Conducting Polymer Grafting: Recent and Key Developments
Abstract
1. Introduction
2. Covalent Grafting of Conducting Polymers
| Conducting Polymer System | Grafted/Attached System | Approach | Outcome | Ref. |
|---|---|---|---|---|
| poly(3,4-ethylenedioxythiophene) | Poly(acrylic acid) | ATRP, followed by acid hydrolysis of tert-butyl acrylate | Functional biointerface and versatile cell culture substrate. | [37] |
| poly(o-methoxyaniline) | Polyacrylamide | Oxidative-radical coupling | Wastewater treatment | [44] |
| Polyaniline | Xanthan gum | Oxidative polymerization | Room temperature ammonia vapor sensor | [45] |
| Polyaniline | Novolac | Oxidative polymerization | Conductive adhesive | [47] |
| Polyaniline | Polyacrylamide | Electrospinning of copolymers in a mixed solvent | Potential electroconductive fibrous mat for supercapacitors | [48] |
| Polypyrrole | Poly(Schiff base) and poly(ethylene glycol) | Electrochemical co-polymerization of pyrrole and pre-synthesized macromonomer. | Amphiphilic conducting graft copolymer based implantable electrode for serotonin detection | [50] |
| Aniline tetramer | Dextran and (4-formylbenzoic acid). | Step-wise grafting of dextran and 4-formylbenzoic acid via polycondensation coupling reaction from hexamethylene diisocyanate-graft-aniline tetramer | Degradable, conductive, self-healing injectable hydrogel for myoblast cell therapy and muscle repair | [52] |
| Polythiophene | Poly(3-methylthienylmethacrylate) | Self-templating SI-ATRP combined with oxidative polymerization | Formation of conjugated ladder-like architecture | [57] |
| Polythiophene | poly-[N-(6-methyluracilyl)-N,N-dimethylaminochloride]ethylmethacrylate | ATRP followed by quaternization of amine groups | Water soluble conducting brush exhibiting light-Induced conformational change and thermo-responsiveness in presence of halides. | [58] |
| Poly(2-(2,5-di(pyrrol-2-yl) thiophen-3-yl) | Poly(2-hydroxyethyl methacrylate) | Electrochemically controlled ATRP (eATRP) | New grafting method to produce hydrophilic conducting graft copolymers. | [59] |
| Phenylene derivative of polythiophene | Poly(ethylene glycol) methacrylate and propargyl functionalised poly(2-n-propyl-2-oxazoline) | ATRP followed by click reaction | Soluble thermometer | [60] |
| Phenylene derivative of polythiophene | Poly(acetamidoalkyl acrylate) | ATRP | Self-healing, stretchable and wearable electronics | [61] |
| Polythiophene | Poly(ethylene oxide) | Combination of oxidative radical polymerization and click reactions | More processable amphiphilic conducting system. | [62] |
| Polythiophene | Polyselenophene | KCTP followed by click reaction | Production of all-conjugated comb-like graft architectures | [63] |
| Polythiophene | Polystyrene | Single step dual initiation polymerization technique consisting of both oxidative and metal-catalyzed radical polymerization simultaneously | Simple single step approach to prepare conducting polymer containing branched chains. | [65] |
| Polythiophene | Polyalanine | First ROP, then electropolymerization | Glucose sensor | [66] |
| Aniline trimer | Poly(ethylene glycol) and poly(l-lactic acid) | Coupling via polycondensation reaction. | Biodegradable shape memory-based superstretchable electroactive elastomer network for soft tissue engineering. | [69] |
| Polypyrrole | Poly(caprolacton) | First ROP, then oxidative polymerization | Degradable, fibrous, conducting scaffold materials for neuronal tissue engineering | [72] |
3. Non-Covalent Grafting of Conducting Polymers

| Conducting Polymer System | Grafted/Attached System | Approach | Outcome | Ref. |
|---|---|---|---|---|
| Polyaniline | Poly(ethylene glycol) | Acid doping: Electrostatic attachment | Solubility enhancement, film formation | [78,79] |
| Polythiophene | Poly(methacrylic acid) | ATRP | Novel hybrid morphology; Electrical and photoconduction | [80] |
| Poly(o-methoxyaniline) | DNA | Acid doping: Electrostatic attachment | Enhanced radical cation stabilization; Semiconducting hybrid | [81,82,83] |
| Poly(o-methoxyaniline) | DNA and silver | Redox and electrostatic | Large-band-gap semiconductor | [84] |
| Polypyrrole | DNA | In-situ polymerization in DNA solution | Distinct nanostraucture based on surface or bulk polymerization | [85] |
| Polythiophene derivative | Oligonucleotide, DNA | Co-assembly in buffer | Formation of extended dendritic fiber | [86] |
| Polyaniline | Poly(styrene sulfonate) | Doping: electrostatic attachment | Porous microstructure; Improved capacitance performance | [87] |
| Cationic polythiophene | Polysaccharide | Electrostatic | Hybrids with temperature responsiveness in solution and vapor responsiveness in film state | [89] |
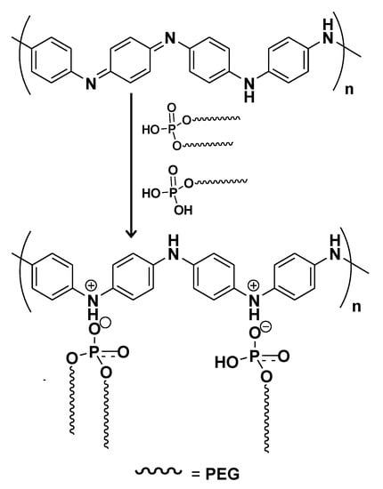
| Polyaniline | Poly(ethylene glycol) | Pseudo rotaxane formation | Solubility enhancement; morphology transition; high radical cation stability; adaptive complexation with DNA in aqueous medium | [90] |
4. Outlook
Funding
Conflicts of Interest
References
- Ibanez, J.G.; Rincón, M.E.; Gutierrez-Granados, S.; Chahma, M.; Jaramillo-Quintero, O.A.; Frontana-Uribe, B.A. Conducting polymers in the fields of energy, environmental remediation, and chemical–chiral sensors. Chem. Rev. 2018, 118, 4731–4816. [Google Scholar] [CrossRef] [PubMed]
- Swager, T.M. 50th anniversary perspective: Conducting/semiconducting conjugated polymers. a personal perspective on the past and the future. Macromolecules 2017, 50, 4867–4886. [Google Scholar] [CrossRef]
- Han, Y.; Dai, L. Conducting polymers for flexible supercapacitors. Macromol. Chem. Phys. 2019, 220, 1800355. [Google Scholar] [CrossRef]
- Meng, Q.; Cai, K.; Chen, Y.; Chen, L. Research progress on conducting polymer based supercapacitor electrode materials. Nano Energy 2017, 36, 268–285. [Google Scholar] [CrossRef]
- Le, T.-H.; Kim, Y.; Yoon, H. Electrical and electrochemical properties of conducting polymers. Polymers 2017, 9, 150. [Google Scholar] [CrossRef]
- Ghosh, S.; Maiyalagan, T.; Basu, R.N. Basu. Nanostructured conducting polymers for energy applications: Towards a sustainable platform. Nanoscale 2016, 8, 6921–6947. [Google Scholar] [CrossRef]
- Nezakati, T.; Seifalian, A.; Tan, A.; Seifalian, A.M. Conductive polymers: Opportunities and challenges in biomedical applications. Chem. Rev. 2018, 118, 6766–6843. [Google Scholar] [CrossRef]
- Guo, B.; Glavas, L.; Albertsson, A.C. Biodegradable and electrically conducting polymers for biomedical applications. Prog. Polym. Sci. 2013, 38, 1263–1286. [Google Scholar] [CrossRef]
- Guo, B.; Ma, P.X. Conducting polymers for tissue engineering. Biomacromolecules 2018, 19, 1764–1782. [Google Scholar] [CrossRef]
- Moon, J.-M.; Thapliyal, N.; Hussain, K.K.; Goyal, R.N.; Shim, Y.-B. Conducting polymer-based electrochemical biosensors for neurotransmitters: A review. Biosens. Bioelectron. 2018, 102, 540–552. [Google Scholar] [CrossRef]
- Green, R.; Abidian, M.R. Conducting polymers for neural prosthetic and neural interface applications. Adv. Mater. 2015, 27, 7620–7637. [Google Scholar] [CrossRef] [PubMed]
- Heeger, A.J. Semiconducting and metallic polymers: The fourth generation of polymeric materials. Angew. Chem. Int. Ed. 2001, 40, 2591–2611. [Google Scholar] [CrossRef]
- Inagi, S.; Fuchigami, T. Electrochemical Post-Functionalization of Conducting Polymers. Macromol. Rapid Commun. 2014, 35, 854–867. [Google Scholar] [CrossRef] [PubMed]
- Sapurina, I.Y.; Shishov, M. Oxidative polymerization of aniline: Molecular synthesis of polyaniline and the formation of supramolecular structures. In New Polymers for Special Applications; De Souza Gomes, A., Ed.; InTech: Winchester, UK, 2012. [Google Scholar]
- Abu-Thabit, N.Y. Chemical Oxidative Polymerization of polyaniline: A practical approach for preparation of smart conductive textiles. J. Chem. Educ. 2016, 93, 1606–1611. [Google Scholar] [CrossRef]
- Petsagkourakis, I.; Kim, N.; Tybrandt, K.; Zozoulenko, I.; Crispin, X. Poly(3,4-ethylenedioxythiophene): Chemical synthesis, transport properties, and thermoelectric devices. Adv. Electron. Mater. 2019, 5, 1800918. [Google Scholar] [CrossRef]
- Kojabad, Z.D.; Shojaosadati, S.A. Chemical synthesis of polypyrrole nanostructures: Optimization and applications for neural microelectrodes. Mater. Des. 2016, 96, 378–384. [Google Scholar] [CrossRef]
- Ramírez, A.M.R.; Gacitúa, M.A.; Ortega, E.; Díaz, F.R.; del Valle, M.A. Electrochemical in situ synthesis of polypyrrole nanowires. Electrochem. Commun. 2019, 102, 94–98. [Google Scholar] [CrossRef]
- Xiao, R.; Cho, S.; Liu, R.; Lee, S.B. Controlled electrochemical synthesis of conductive polymer nanotube structures. J. Am. Chem. Soc. 2007, 129, 4483–4489. [Google Scholar] [CrossRef]
- Admassie, S.; Elfwing, A.; Inganäs, O. Electrochemical synthesis and characterization of interpenetrating networks of conducting polymers for enhanced charge storage. Adv. Mater. Interfaces 2016, 3, 1500533. [Google Scholar] [CrossRef]
- Lindfors, T.; Boevaac, Z.A.; Latonen, R.-M. Electrochemical synthesis of poly(3,4- ethylenedioxythiophene) in aqueous dispersion of high porosity reduced graphene oxide. RSC Adv. 2014, 4, 25279–25286. [Google Scholar] [CrossRef]
- Heydarnezhad, H.R.; Pourabbas, B.; Tayefi, M. Conducting electroactive polymers via photopolymerization: A review on synthesis and applications. Polym. Plast. Technol. Eng. 2018, 57, 1093–1109. [Google Scholar] [CrossRef]
- de Barros, R.A.; de Azevedo, W.M.; de Aguiar, F.M. Photo-induced polymerization of polyaniline. Mater. Charact. 2003, 50, 131–134. [Google Scholar] [CrossRef]
- Evans, P.; Grigg, R.; Monteith, M. Metathesis of aniline and 1,2-Dihydroquinoline Derivatives. Tetrahed. Lett. 1999, 40, 5247–5250. [Google Scholar] [CrossRef]
- Masuda, T.; Karim, S.M.; Nomura, R. Synthesis of acetylene-based widely conjugated polymers by metathesis polymerization and polymer properties. J. Mol. Cataly. A Chem. 2000, 160, 125–131. [Google Scholar] [CrossRef]
- Palaniappan, S.; John, A. Polyaniline materials by emulsion polymerization pathway. Prog. Polym. Sci. 2008, 33, 732–758. [Google Scholar] [CrossRef]
- Khadem, F.; Pishvaei, M.; Salami-Kalajahi, M.; Najafi, F. Morphology control of conducting polypyrrole nanostructures via operational conditions in the emulsion polymerization. J. Appl. Polym. Sci. 2017, 44697. [Google Scholar] [CrossRef]
- Nowaczyk, J.; Kadac, K.; Olewnik-Kruszkowska, E. Emulsion polymerization of thiophene–the new way of conducting polymer synthesis. Adv. Sci. Technol. Res. J. 2015, 9, 118–122. [Google Scholar] [CrossRef]
- Park, C.-S.; Jung, E.Y.; Kim, D.H.; Kim, D.Y.; Lee, H.-K.; Shin, B.J.; Lee, D.H.; Tae, H.-S. Atmospheric pressure plasma polymerization synthesis and characterization of polyaniline films doped with and without iodine. Materials 2017, 10, 1272. [Google Scholar] [CrossRef]
- Liu, C.; Goeckner, M.J.; Walker, A.V. Plasma polymerization of poly(3,4-ethylenedioxyethene) films: The influence of plasma gas phase chemistry. J. Vac. Sci. Technol. A 2017, 35, 021302. [Google Scholar] [CrossRef]
- Mei, J.; Bao, Z. Side chain engineering in solution-processable conjugated polymers. Chem. Mater. 2014, 26, 604–615. [Google Scholar] [CrossRef]
- McCullough, L.A.; Matyjaszewski, K. Conjugated conducting polymers as components in block copolymer systems. Mol. Cryst. Liq. Cryst. 2010, 521, 1–55. [Google Scholar] [CrossRef]
- Bhattacharya, A.; Misra, B.N. Grafting: A versatile means to modify polymers Techniques, factors and applications. Prog. Polym. Sci. 2004, 29, 767–814. [Google Scholar] [CrossRef]
- Kato, K.; Uchida, E.; Kang, E.-T.; Uyama, Y.; Ikada, Y. Polymer surface with graft chains. Prog. Polym. Sci. 2003, 28, 209–259. [Google Scholar] [CrossRef]
- Hackett, A.J.; Strover, L.T.; Baek, P.; Malmström, J.; Travas-Sejdic, J. Polymer grafted conjugated polymers as functional biointerfaces. In Conjugated Polymers for Biological and Biomedical Applications; Liu, B., Ed.; Wiley-VCH: Weinheim, Germany, 2018. [Google Scholar]
- Zdyrko, B.; Luzinov, I. Polymer brushes by the grafting to method. Macromol. Rapid Commun. 2011, 32, 859–869. [Google Scholar] [CrossRef] [PubMed]
- Malmström, J.; Nieuwoudt, M.K.; Strover, L.T.; Hackett, A.; Laita, O.; Brimble, M.A.; Williams, D.E.; Jadranka, T.S. Grafting from poly(3,4-ethylenedioxythiophene): A simple route to versatile electrically addressable surfaces. Macromolecules 2013, 46, 4955–4965. [Google Scholar] [CrossRef]
- Maione, S.; Fabregat, G.; del Valle, L.J.; Bendrea, A.-D.; Cianga, L.; Cianga, I.; Estrany, F.; Aleman, C. Effect of the graft ratio on the properties of polythiophene-g-poly(ethylene glycol). J. Polym. Sci. Part B Polym. Phys. 2015, 53, 239–252. [Google Scholar] [CrossRef]
- Toshima, N.; Hara, S. Direct synthesis of conducting polymers from simple monomers. Prog. Polym. Sci. 1995, 20, 155–183. [Google Scholar] [CrossRef]
- Nazzal, A.; Street, G.B. Pyrrole–styrene graft copolymers. J. Chem. Soc. Chem. Commun. 1985, 375–376. [Google Scholar] [CrossRef]
- Khairkar, S.R.; Raut, A.R. Synthesis of chitosan-graft-polyaniline-based composites. Am. J. Mater. Sci. Eng. 2014, 2, 62–67. [Google Scholar] [CrossRef]
- Abd El-Salam, H.M.; Kamal, E.H.M.; Ibrahim, M.S. Synthesis and characterization of chitosan-grafted-poly(2-hydroxyaniline) microstructures for water decontamination. J. Polym. Environ. 2017, 25, 973–982. [Google Scholar] [CrossRef]
- Abd El-Salam, H.M.; Kamal, E.H.M.; Ibrahim, M.S. Cleaning of wastewater from total coliform using chitosan-grafted-poly(2-methylaniline). J. Polym. Environ. 2018, 26, 3412–3421. [Google Scholar] [CrossRef]
- Abd El-Salam, H.M.; Mohamed, R.A.; Shokry, A. Preparation and characterization of novel and selectivepolyacrylamide-graft-poly(2-methoxyaniline) adsorbent for lead removal. Polym. Bull. 2018, 75, 3189–3210. [Google Scholar] [CrossRef]
- Pandey, S.; Ramontja, J. Rapid, facile microwave-assisted synthesis of xanthan gum grafted polyaniline for chemical sensor. Int. J. Biol. Macromol. 2016, 89, 89–98. [Google Scholar] [CrossRef] [PubMed]
- Ramaprasada, A.T.; Lathab, D.; Rao, V. Synthesis and characterization of polypyrrole grafted chitin. J. Phys. Chem. Solids 2017, 104, 169–174. [Google Scholar] [CrossRef]
- Mohammad-Rezaei, R.; Massoumi, B.; Abbasian, M.; Eskandani, M.; Jaymand, M. Electrically conductive adhesive based on novolac-grafted polyaniline: Synthesis and characterization. J. Mater. Sci. Mater. Electron. 2019, 30, 2821–2828. [Google Scholar] [CrossRef]
- Smirnov, M.A.; Tarasova, E.V.; Vorobiov, V.K.; Kasatkin, I.A.; Mikli, V.; Sokolova, M.P.; Bobrova, N.V.; Vassiljeva, V.; Krumme, A.; Yakimanskiy, A.V. Electroconductive fibrous mat prepared by electrospinning of polyacrylamide-g-polyaniline copolymers as electrode material for supercapacitors. J. Mater. Sci. 2019, 54, 4859–4873. [Google Scholar] [CrossRef]
- Ma, L.; Jayachandran, S.; Li, Z.; Song, Z.; Wang, W.; Luo, X. Antifouling and conducting PEDOT derivative grafted with polyglycerol for highly sensitive electrochemical protein detection in complex biological media. J. Electroanal. Chem. 2019, 840, 272–278. [Google Scholar] [CrossRef]
- Molina, B.G.; Cianga, L.; Bendrea, A.-D.; Cianga, I.; del Valle, L.J.; Estrany, F.; Alemán, C.; Armelin, E. Amphiphilic polypyrrole-poly(Schiff base) copolymers with poly(ethylene glycol) side chains: Synthesis, properties and applications. Polym. Chem. 2018, 9, 4218–4232. [Google Scholar] [CrossRef]
- Hatamzadeh, M.; Mohammad-Rezaei, R.; Jaymand, M. Chemical and electrochemical grafting of polypyrroleonto thiophene-functionalized polystyrene macromonomer. Mater. Sci. Semicond. Process. 2015, 31, 463–470. [Google Scholar] [CrossRef]
- Guo, B.; Qu, J.; Zhao, X.; Zhang, M. Degradable conductive self-healing hydrogels based on dextran-graft-tetraaniline and N-carboxyethyl chitosan as injectable carriers for myoblast cell therapyand muscle regeneration. Acta Biomater. 2019, 84, 180–193. [Google Scholar] [CrossRef]
- Qu, J.; Zhao, X.; Liang, Y.; Xu, Y.; Ma, P.X.; Guo, B. Degradable conductive injectable hydrogels as novelantibacterial, anti-oxidant wound dressings for wound healing. Chem. Eng. J. 2019, 362, 548–560. [Google Scholar] [CrossRef]
- Daugaard, A.E.; Hvilsted, S.; Hansen, T.S.; Larsen, N.B. Conductive polymer functionalization by click chemistry. Macromolecules 2008, 41, 4321–4327. [Google Scholar] [CrossRef]
- Martin, K.L.; Nyquist, Y.; Burnett, E.K.; Briseno, A.L.; Carter, K.R. Surface grafting of functionalized poly(thiophene)s using thiol−ene click chemistry for thin film stabilization. ACS Appl. Mater. Interfaces 2016, 8, 30543–30551. [Google Scholar] [CrossRef] [PubMed]
- Zhao, H.; Zhu, B.; Luo, S.C.; Lin, H.A.; Nakao, A.; Yamashita, Y.; Yu, H.H. Controlled protein absorption and cell adhesion on polymer-brush-grafted poly(3,4-ethylenedioxythiophene) films. ACS Appl. Mater. Interfaces 2013, 5, 4536–4543. [Google Scholar] [CrossRef] [PubMed]
- Wolski, K.; Gruszkiewicz, A.; Wytrwal-Sarna, M.; Bernasik, A.; Zapotoczny, S. The grafting density and thickness of polythiophene-based brushes determine the orientation, conjugation length and stability of the grafted chains. Polym. Chem. 2017, 8, 6250–6262. [Google Scholar] [CrossRef]
- Ghosh, R.; Das, S.; Bhattacharyya, K.; Chatterjee, D.P.; Biswas, A.; Nandi, A.K. Light-induced conformational change of uracil-anchored polythiophene-regulating thermo-responsiveness. Langmuir 2018, 34, 12401–12411. [Google Scholar] [CrossRef]
- Strover, L.T.; Malmström, J.; Stubbing, L.A.; Brimble, M.A.; Travas-Sejdic, J. Electrochemically-controlled grafting of hydrophilic brushes from conducting polymer substrates. Electrochim. Acta 2016, 188, 57–70. [Google Scholar] [CrossRef]
- Chan, E.W.C.; Baek, P.; De la Rosa, V.R.; Barker, D.; Hoogenboom, R.; Travas-Sejdic, J. Thermoresponsive laterally-branched polythiophene phenylene derivative as water-soluble temperature sensor. Polym. Chem. 2017, 8, 4352–4358. [Google Scholar] [CrossRef]
- Voorhaar, L.; Chan, E.W.C.; Baek, P.; Wang, M.; Nelson, A.; Barker, D.; Travas-Sejdic, J. Self-healing polythiophene phenylenes for stretchable electronics. Eur. Polym. J. 2018, 105, 331–338. [Google Scholar] [CrossRef]
- Mohamed, M.G.; Cheng, C.-C.; Lin, Y.-C.; Huang, C.-W.; Lu, F.-H.; Changa, F.-C.; Kuo, S.-W. Synthesis and self-assembly of water-soluble polythiophene-graft-poly(ethylene oxide)copolymers. RSC Adv. 2014, 4, 21830–21839. [Google Scholar] [CrossRef]
- Obhi, N.K.; Peda, D.M.; Kynaston, E.L.; Seferos, D.S. Exploring the graft-to synthesis of all-Conjugated comb copolymers using azide−alkyne click chemistry. Macromolecules 2018, 51, 2969–2978. [Google Scholar] [CrossRef]
- Massoumi, B.; Farnoudian-Habibi, A.; Jaymand, M. Chemical and electrochemical grafting of polythiophene onto poly(vinyl chloride): Synthesis, characterization, and materials properties. J. Solid State Electrochem. 2016, 20, 489–497. [Google Scholar] [CrossRef]
- Hong, J.K.; Kim, Y.S.; Cho, W.; Kim, J.H. Single-step preparation of polythiophene bearing branched chains by dual initiation polymerization. Macromol. Res. 2017, 25, 243–248. [Google Scholar] [CrossRef]
- Akbulut, H.; Yavuz, M.; Guler, E.; Demirkol, D.O.; Endo, T.; Yamada, S.; Timur, S.; Yagci, Y. Electrochemical deposition of polypeptides: Bio-based covering materials for surface design. Polym. Chem. 2014, 5, 3929–3936. [Google Scholar] [CrossRef]
- Guler, E.; Akbulut, H.; Bozokalfa, G.; Demir, B.; Eyrilmez, G.O.; Yavuz, M.; Demirkol, D.O.; Coskunol, H.; Endo, T.; Yamada, S.; et al. Bioapplications of polythiophene-g-polyphenylalanine-covered surfaces. Macromol. Chem. Phys. 2015, 216, 1868–1878. [Google Scholar] [CrossRef]
- da Silva, A.C.; de Torresi, S.I.C. Advances in Conducting, Biodegradable and Biocompatible Copolymers for Biomedical Applications. Front. Mater. 2019, 6, 98. [Google Scholar] [CrossRef]
- Chen, J.; Guo, B.; Eyster, T.W.; Ma, P.X. Super stretchable electroactive elastomer formation driven by aniline trimer self-assembly. Chem. Mater. 2015, 27, 5668–5677. [Google Scholar] [CrossRef]
- Chen, J.; Dong, R.; Ge, J.; Guo, B.; Ma, P.X. Biocompatible, biodegradable, and electroactive polyurethane-urea elastomers with tunablehydrophilicity for skeletal muscle tissue engineering. ACS Appl. Mater. Interfaces 2015, 7, 28273–28285. [Google Scholar] [CrossRef]
- Spicer, C.D.; Booth, M.A.; Mawad, D.; Armgarth, A.; Nielsen, C.B.; Stevens, M.M. Synthesis of hetero-bifunctional, end-capped oligo-EDOT derivatives. Chem 2017, 2, 125–138. [Google Scholar] [CrossRef]
- Guo, H.; Qiao, T.; Jiang, S.; Li, T.; Song, P.; Zhang, B.; Song, X. Aligned poly (glycolide-lactide) fiber membranes with conducting polypyrrole. Polym. Adv. Technol. 2017, 28, 484–490. [Google Scholar] [CrossRef]
- da Silva, A.C.; Semeano, A.T.S.; Dourado, A.H.B.; Ulrich, H.; de Torresi, S.I.C. Novel conducting and biodegradable copolymers with noncytotoxic properties toward embryonic stem cells. ACS Omega 2018, 3, 5593–5604. [Google Scholar] [CrossRef] [PubMed]
- Wang, J.; Higashihara, T. Synthesis of all-conjugated donor–acceptor block copolymers and their application in all-polymer solar cells. Polym. Chem. 2013, 4, 5518–5526. [Google Scholar] [CrossRef]
- Ohkawa, H.; Ligthart, G.B.W.L.; Sijbesma, R.P.; Meijer, E.W. Supramolecular graft copolymers based on 2,7-Diamido-1,8-naphthyridines. Macromolecules 2007, 40, 1453–1459. [Google Scholar] [CrossRef]
- Moers, C.; Nuhn, L.; Wissel, M.; Stangenberg, R.; Mondeshki, M.; Berger-Nicoletti, E.; Thomas, A.; Schaeffel, D.; Koynov, K.; Klapper, M.; et al. Supramolecular linear-g-hyperbranched graft polymers: Topology and binding strength of hyperbranched side chains. Macromolecules 2013, 46, 9544–9553. [Google Scholar] [CrossRef]
- Szillat, F.; Schmidt, B.V.K.J.; Hubert, A.; Barner-Kowollik, C.; Ritter, H. Redox-switchable supramolecular graft polymer formation via ferrocene–cyclodextrin assembly. Macromol. Rapid Commun. 2014, 35, 1293–1300. [Google Scholar] [CrossRef]
- Geng, Y.H.; Sun, Z.C.; Li, J.; Jing, X.B.; Wang, X.H.; Wang, F.S. Water soluble polyaniline and its blend films prepared by aqueous solution casting. Polymer 1999, 40, 5723–5727. [Google Scholar] [CrossRef]
- Nandan, B.; Chen, H.-L.; Liao, C.-S.; Chen, S.-A. Self-assembly and crystallization in a supramolecular hairy rod polymer from the complex of polyaniline with w -Methoxy poly(ethyleneoxide) phosphates. Macromolecules 2004, 37, 9561–9570. [Google Scholar] [CrossRef]
- Das, S.; Chatterjee, D.P.; Nandi, A.K. Supramolecular assembly of polythiophene-g-polymethacrylic acid-doped polyaniline with interesting morphological and opto-electronic properties. J. Mater. Chem. A 2014, 2, 12031–12042. [Google Scholar] [CrossRef]
- Dawn, A.; Nandi, A.K. Biomolecular hybrid of a conducting polymer with DNA: Morphology, structure, and doping behavior. Macromol. Biosci. 2005, 5, 441–450. [Google Scholar] [CrossRef]
- Dawn, A.; Nandi, A.K. Slow doping rate in DNA-poly(o-methoxyaniline) hybrid: Uncoiling of poly(o-methoxyaniline) chain on DNA template. Macromolecules 2005, 38, 10067–10073. [Google Scholar] [CrossRef]
- Dawn, A.; Nandi, A.K. Simple method for the preparation of DNA-Poly(o-methoxyaniline) hybrid: Structure, morphology, and uncoiling of poly(o-methoxyaniline) on the DNA surface. Langmuir 2006, 22, 3273–3279. [Google Scholar] [CrossRef] [PubMed]
- Dawn, A.; Nandi, A.K. Formation of silver nanoparticles in deoxyribonucleic acid-poly(o-methoxyaniline) hybrid: A novel nano-biocomposite. J. Phys. Chem. B 2006, 110, 18291–18298. [Google Scholar] [CrossRef] [PubMed]
- Dong, L.; Hollis, T.; Fishwick, S.; Connolly, B.A.; Wright, N.G.; Horrocks, B.R.; Houlton, A. Synthesis, manipulation and conductivity of supramolecular polymer nanowires. Chem. Eur. J. 2007, 13, 822–828. [Google Scholar] [CrossRef] [PubMed]
- Leclercq, M.; Rubio-Magnieto, J.; Mohammed, D.; Gabriele, S.; Leclercq, L.; Cottet, H.; Richeter, S.; Clément, S.; Surin, M. Supramolecular self-assembly of DNA with a cationic polythiophene: From polyplexes to fibers. ChemNanoMat 2019, 5, 703–709. [Google Scholar] [CrossRef]
- Dai, T.; Jia, Y. Supramolecular hydrogels of polyaniline-poly(styrene sulfonate) prepared in concentrated solutions. Polymer 2011, 52, 2550–2558. [Google Scholar] [CrossRef]
- Sakurai, K.; Uezu, K.; Numata, M.; Hasegawa, T.; Li, C.; Kaneko, K.; Shinkai, S. β-1,3-Glucan polysaccharides as novel one-dimensional hosts for DNA/RNA, conjugated polymers and nanoparticles. Chem. Commun. 2005, 4383–4398. [Google Scholar] [CrossRef]
- Shiraki, T.; Dawn, A.; Tsuchiya, Y.; Shinkai, S. Thermo- and solvent-responsive polymer complex created from supramolecular complexation between a helix-forming polysaccharide and a cationic polythiophene. J. Am. Chem. Soc. 2010, 132, 13928–13935. [Google Scholar] [CrossRef]
- Maity, N.; Dawn, A.; Kuila, A.; Nandi, A.K. Supramolecular grafting of doped polyaniline leads to an unprecedented solubility enhancement, radical cation stabilization, and morphology transformation. J. Mater. Chem. A 2018, 6, 12654–12662. [Google Scholar] [CrossRef]


















© 2020 by the authors. Licensee MDPI, Basel, Switzerland. This article is an open access article distributed under the terms and conditions of the Creative Commons Attribution (CC BY) license (http://creativecommons.org/licenses/by/4.0/).
Share and Cite
Maity, N.; Dawn, A. Conducting Polymer Grafting: Recent and Key Developments. Polymers 2020, 12, 709. https://doi.org/10.3390/polym12030709
Maity N, Dawn A. Conducting Polymer Grafting: Recent and Key Developments. Polymers. 2020; 12(3):709. https://doi.org/10.3390/polym12030709
Chicago/Turabian StyleMaity, Nabasmita, and Arnab Dawn. 2020. "Conducting Polymer Grafting: Recent and Key Developments" Polymers 12, no. 3: 709. https://doi.org/10.3390/polym12030709
APA StyleMaity, N., & Dawn, A. (2020). Conducting Polymer Grafting: Recent and Key Developments. Polymers, 12(3), 709. https://doi.org/10.3390/polym12030709

