; Nie, J.; Xiao, R.; Jin, B.; Dong, C.; Xiao, G. Catalytic co-pyrolysis of biomass and different plastics (Polyethylene, Polypropylene, and Polystyrene) to improve hydrocarbon yield in a fluidized-bed reactor. Energy Fuels 2014, 28, 1940–1947. [Google Scholar] [CrossRef]
- Budai, A.; Wang, L.; Gronli, M.; Strand, L.T.; Antal, M.J., Jr.; Abiven, S.; Dieguez-Alonso, A.; Anca-Couce, A.; Rasse, D.P. Surface properties and chemical composition of corncob and miscanthus biochars: Effects of production temperature and method. J. Agric. Food Chem. 2014, 62, 3791–3799. [Google Scholar] [CrossRef]
- Kai, X.P.; Li, R.D.; Yang, T.H.; Shen, S.Q.; Ji, Q.X.; Zhang, T. Study on the co-pyrolysis of rice straw and high density polyethylene blends using TG-FTIR-MS. Energy Convers. Manag. 2017, 146, 20–33. [Google Scholar] [CrossRef]
- McCaffrey, W.C.; Kamal, M.R.; Cooper, D.G. Thermolysis of polyethylene. Polym. Degrad. Stab. 1995, 47, 133–139. [Google Scholar] [CrossRef]
- Özsin, G.; Pütün, A.E. A comparative study on co-pyrolysis of lignocellulosic biomass with polyethylene terephthalate, polystyrene, and polyvinyl chloride: Synergistic effects and product characteristics. J Clean. Prod. 2018, 205, 1127–1138. [Google Scholar] [CrossRef]
- Pinto, F.; Miranda, M.; Costa, P. Production of liquid hydrocarbons from rice crop wastes mixtures by co-pyrolysis and co-hydropyrolysis. Fuel 2016, 174, 153–163. [Google Scholar] [CrossRef]
- Williams, P.T.; Williams, E.A. Fluidised bed pyrolysis of low density polyethylene to produce petrochemical feedstock. J. Anal. Appl. Pyrolysis 1999, 51, 107–126. [Google Scholar] [CrossRef]
- Ben, H.; Ragauskas, A.J. NMR Characterization of pyrolysis oils from kraft lignin. Energy Fuels 2011, 25, 2322–2332. [Google Scholar] [CrossRef]
- Ben, H.; Ragauskas, A.J. Pyrolysis of kraft lignin with additives. Energy Fuels 2011, 25, 4662–4668. [Google Scholar] [CrossRef]
- Ben, H.; Ragauskas, A.J. Heteronuclear single-quantum correlation–nuclear magnetic resonance (HSQC–NMR) fingerprint analysis of pyrolysis oils. Energy Fuels 2011, 25, 5791–5801. [Google Scholar] [CrossRef]
- Kosa, M.; Ben, H.; Theliander, H.; Ragauskas, A.J. Pyrolysis oils from CO2 precipitated kraft lignin. Green Chem. 2011, 13, 3196–3202. [Google Scholar] [CrossRef]
- Luo, Y.; Ben, H.; Wu, Z.; Nie, K.; Han, G.; Jiang, W. Impact of CO2 on pyrolysis products of bituminous coal and platanus sawdust. Polymers 2019, 11, 1370. [Google Scholar] [CrossRef] [PubMed]
- Brebu, M.; Spiridon, I. Co-pyrolysis of LignoBoost® lignin with synthetic polymers. Polym. Degrad. Stab. 2012, 97, 2104–2109. [Google Scholar] [CrossRef]
- Xue, Y.; Kelkar, A.; Bai, X. Catalytic co-pyrolysis of biomass and polyethylene in a tandem micropyrolyzer. Fuel 2016, 166, 227–236. [Google Scholar] [CrossRef]
- Rotliwala, Y.C.; Parikh, P.A. Study on thermal co-pyrolysis of jatropha deoiled cake and polyolefins. Waste Manag. Res. 2011, 29, 1251–1261. [Google Scholar] [CrossRef] [PubMed]
- Chen, W.; Shi, S.; Zhang, J.; Chen, M.; Zhou, X. Co-pyrolysis of waste newspaper with high-density polyethylene: Synergistic effect and oil characterization. Energy Convers. Manag. 2016, 112, 41–48. [Google Scholar] [CrossRef]
- Lloyd, W.G.; Davenport, D.A. Applying thermodynamics to fossil fuels: Heats of combustion from elemental compositions. J. Chem. Educ. 1980, 57, 56–60. [Google Scholar] [CrossRef]
- Muneer, B.; Zeeshan, M.; Qaisar, S.; Razzaq, M.; Iftikhar, H. Influence of in-situ and ex-situ HZSM-5 catalyst on co-pyrolysis of corn stalk and polystyrene with a focus on liquid yield and quality. J. Clean. Prod. 2019, 237, 117762. [Google Scholar] [CrossRef]
- Ojha, D.K.; Vinu, R. Fast co-pyrolysis of cellulose and polypropylene using Py-GC/MS and Py-FT-IR. RSC Adv. 2015, 5, 66861–66870. [Google Scholar] [CrossRef]
- Jin, Z.; Yin, L.; Chen, D.; Jia, Y.; Yuan, J.; Hu, Y. Co-pyrolysis characteristics of typical components of waste plastics in a falling film pyrolysis reactor. Chin. J. Chem. Eng. 2018, 26, 2176–2184. [Google Scholar] [CrossRef]
- Sharypov, V.I.; Beregovtsova, N.G.; Kuznetsov, B.N.; Membrado, L.; Cebolla, V.L.; Marin, N.; Weber, J.V. Co-pyrolysis of wood biomass and synthetic polymers mixtures. Part III: Characterisation of heavy products. J. Anal. Appl. Pyrolysis 2003, 67, 325–340. [Google Scholar] [CrossRef]
- Qi, P.; Chang, G.; Wang, H.; Zhang, X.; Guo, Q. Production of aromatic hydrocarbons by catalytic co-pyrolysis of microalgae and polypropylene using HZSM-5. J. Anal. Appl. Pyrolysis 2018, 136, 178–185. [Google Scholar] [CrossRef]
- Zheng, Y.; Tao, L.; Yang, X.; Huang, Y.; Liu, C.; Zheng, Z. Study of the thermal behavior, kinetics, and product characterization of biomass and low-density polyethylene co-pyrolysis by thermogravimetric analysis and pyrolysis-GC/MS. J. Anal. Appl. Pyrolysis 2018, 133, 185–197. [Google Scholar] [CrossRef]
- Duan, D.; Wang, Y.; Dai, L.; Ruan, R.; Zhao, Y.; Fan, L.; Tayier, M.; Liu, Y. Ex-situ catalytic co-pyrolysis of lignin and polypropylene to upgrade bio-oil quality by microwave heating. Bioresour. Technol. 2017, 241, 207–213. [Google Scholar] [CrossRef]
- Fan, L.; Chen, P.; Zhang, Y.; Liu, S.; Liu, Y.; Wang, Y.; Dai, L.; Ruan, R. Fast microwave-assisted catalytic co-pyrolysis of lignin and low-density polyethylene with HZSM-5 and MgO for improved bio-oil yield and quality. Bioresour. Technol. 2017, 225, 199–205. [Google Scholar] [CrossRef]
- Hong, Y.; Lee, Y.; Rezaei, P.S.; Kim, B.S.; Jeon, J.; Jae, J.; Jung, S.; Kim, S.C.; Park, Y. In-situ catalytic copyrolysis of cellulose and polypropylene over desilicated ZSM-5. Catal. Today 2017, 293–294, 151–158. [Google Scholar] [CrossRef]
- Dorado, C.; Mullen, C.A.; Boateng, A.A. Origin of carbon in aromatic and olefin products derived from HZSM-5 catalyzed co-pyrolysis of cellulose and plastics via isotopic labeling. Appl. Catal. B Environ. 2015, 162, 338–345. [Google Scholar] [CrossRef]
- Liu, S.Q.; Zhang, S.P.; Yu, T.L.; Cai, Q.J. Synergistic effect of Co-pyrolysis of biomass and plastics. Chem. Ind. For. Prod. 2019, 39, 34–42. [Google Scholar]
- Kim, Y.; Jae, J.; Kim, B.; Hong, Y.; Jung, S.; Park, Y. Catalytic co-pyrolysis of torrefied yellow poplar and high-density polyethylene using microporous HZSM-5 and mesoporous Al-MCM-41 catalysts. Energy Convers. Manag. 2017, 149, 966–973. [Google Scholar] [CrossRef]
- Kruse, T.M.; Wong, H.; Broadbelt, L.J. Mechanistic modeling of polymer pyrolysis: Polypropylene. Macromolecules 2003, 36, 9594–9607. [Google Scholar] [CrossRef]
- Dean, A.M. Detailed kinetic modeling of autocatalysis in methane pyrolysis. J. Phys. Chem. 1990, 94, 1432–1439. [Google Scholar] [CrossRef]
- Ranzi, E.; Dente, M.; Goldaniga, A.; Bozzano, G.; Faravelli, T. Lumping procedures in detailed kinetic modeling of gasification, pyrolysis, partial oxidation and combustion of hydrocarbon mixtures. Prog. Energy Combust. Sci. 2001, 27, 99–139. [Google Scholar] [CrossRef]
- Ding, K.; Zhong, Z.; Wang, J.; Zhang, B.; Fan, L.; Liu, S.; Wang, Y.; Liu, Y.; Zhong, D.; Chen, P.; et al. Improving hydrocarbon yield from catalytic fast co-pyrolysis of hemicellulose and plastic in the dual-catalyst bed of CaO and HZSM-5. Bioresour. Technol. 2018, 261, 86–92. [Google Scholar] [CrossRef] [PubMed]










| Sample | Proximate Analysis wd/% | Ultimate Analysis wd/% | ||||||
|---|---|---|---|---|---|---|---|---|
| Moisture | Ash | Volatile | Fixed Carbon | C | H | O * | N | |
| CS | 2.73 | 6.43 | 74.06 | 16.78 | 42.93 | 6.38 | 49.5 | 1.19 |
| PP | 0 | 0.06 | 99.82 | 0.12 | 85.43 | 14.57 | 0 | 0 |
| Sample | Experimental Yield | Calculated Yield | Synergistic Effect | ||||||
|---|---|---|---|---|---|---|---|---|---|
| CS:PP | Oil (%) | Char (%) | Gas (%) | Oil (%) | Char (%) | Gas (%) | Oil (%) | Char (%) | Gas (%) |
| 1:0 | 19.1 | 29.6 | 51.3 | - | - | - | - | - | - |
| 3:1 | 30.8 | 21.1 | 48.1 | 28.6 | 22.25 | 49.15 | 2.2 | −1.15 | −1.05 |
| 1:1 | 41.8 | 12.6 | 45.6 | 38.1 | 14.9 | 47 | 3.7 | −2.3 | −1.4 |
| 1:3 | 52.1 | 6.3 | 41.6 | 47.6 | 7.55 | 44.85 | 4.5 | −1.25 | −3.25 |
| 0:1 | 57.1 | 0.2 | 42.7 | - | - | - | - | - | - |
| Sample | Pyrolysis Oil Composition (wt %) | Deoxygenation 1 (%) | HHV (KJ/kg) | ||
|---|---|---|---|---|---|
| CS:PP | C | H | O | ||
| 1:0 | 63.0 | 7.4 | 29.6 | 40.9 | 28.44 |
| 3:1 | 76.3 | 10.9 | 12.8 | 65.9 | 38.60 |
| 1:1 | 82.4 | 11.3 | 6.3 | 74.9 | 41.78 |
| 1:3 | 84.4 | 13.9 | 1.7 | 86.4 | 45.84 |
| 0:1 | 85.8 | 14.2 | 0 | - | 46.83 |
| Functional Group | Integration Region (ppm) | CS:PP = 1:0 | CS:PP = 3:1 | CS:PP = 1:1 | CS:PP = 1:3 | CS:PP = 0:1 |
|---|---|---|---|---|---|---|
![]() | 215.0–166.5 | 8.00 | 3.42 | 1.76 | 0.07 | 0 |
![]() | 166.5–142.0 | 1.19 | 0.86 | 1.63 | 0.38 | 0 |
![]() | 142.0–125.0 | 9.65 | 6.88 | 4.53 | 3.48 | 2.17 |
![]() | 125.0–95.8 | 15.69 | 8.86 | 5.03 | 4.54 | 3.62 |
![]() | C1 102.3, C2 72.0, C3 73.7, C4 71.7, C5 76.5, C6 64.9 | 0.89 | 0.51 | 0.33 | 0.25 | 0 |
![]() | 95.8–60.8 | 10.92 | 3.62 | 2.10 | 1.05 | 0 |
![]() | 60.8–55.2 | 1.25 | 0.57 | 0.25 | 0.10 | 0 |
![]() | 55.2–0.0 | 53.30 | 75.79 | 84.70 | 90.38 | 94.21 |
![]() | 21.6–19.1 | 8.64 | 23.92 | 26.99 | 27.51 | 28.26 |
![]() | 16.1–15.4 | 0.15 | 0.12 | 0.06 | 0.03 | 0 |
| Type of Protons | Ranges (ppm) | Hydrogen Percentages | ||||
|---|---|---|---|---|---|---|
| CS:PP = 1:0 | CS:PP = 3:1 | CS:PP = 1:1 | CS:PP = 1:3 | CS:PP = 0:1 | ||
| –CHO, –COOH | 9.6–10.0 | 0.16 | 0.05 | 0.03 | 0.01 | 0 |
| H-PAH | 7.5–9.0 | 3.90 | 0.48 | 0.26 | 0.10 | 0.09 |
| H–single ring aromatic | 6.0–7.5 | 21.84 | 2.90 | 0.74 | 0.69 | 0.43 |
| Aromatic–OH, water | ~4.0–5.0 | 6.21 | 5.55 | 4.17 | 3.07 | 0 |
| CH3–O–aromatic, water | ~3.8 | 5.17 | 0.48 | 0.32 | 0.11 | 0 |
| CH3–O–aliphatic | ~3.3 | 11.46 | 3.27 | 1.61 | 0.48 | 0 |
| CH3–aromatic | ~2.2 | 7.35 | 2.67 | 2.29 | 1.83 | 1.60 |
| CH2/3–aliphatic | 0.0–2.0 | 43.92 | 84.60 | 90.58 | 93.71 | 97.88 |
© 2020 by the authors. Licensee MDPI, Basel, Switzerland. This article is an open access article distributed under the terms and conditions of the Creative Commons Attribution (CC BY) license (http://creativecommons.org/licenses/by/4.0/).
Share and Cite
Wu, F.; Ben, H.; Yang, Y.; Jia, H.; Wang, R.; Han, G. Effects of Different Conditions on Co-Pyrolysis Behavior of Corn Stover and Polypropylene. Polymers 2020, 12, 973. https://doi.org/10.3390/polym12040973
Wu F, Ben H, Yang Y, Jia H, Wang R, Han G. Effects of Different Conditions on Co-Pyrolysis Behavior of Corn Stover and Polypropylene. Polymers. 2020; 12(4):973. https://doi.org/10.3390/polym12040973
Chicago/Turabian StyleWu, Fengze, Haoxi Ben, Yunyi Yang, Hang Jia, Rui Wang, and Guangting Han. 2020. "Effects of Different Conditions on Co-Pyrolysis Behavior of Corn Stover and Polypropylene" Polymers 12, no. 4: 973. https://doi.org/10.3390/polym12040973
APA StyleWu, F., Ben, H., Yang, Y., Jia, H., Wang, R., & Han, G. (2020). Effects of Different Conditions on Co-Pyrolysis Behavior of Corn Stover and Polypropylene. Polymers, 12(4), 973. https://doi.org/10.3390/polym12040973











