Combination of Polymeric Superplasticizers, Water Repellents and Pozzolanic Agents to Improve Air Lime-Based Grouts for Historic Masonry Repair
Abstract
1. Introduction
2. Materials and Methods
2.1. Materials and Composition of the Grouts
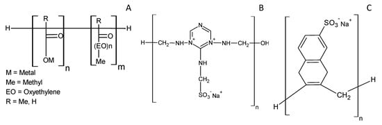
- Polymer-based superplasticizer (SP) (two different dosages 0.5% and 1% by weight of lime (bwol)): polycarboxylate ether (PCE), commercialized by BASF as Melflux; condensate of melamine-formaldehyde sulfonate (SMFC), commercialized by BASF as Melment F10 (Ludwigshafen, Germany); polynaphthalene sulfonate (PNS), commercialized by FOSROC International as Conplast SP340 Fa (Fosroc Euco S.A., Izurtza, Spain).
- Water-repellent agent (0.5% bwol): sodium oleate (O), provided as a commercial product: HISA A 2388 N by ADI-Center-S.L.U (Barcelona, Spain).
- Pozzolanic additions (20% bwol): Metakaolin (MK) (Metaver, supplied by, NEWCHEM, Pfäffikon, Switzerland) and microsilica (MS), supplied by ULMEN Europa (Castellón, Spain).
2.2. Preparation Procedure and Curing Conditions
2.3. Fresh-State Tests and Analyses
- The flow table test (according to the EN 1015-3 [38]) was followed, to monitor the slump flow measurements, after 15 strokes of the flow table. The larger the spread diameter, the higher the fluidity of the grout.
- Workability was determined as the period in which the degree of stiffness of the grout hinders the penetration of a piston. Workability can be related to the setting time of the grouting mixture (the shorter the workability time, the shorter the setting time). According to the standard EN 1015-9 [39], every 15 min, a probe was slowly introduced into the fresh grout, scoring the weight, which was gradually increasing due to the hardening of the grout. When this weight reached 1500 g, the assay was concluded.
- A Zeta potential electroacoustic analyzer (ZetaProbe Analyzer, Colloidal Dynamics, Ponte Vedra Beach, FL, USA) was used to determine the surface charge of the suspensions of the air lime with the additives. Two batches of experiments were carried out:(a) Initial media of air lime, water and, when necessary, pozzolanic additives and sodium oleate were prepared by following the same compositions detailed in Table 2. Solutions of polymer-based superplasticizers (1% w/w) were then used as titrant media, and zeta potential values were continuously monitored.(b) Initial media of air lime, water and, when necessary, pozzolanic additives and SP were prepared by following the same compositions detailed in Table 2. Solution of sodium oleate (1% w/w) was, in this case, used as titrant media, monitoring the zeta potential values.
- Adsorption isotherms were obtained after carrying out different sorption assays. Different batches of flasks were prepared: one, with 5 g of air lime per 25 mL of water; two more batches with also pozzolanic additive (either MS or MK, 20 wt.% with respect to the lime). In some flasks, when required, pre-adsorption of some admixtures was also carried out incorporating either SP or oleate (1 wt.% or 0.5 wt.% with respect to the lime, according to the proportions reported in Table 2) and mixing the dispersions for 30 min. The adsorption of the admixtures, either sodium oleate or SPs, was studied adding increasing amounts of the admixture (0.0125, 0.0250, 0.0375, 0.0500, 0.1000, 0.1500, 0.2000 g) to the different flasks. Dispersions were magnetically stirred for 30 min and then centrifuged at 8000× g for 15 min. The supernatant was collected and filtered (0.45 µm PTFE filters). The difference between the initial (added) and final concentration (remaining solution concentration) was deemed to be the admixture adsorbed amount. UV–VIS spectrophotometry was used to measure the concentration of the admixture in the solution (maxima at λ = 221, 222 and 296 nm for PCE, SMFC and PNS). The mathematical fitting of the adsorption data was calculated for Langmuir and Freundlich models.
- Bleeding test refers to the determination of a water layer that could appear on the surface with a clear separation line between water and grout [4]. Bleeding tests were carried out in a graduated cylinder, where grout was placed, and the accumulation of bled water and the expansion volume were measured over 15, 30, 45, 60, 120 and 180 min. The tests were performed according to EN 447 and adapting of ASTM C940 [40,41]. Final bleeding (after 180 min) should be lower than 5%.
- Grouts must be suitable for injection through a syringe or tubing, to fill internal cracks and voids. An injectability test was carried out by injecting the grout at constant pressure to a vertically held column, from its bottom part (column was a transparent methacrylate tube height 390 mm and inner diameter 21 mm) (see experimental setup in Figure S1, Supplementary Materials). The column was filled with granular material whose characteristics are explained below (Table 3). This test is an adaptation of the sand column test (EN 1771—Determination of Injectability Using the Sand Column Test [42]), to be used for injection grouts. Injectability of a grouting mixture in a capillary network under predefined pressure is defined by the distance traveled by the grout as a function of time according to EN 1771. In this work, (according to the recommendations reported in Evaluation of Lime-Based Hydraulic Injection Grouts for the Conservation of Architectural Surfaces [43]), the material suggested in the standard for achieving a flow into a 0.2 mm crack in concrete is replaced by crushed travertine with grain sizes of 2–4 mm, a size that simulates an approximately 0.3–0.6 mm crack width. Each grout was prepared by mixing for exactly 3 min, using the same procedure adopted in the fluidity tests. The pressure used for filling the cylinders (0.075 MPa) was constant due to the use of an equipment of injection known as “pressure pot”, for 60 s. The time required for the complete filling of the cylinders was recorded.For these tests, high water/binder ratio of 1.24 was applied constantly due to the high water demand of the air lime and to the use of pozzolans [32,44].Several characteristics of the porous media were determined (Table 3): (a) parameters d(90) and d(10), which are respectively the diameter through which 90% and 10% of the total mass pass; (b) the total porosity, which was evaluated by measuring the volume of water which could be filled inside each cylinder, to know the available voids inside the column; and (c) the water absorption of the travertine.
2.4. Hardened-State Tests
- Compressive strengths were measured after 7, 28, 91, 182 and 365 curing days in the 4 × 4 × 16 cm prismatic specimens. A device Proeti ETI 26.0052 (Proeti, Madrid, Spain) was used at a breaking speed 5–50 KP s−1 with a time interval between 30 and 90 s in the compressive strength tests.
- Thermal analysis of the hardened grouts was carried out with a simultaneous TG-sDTA 851 Mettler Toledo thermoanalyzer device (Schwerzenbach, Switzerland), using alumina crucibles. Samples were heated from 25 to 1000 °C, at a rate of 10 °C·min−1, under static air atmosphere.
- The porous structure of the hardened grouts was studied by Mercury Intrusion Porosimetry (MIP), using a Micromeritics AutoPore IV 9500 equipment (Micromeritics Instrument Corporation, Norcross, GA, USA) (pressure range 0.0015–207 MPa).
- The evaluation of the wettability of the hardened grouts was performed by measuring hydrophobicity through the static water contact angle of the samples, with an equipment OCA 15EC (DataPhysics Instruments GmbH, Filderstadt, Germany). Five water droplets at five different points of 5 μL were put onto the surface of the hardened grouts, and the reported results are averages of these measurements.
2.5. Durability
- None: alteration for those samples with no evidence of decay.
- Scarce: for samples showing a slight degree of deterioration (some thin, short, shallow cracks on the surface of the specimens).
- Moderate: for altered samples, showing several deeper cracks.
- Large: for heavily altered specimens presenting deep cracks and a certain degree of swelling.
- Very large for samples with severe decay, large deep cracks, partial weight loss and large swelling.
- Total for destroyed samples, with only some parts remaining.
3. Results
3.1. Properties of the Fresh Grouts
3.1.1. Fluidity (Spread Diameter)
- (i)
- Adsorption isotherms of sodium oleate onto lime particles (with and without pozzolanic additives) revealed a very strong adsorption of oleate onto these particles, making it reasonable achieving the saturation dosage of the first layer (Figure 5). Almost-negligible adsorption was observed for aqueous suspensions of pozzolans, confirming the strong influence of Ca2+ ions on the oleate adsorption, in agreement with the reported values in previous works by Wang, Z. et al. and Wang, Y. et al. [49,50] that described a sharp oleate adsorption onto minerals in the presence of calcium cations.
- (ii)
- Adsorption isotherms of the superplasticizers onto lime particles, in which oleate was previously adsorbed, also showed the ability of the SPs to be adsorbed in a similar amount to the one that took place in the plain lime systems (Figure 6). This adsorption onto lime particles in which oleate molecules were pre-adsorbed can only be explained by assuming a double-layer adsorption. Isotherms also fit well into a Freundlich model (see high R2 values in Table 4).
- (iii)
- Zeta potential curves obtained for lime systems (with or without pozzolanic agent) with pre-adsorbed superplasticizer, upon titration with a sodium oleate solution, were totally different (Figure 7): All curves showed a slight and continuous increase toward more positive values, without any sharp change in the curves. The zeta potential curves followed the same pattern as that of the SP-free systems titrated with sodium oleate. These curves could correspond to a simple monolayer adsorption process, in which oleate was adsorbed onto (a) free active sites and (b) in the sites previously occupied by SP molecules, which were removed due to a competition process.This assumption was later confirmed by adsorption isotherms studies of oleate in lime systems with pre-adsorbed superplasticizer. It was seen that all added oleate remained fully adsorbed, whereas the concentration of SP in the supernatant solution increased as more oleate was added. For example, this system yielded a 100.0 ± 0.9% of PCE in solution (that is, all the PCE was released), whereas the adsorption of PCE in a system with pre-adsorbed oleate resulted in a lower non-adsorbed polymer percentage of 92.94 ± 0.2% (that is, 7.06% of PCE remained adsorbed), thus confirming, as explained in (ii), the double-layer adsorption. This strong and competitive adsorption of oleate can be understood when considering its higher anionic charge density in comparison with the SPs.
- (iv)
- (a)
- For PCE, zeta potential moved slightly toward lower positive values. The adsorption of the PCE (depicted in this second part of the curves of zeta potential) did not cause a substantial surface charge modification, confirming the weak influence of the anionic charge of this SP (which was the lowest, as reported in Table 1). The strong steric hindrance of the side chains of this polymer is more effective than the electrostatic repulsions of the negatively charged carboxylated groups. The predominant effect of the steric hindrance in this polymeric SP was confirmed by its high impact in fluidity (Figure 3), while it simultaneously did not dramatically modify the surface charge of the particles. The literature agrees about the prevalence of the steric hindrance mechanism for similar polymer molecules [51,52,53].
- (b)
- For SMFC and PNS, the adsorption of the SP caused a clear decrease in the zeta potential values (sharper in the case of SMFC), finally resulting in a charge reversal into negative values of the zeta potential (Figure 4). The action mechanism of these two polymers can be linked to the electrostatic repulsions, particularly under alkaline conditions that fostered the ionization of the sulfonic groups [51,54]. The dosage at which the IEP was achieved would be the optimum dosage of the SP. SMFC inverted the sign of the surface charge at lower dosages and should be expected to be more effective than PNS. The higher molecular weight of this SMFC polymer (Table 1) contributes to enhance the predominantly efficient steric repulsions, thus explaining these experimental findings.
3.1.2. Workability
3.1.3. Bleeding
3.1.4. Injectability
3.2. Hardened Grout Properties
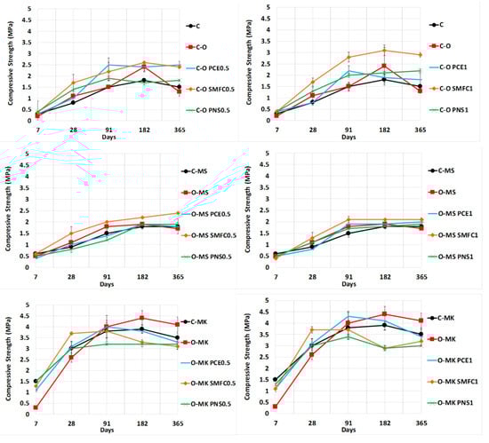
3.2.1. Compressive Strength
- The addition of the pozzolanic additive (microsilica or metakaolin) reduced porosity by about 1 μm in diameter, due to the filling effect of the microsilica and the pozzolanic reaction (Figure 8, reduction in the area under the curve of the mercury differential intrusion).
- The addition of PCE caused a sharp drop in the number of pores, of about 1 μm. In addition, the main pore size shifted toward lower diameters (between 0.5 and 0.8 μm).
3.2.2. Hydrophobicity
3.2.3. Durability
4. Conclusions
Supplementary Materials
Author Contributions
Funding
Acknowledgments
Conflicts of Interest
References
- Gökyiǧit-Arpaci, E.Y.; Oktay, D.; Yüzer, N.; Ulukaya, S.; Eksi-Akbulut, D. Performance evaluation of lime-based grout used for consolidation of brick masonry walls. J. Mater. Civil. Eng. 2019, 31, 04019059. [Google Scholar] [CrossRef]
- Silva, R.A.; Domínguez-Martínez, O.; Oliveira, D.V.; Pereira, E.B. Comparison of the performance of hydraulic lime- and clay-based grouts in the repair of rammed earth. Constr. Build. Mater. 2018, 193, 384–394. [Google Scholar] [CrossRef]
- Pasian, C.; Secco, M.; Piqué, F.; Rickerby, S.; Cather, S. Lime-based injection grouts with reduced water content: An assessment of the effects of the water-reducing agents ovalbumin and ethanol on the mineralogical evolution and properties of grouts. J. Cult. Herit. 2018, 30, 70–80. [Google Scholar] [CrossRef]
- Luso, E.; Lourenço, P.B. Experimental laboratory design of lime based grouts for masonry consolidation. Int. J. Archit. Herit. 2017, 11, 1143–1152. [Google Scholar] [CrossRef]
- Rossi-Doria, P.R. Report on the RILEM Workshop ‘Ancient Mortars and Mortars for Restoration’ Ravello, 9–11 November 1988. Mater. Struct. 1990, 23, 235–238. [Google Scholar] [CrossRef]
- Jorne, F.; Henriques, F.M.A.; Baltazar, L.G. Evaluation of consolidation of grout injection with ultrasonic tomography. Constr. Build. Mater. 2014, 66, 494–506. [Google Scholar] [CrossRef]
- Jorne, F.; Henriques, F.M.A.; Baltazar, L.G. Evaluation of consolidation of different porous media with hydraulic lime grout injection. J. Cult. Herit. 2015, 16, 438–451. [Google Scholar] [CrossRef]
- Silva, R.A.; Schueremans, L.; Oliveira, D.V.; Dekoning, K.; Gyssels, T. On the development of unmodified mud grouts for repairing earth constructions: Rheology, strength and adhesion. Mater. Struct. 2012, 45, 1497–1512. [Google Scholar] [CrossRef]
- Müller, U.; Miccoli, L.; Fontana, P. Development of a lime based grout for cracks repair in earthen constructions. Constr. Build. Mater. 2016, 110, 323–332. [Google Scholar] [CrossRef]
- Jorne, F.; Henriques, F.M.A. Evaluation of the grout injectability and types of resistance to grout flow. Constr. Build. Mater. 2016, 122, 171–183. [Google Scholar] [CrossRef]
- Navarro-Blasco, I.; Pérez-Nicolás, M.; Fernández, J.M.; Duran, A.; Sirera, R.; Alvarez, J.I. Assessment of the interaction of polycarboxylate superplasticizers in hydrated lime pastures modified with nanosilica or metakaolin as pozzolanic. Constr. Build. Mater. 2014, 73, 1–12. [Google Scholar] [CrossRef]
- Jorne, F.; Henriques, F.M.A.; Baltazar, L.G. Influence of superplasticizer, temperature, resting time and injection pressure on hydraulic lime grout injectability. Correlation analysis between fresh grout parameters and grout injectability. J. Build. Eng. 2015, 4, 140–151. [Google Scholar] [CrossRef]
- Kalagri, A.; Miltiadou-Fezans, A.; Vintzileou, E. Design and evaluation of hydraulic lime grouts for the strengthening of stone masonry historic structures. Mater. Struct. 2010, 43, 1135–1146. [Google Scholar] [CrossRef]
- Padovnik, A.; Piqué, F.; Jornet, A.; Bokan-Bosiljkov, V. Injection grouts for the re-attachment of architectural surfaces with historic value-measures to improve the properties of hydrated lime grouts in Slovenia. Int. J. Archit. Herit. 2016, 10, 993–1007. [Google Scholar] [CrossRef]
- Vavričuk, A.; Bokan-Bosiljkov, V.; Kramar, S. The influence of metakaolin on the properties of natural hydraulic lime-based grouts for historic masonry repair. Constr. Build. Mater. 2018, 172, 706–716. [Google Scholar] [CrossRef]
- Valluzzi, M.R. Requirements for the choice of mortar and grouts for consolidation of three-leaf stone masonry walls. In Workshop Repair Mortars for Historic Masonry; Groot, C., Ed.; RILEM Publications SARL: Delft, The Netherlands, 2009; Volume 3, pp. 382–397. [Google Scholar]
- Fernández, J.M.; Duran, A.; Navarro-Blasco, I.; Sirera, R.; Alvarez, J.I. Influence of nanosilica and a polycarboxylate ether superplasticizer on the performance of lime mortars. Cem. Concr. Res. 2013, 43, 12–24. [Google Scholar] [CrossRef]
- Izaguirre, A.; Lanas, J.; Álvarez, J.I. Effect of water-repellent admixtures on the behaviour of aerial lime-based mortars. Cem. Concr. Res. 2009, 39, 1095–1104. [Google Scholar] [CrossRef]
- Falchi, L.; Slanzi, D.; Speri, L.; Poli, I.; Zendri, E. Optimization of sustainable, NaCl-resistant and water-repellent renders through evolutionary experimental design. Constr. Build. Mater. 2017, 147, 876–889. [Google Scholar] [CrossRef]
- Nunes, C.; Slížková, Z. Freezing and thawing resistance of aerial lime mortar with metakaolin and a traditional water-repellent admixture. Constr. Build. Mater. 2016, 114, 896–905. [Google Scholar] [CrossRef]
- Arizzi, A.; Cultrone, G. Aerial Lime-based mortars blended with a pozzolanic additive and different admixtures: A mineralogical, textural and physical–mechanical study. Constr. Build. Mater. 2012, 31, 135–143. [Google Scholar] [CrossRef]
- Duran, A.; Navarro-Blasco, I.; Fernández, J.M.; Alvarez, J.I. Long-term mechanical resistance and durability of air lime mortars with large additions of nanosilica. Constr. Build. Mater. 2014, 58, 147–158. [Google Scholar] [CrossRef]
- Baltazar, L.G.; Henriques, F.M.A.; Jorne, F.; Cidade, M.T. Combined effect of superplasticizer, silica fume and temperature in the performance of natural hydraulic lime grouts. Constr. Build. Mater. 2014, 50, 584–597. [Google Scholar] [CrossRef]
- Duran, A.; González-Sánchez, J.F.; Fernández, J.M.; Sirera, R.; Navarro-Blasco, Í.; Álvarez, J.I. Influence of two polymer-based superplasticizers (poly-naphthalene sulfonate, PNS, and lignosulfonate, LS) on compressive and flexural strength, freeze-thaw, and sulphate attack resistance of lime-metakaolin grouts. Polymers 2018, 10, 824. [Google Scholar] [CrossRef] [PubMed]
- Baltazar, L.G.; Henriques, F.M.A.; Jorne, F.; Cidade, M.T. The use of rheology in the study of the composition effects on the fresh behaviour of hydraulic lime grouts for injection of masonry walls. Rheol. Acta 2013, 52, 127–138. [Google Scholar] [CrossRef]
- Puertas, F.; Santos, H.; Palacios, M.; Martínez-Ramírez, S. Polycarboxylate superplasticiser admixtures: Effect on hydration, microstructure and rheological behaviour in cement pastes. Adv. Cem. Res. 2005, 17, 77–89. [Google Scholar] [CrossRef]
- Baltazar, L.G.; Henriques, F.M.A.; Rocha, D.; Cidade, M.T. Experimental characterization of injection grouts incorporating hydrophobic silica fume. J. Mater. Civil. Eng. 2017, 29, 04017167. [Google Scholar] [CrossRef]
- Pérez-Nicolás, M.; Duran, A.; Navarro-Blasco, I.; Fernández, J.M.; Sirera, R.; Alvarez, J.I. Study on the effectiveness of PNS and LS superplasticizers in air lime-based mortars. Cem. Concr. Res. 2016, 82, 11–22. [Google Scholar] [CrossRef]
- Toumbakari, E. Lime-Pozzolan-Cement Grouts and Their Structural Effects on Composite Masonry Walls. Ph.D. Thesis, Katholieke Universiteit, Leuven, Belgium, 2002. [Google Scholar]
- Silva, B.A.; Ferreira Pinto, A.P.; Gomes, A. Influence of natural hydraulic lime content on the properties of aerial lime-based mortars. Constr. Build. Mater. 2014, 72, 208–218. [Google Scholar] [CrossRef]
- Nežerka, V.; Slížková, P.; Tesárek, T.; Plachý, T.; Frankeová, D.; Petráňová, V. Comprehensive study on mechanical properties of lime-based pastes with additions of metakaolin and brick dust. Cem. Concr. Res. 2014, 64, 17–29. [Google Scholar] [CrossRef]
- Gameiro, A.; Santos Silva, A.; Veiga, R.; Velosa, A. Hydration products of lime-metakaolin pastes at ambient temperature with ageing. Thermochim. Acta 2012, 535, 36–41. [Google Scholar] [CrossRef]
- Ghafor, K.; Mahmood, W.; Qadir, W.; Mohammed, A. Effect of particle size distribution of sand on mechanical properties of cement mortar modified with microsilica. ACI Mater. J. 2020, 117, 47–60. [Google Scholar] [CrossRef]
- Hendi, A.; Behravan, A.; Mostofinejad, D.; Akhavan Kharazian, H.; Sedaghatdoost, A. Performance of two types of concrete containing waste silica sources under MgSO4 attack evaluated by durability index. Constr. Build. Mater. 2020, 241, 118140. [Google Scholar] [CrossRef]
- Edmeades, R.M.; Hewlett, P.C. Cement Admixtures. In Lea’s Chemistry of Cement and Concrete, 4th ed.; Hewlett, P.C., Ed.; Butterworth-Heinemann Elsevier Ltd.: Oxford, UK, 1998; pp. 841–905. [Google Scholar]
- Ulmen Industries Europe. Ficha Técnica Gaia Ns Compact; Ulmen Industries Europe S.L.: Castellón, Spain, 2009. [Google Scholar]
- UNE-EN 196-1. Determination of Mechanical Resistances; CEN: Brussels, Belgium, 2005. [Google Scholar]
- UNE-EN 1015-3. Methods of Testing Mortars for Masonry; Part 3: Determination of Fresh Mortar Consistency (by Shaking Table); CEN: Brussels, Belgium, 2000. [Google Scholar]
- UNE-EN 1015-9. Methods of Testing Mortars for Masonry; Part 9: Determination of the Period of Workability and Open Time of Fresh Mortar; CEN: Brussels, Belgium, 2000. [Google Scholar]
- UNE-EN 447. Grout for Prestressing Tendons—Basic Requirements; CEN: Brussels, Belgium, 2009. [Google Scholar]
- ASTM C940–10a. Standard Test Method for Expansion and Bleeding of Freshly. Mixed Grouts for Preplaced-Aggregate Concrete in the Laboratory; ASTM International: West Conshohocken, PA, USA, 2010. [Google Scholar]
- UNE-EN 1771. Determination of Injectability Using the Sand Column Test; CEN: Brussels, Belgium, 2004. [Google Scholar]
- Biçer-Simşir, B.; Rainer, L. Evaluation of Lime-Based Hydraulic Injection Grouts for the Conservation of Architectural Surfaces. In A Manual of Laboratory and Field Test Methods; The Getty Conservation Institute: Los Angeles, CA, USA, 2011. [Google Scholar]
- Bras, A.; Henriques, F.M.A. Natural hydraulic lime based grouts—The selection of grout injection parameters for masonry consolidation. Constr. Build. Mater. 2012, 26, 135–144. [Google Scholar] [CrossRef]
- Naber, C.; Stegmeyer, S.; Jansen, D.; Goetz-Neunhoeffer, F.; Neubauer, J. The PONKCS method applied for time resolved XRD quantification of supplementary cementitious material reactivity in hydrating mixtures with ordinary Portland cement. Constr. Build. Mater. 2019, 214, 449–457. [Google Scholar] [CrossRef]
- Ding, J.-T.; Li, Z. Effects of metakaolin and silica fume on properties of concrete. ACI Mater. J. 2002, 99, 393–398. [Google Scholar]
- Gelardi, G.; Mantellato, S.; Marchon, D.; Palacios, M.; Eberhardt, A.B.; Flatt, R.J. Chemistry of chemical admixtures. In Science and Technology of Concrete Admixtures; Aïtcin, P.C., Flatt, R.J., Eds.; Woodhead Publishing: Sawston, UK, 2016; pp. 149–218. [Google Scholar]
- Lowke, D.; Gehlen, C. The zeta potential of cement and additions in cementitious suspensions with high solid fraction. Cem. Concr. Res. 2017, 95, 195–204. [Google Scholar] [CrossRef]
- Wang, Z.; Wu, H.; Xu, Y.; Shu, K.; Yang, J.; Luo, L.; Xu, L. Effect of dissolved fluorite and barite species on the flotation and adsorption behavior of bastnaesite. Sep. Purif. Technol. 2020, 237, 116387. [Google Scholar] [CrossRef]
- Wang, Y.; Khoso, S.A.; Luo, X.; Tian, M. Understanding the depression mechanism of citric acid in sodium oleate flotation of Ca2+-activated quartz: Experimental and DFT study. Miner. Eng. 2019, 140, 105878. [Google Scholar] [CrossRef]
- Zhang, Y.; Kong, X. Correlations of the dispersing capability of NSF and PCE types of superplasticizer and their impacts on cement hydration with the adsorption in fresh cement pastes. Cem. Concr. Res. 2015, 69, 1–9. [Google Scholar] [CrossRef]
- Pourchet, S.; Liautaud, S.; Rinaldi, D.; Pochard, I. Effect of the repartition of the PEG side chains on the adsorption and dispersion behaviors of PCP in presence of sulfate. Cem. Concr. Res. 2012, 42, 431–439. [Google Scholar] [CrossRef]
- Plank, J.; Vlad, D.; Brand, A.; Chatziagorastou, P. Colloidal chemistry examination of the steric effect of polycarboxylate superplasticizers. Cem. Int. 2005, 3, 100–110. [Google Scholar]
- Vikan, H.; Justnes, H.; Figi, R. Adsorption of plasticizers-Influence of plasticizer and cement type. Ann. Trans. Nord. Rheol. Soc. 2005, 13, 127–134. [Google Scholar]
- Rodriguez-Navarro, C.; Ruiz-Agudo, E.; Ortega-Huertas, M.; Hansen, E. Nanostructure and irreversible colloidal behavior of Ca(OH)2: Implications in cultural heritage conservation. Langmuir 2005, 21, 10948–10957. [Google Scholar] [CrossRef] [PubMed]
- Ma, B.; Peng, Y.; Tan, H.; Lv, Z.; Deng, X. Effect of polyacrylic acid on rheology of cement paste plasticized by polycarboxylate superplasticizer. Materials 2018, 11, 1081. [Google Scholar] [CrossRef]
- Lewis, R.; Fidjestøl, P. Microsilica as an Addition. In Lea’s Chemistry of Cement and Concrete, 5th ed.; Hewlett, P.C., Liska, M., Eds.; Butterworth-Heinemann Elsevier Ltd.: Oxford, UK, 2019; pp. 509–535. [Google Scholar]
- Kim, B.G.; Jiang, S.; Jolicoeur, C.; Aïtcin, P.C. The adsorption behavior of PNS superplasticizer and its relation to fluidity of cement paste. Cem. Concr. Res. 2000, 30, 887–893. [Google Scholar] [CrossRef]
- Yamada, K.; Hanehara, S.; Honma, K. Effects of naphthalene sulfonate-type and polycarboxylate-type superplasticizers on the fluidity of belite-rich cement concrete. In Proceeding of Self-Compacting Concrete Workshop; Ozawa, K., Ed.; Tokyo JSCE: Kochi, Japan, 1998; pp. 201–210. [Google Scholar]
- Pérez-Nicolás, M.; Plank, J.; Ruiz-Izuriaga, D.; Navarro-Blasco, I.; Fernández, J.M.; Alvarez, J.I. Photocatalytically active coatings for cement and air lime mortars: Enhancement of the activity by incorporation of superplasticizers. Constr. Build. Mater. 2018, 162, 628–648. [Google Scholar] [CrossRef]
- Alonso, M.M.; Puertas, F. Adsorption of PCE and PNS superplasticisers on cubic and orthorhombic C3A. Effect of sulphate. Constr. Build. Mater. 2015, 78, 324–333. [Google Scholar] [CrossRef]














| Admixture | Mw (Da) | Anionic Charge Density (meq g−1) | Elemental Composition | |||||
|---|---|---|---|---|---|---|---|---|
| C (%) | H (%) | O (%) | N (%) | S (%) | Na (%) | |||
| PCE | 8000 | 0.43 ± 0.05 | 47.62 ± 0.80 | 7.65 ± 0.13 | 42.2 ± 0.05 | - | - | 2.53 ± 0.01 |
| SMCF | 12,302 | 2.26 ± 0.04 | 20.80 ± 0.04 | 3.71 ± 0.05 | 31.83 ± 0.30 | 23.60 ± 0.24 | 10.7 ± 0.12 | 9.36 ± 0.20 |
| PNS | 8620 | 2.44 ± 0.07 | 43.92 ± 0.46 | 3.79 ± 0.01 | 29.03 ± 0.45 | - | 12.3 ± 0.19 | 10.96 ± 0.03 |
| Oleate | n.d.* | 3.32 ± 0.13 | 69.97 ± 0.03 | 10.50 ± 0.01 | 11.30 ± 0.20 | - | - | 8.30 ± 0.21 |
| Name | Lime | Sand | Pozzolanic Addition * | Water- Repellent * Oleate | Superplasticizer * | ||||
|---|---|---|---|---|---|---|---|---|---|
| Microsilica | Metakaolin | PCE | SMFC | PNS | |||||
| Control samples (without polymeric superplasticizers) | C | 25 | 75 | - | - | - | - | - | - |
| C-MS | 25 | 75 | 20 | - | - | - | - | - | |
| C-MK | 25 | 75 | - | 20 | - | - | - | - | |
| C-O | 25 | 75 | - | - | 0.5 | - | - | - | |
| C-O-MS | 25 | 75 | 20 | - | 0.5 | - | - | - | |
| C-O-MK | 25 | 75 | - | 20 | 0.5 | - | - | - | |
| Samples without pozzolanic addition | O-PCE0.5 | 25 | 75 | - | - | 0.5 | 0.5 | - | - |
| O-SMFC0.5 | 25 | 75 | - | - | 0.5 | - | 0.5 | - | |
| O-PNS0.5 | 25 | 75 | - | - | 0.5 | - | - | 0.5 | |
| O-PCE1 | 25 | 75 | - | - | 0.5 | 1.0 | - | - | |
| O-SMFC1 | 25 | 75 | - | - | 0.5 | - | 1.0 | - | |
| O-PNS1 | 25 | 75 | - | - | 0.5 | - | - | 1.0 | |
| Samples with microsilica | O-MS-PCE0.5 | 25 | 75 | 20 | - | 0.5 | 0.5 | - | - |
| O-MS-SMFC0.5 | 25 | 75 | 20 | - | 0.5 | - | 0.5 | - | |
| O-MS-PNS0.5 | 25 | 75 | 20 | - | 0.5 | - | - | 0.5 | |
| O-MS-PCE1 | 25 | 75 | 20 | - | 0.5 | 1.0 | - | - | |
| O-MS-SMFC1 | 25 | 75 | 20 | - | 0.5 | - | 1.0 | - | |
| O-MS-PNS1 | 25 | 75 | 20 | - | 0.5 | - | - | 1.0 | |
| Samples with metakaolin | O-MK-PCE0.5 | 25 | 75 | - | 20 | 0.5 | 0.5 | - | - |
| O-MK-SMFC0.5 | 25 | 75 | - | 20 | 0.5 | - | 0.5 | - | |
| O-MK-PNS0.5 | 25 | 75 | - | 20 | 0.5 | - | - | 0.5 | |
| O-MK-PCE1 | 25 | 75 | - | 20 | 0.5 | 1.0 | - | - | |
| O-MK-SMFC1 | 25 | 75 | - | 20 | 0.5 | - | 1.0 | - | |
| O-MK-PNS1 | 25 | 75 | - | 20 | 0.5 | - | - | 1.0 | |
| Characteristic | Value |
|---|---|
| d (90) | 3.8 mm |
| d (10) | 2.9 mm |
| Porous media porosity | 47% |
| Water absorption | 6.6% |
| System | SP | Langmuir | Freundlich | ||||
|---|---|---|---|---|---|---|---|
| qm (mg g−1) | b (dm3 mg−1) | R2 | K (mg1−1/ndm3/ng−1) | 1/n | R2 | ||
| Lime–oleate | PCE | 43.2 | 0.00001 | 0.1091 | 0.00186 | 0.8475 | 0.9485 |
| Lime–oleate | SMFC | 28.2 | 0.00026 | 0.9347 | 0.01615 | 0.8239 | 0.9763 |
| Lime–oleate | PNS | 36.8 | 0.00019 | 0.9056 | 0.02251 | 0.7790 | 0.9530 |
| Sample | Bleeding * (%) | Injectability (s−1) | |
|---|---|---|---|
| Control samples (without polymeric superplasticizers) | C | - | 0.006 |
| C-MS | <1% | 0.016 | |
| C-MK | <1% | 0.000 | |
| C-O | <1% | 0.005 | |
| C-O-MS | 2 | 0.000 | |
| C-O-MK | 2 | 0.000 | |
| Samples without pozzolanic addition | O-PCE0.5 | 1 | 0.040 |
| O-SMFC0.5 | <1% | 0.015 | |
| O-PNS0.5 | 2 | 0.022 | |
| O-PCE1 | 2 | 0.050 | |
| O-SMFC1 | <1% | 0.036 | |
| O-PNS1 | 2 | 0.033 | |
| Samples with microsilica | O-MS-PCE0.5 | <1% | 0.000 |
| O-MS-SMFC0.5 | <1% | 0.000 | |
| O-MS-PNS0.5 | <1% | 0.000 | |
| O-MS-PCE1 | 4 | 0.000 | |
| O-MS-SMFC1 | 2 | 0.000 | |
| O-MS-PNS1 | 4 | 0.000 | |
| Samples with metakaolin | O-MK-PCE0.5 | <1% | 0.059 |
| O-MK-SMFC0.5 | 1 | 0.005 | |
| O-MK-PNS0.5 | 2 | 0.010 | |
| O-MK-PCE1 | <1% | 0.080 | |
| O-MK-SMFC1 | 4 | 0.022 | |
| O-MK-PNS1 | 4 | 0.000 |
| Sample | WCA | Time Interval for the Full Absorption of the Drop of Water | |||
|---|---|---|---|---|---|
| t < 5 s | 5 s < t < 10 s | t > 10 s | |||
| Control samples (without polymeric superplasticizers) | C | - | ⌧ | ||
| C-MS | - | ⌧ | |||
| C-MK | - | ⌧ | |||
| C-O | 84 ± 2.1 | ⌧ | |||
| C-O-MS | 59 ± 2.1 | ⌧ | |||
| C-O-MK | 35 ± 2.3 | ⌧ | |||
| Samples without pozzolanic addition | O-PCE0.5 | 70 ± 3.1 | ⌧ | ||
| O-SMFC0.5 | 86 ± 2.6 | ⌧ | |||
| O-PNS0.5 | 105 ± 2.8 | ⌧ | |||
| O-PCE1 | 68 ± 2.1 | ⌧ | |||
| O-SMFC1 | 54 ± 2.9 | ⌧ | |||
| O-PNS1 | 40 ± 3.2 | ⌧ | |||
| Samples with microsilica | O-MS-PCE0.5 | 44 ± 2.5 | ⌧ | ||
| O-MS-SMFC0.5 | 72 ± 2.2 | ⌧ | |||
| O-MS-PNS0.5 | 83 ± 2.6 | ⌧ | |||
| O-MS-PCE1 | 98 ± 2.8 | ⌧ | |||
| O-MS-SMFC1 | 40 ± 2.4 | ⌧ | |||
| O-MS-PNS1 | 37 ± 2.5 | ⌧ | |||
| Samples with metakaolin | O-MK-PCE0.5 | 44 ± 3.4 | ⌧ | ||
| O-MK-SMFC0.5 | 112 ± 2.0 | ⌧ | |||
| O-MK-PNS0.5 | 89 ± 2.8 | ⌧ | |||
| O-MK-PCE1 | 124 ± 2.5 | ⌧ | |||
| O-MK-SMFC1 | 44 ± 2.7 | ⌧ | |||
| O-MK-PNS1 | 56 ± 2.4 | ⌧ | |||
© 2020 by the authors. Licensee MDPI, Basel, Switzerland. This article is an open access article distributed under the terms and conditions of the Creative Commons Attribution (CC BY) license (http://creativecommons.org/licenses/by/4.0/).
Share and Cite
González-Sánchez, J.F.; Taşcı, B.; Fernández, J.M.; Navarro-Blasco, Í.; Alvarez, J.I. Combination of Polymeric Superplasticizers, Water Repellents and Pozzolanic Agents to Improve Air Lime-Based Grouts for Historic Masonry Repair. Polymers 2020, 12, 887. https://doi.org/10.3390/polym12040887
González-Sánchez JF, Taşcı B, Fernández JM, Navarro-Blasco Í, Alvarez JI. Combination of Polymeric Superplasticizers, Water Repellents and Pozzolanic Agents to Improve Air Lime-Based Grouts for Historic Masonry Repair. Polymers. 2020; 12(4):887. https://doi.org/10.3390/polym12040887
Chicago/Turabian StyleGonzález-Sánchez, Jesús Fidel, Burcu Taşcı, José María Fernández, Íñigo Navarro-Blasco, and José Ignacio Alvarez. 2020. "Combination of Polymeric Superplasticizers, Water Repellents and Pozzolanic Agents to Improve Air Lime-Based Grouts for Historic Masonry Repair" Polymers 12, no. 4: 887. https://doi.org/10.3390/polym12040887
APA StyleGonzález-Sánchez, J. F., Taşcı, B., Fernández, J. M., Navarro-Blasco, Í., & Alvarez, J. I. (2020). Combination of Polymeric Superplasticizers, Water Repellents and Pozzolanic Agents to Improve Air Lime-Based Grouts for Historic Masonry Repair. Polymers, 12(4), 887. https://doi.org/10.3390/polym12040887

