Characteristics of Low Band Gap Copolymers Containing Anthracene-Benzothiadiazole Dicarboxylic Imide: Synthesis, Optical, Electrochemical, Thermal and Structural Studies
Abstract
1. Introduction
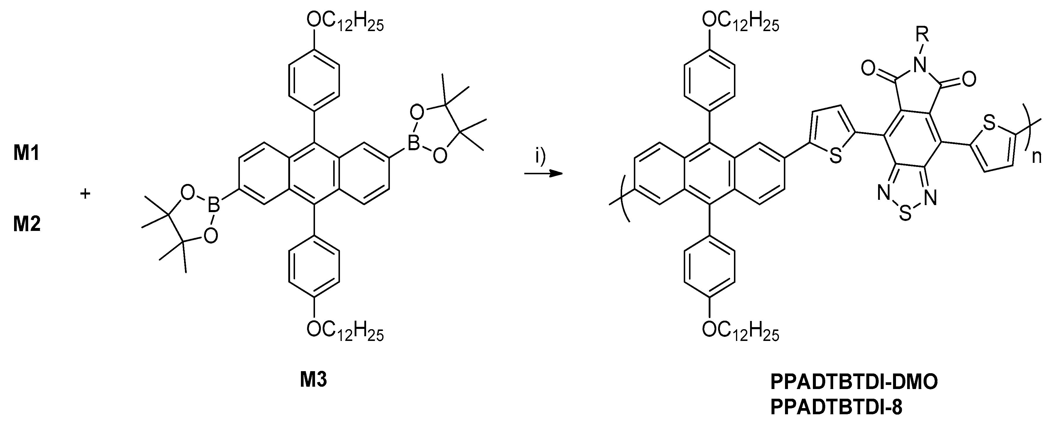
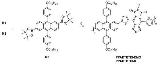
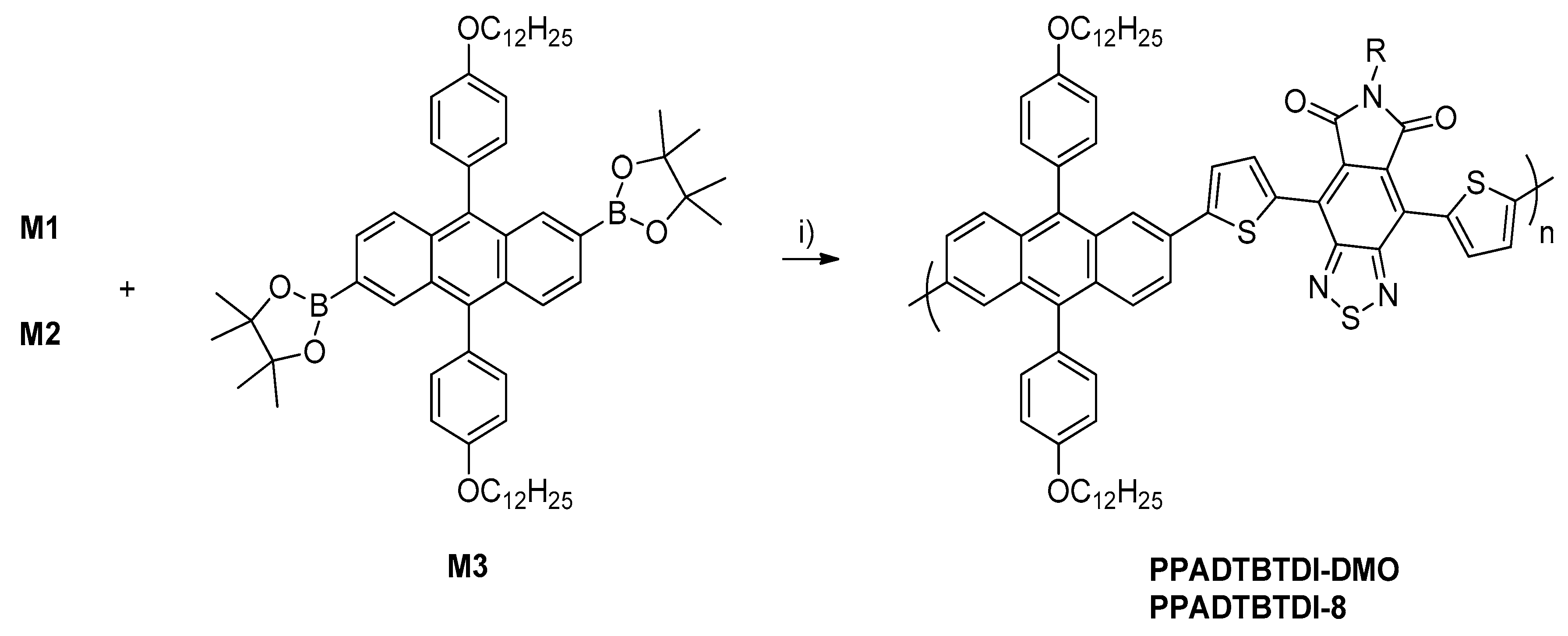
- i)
- NBS, DMF, −15 °C, room temperature, overnight;
- ii)
- Fuming H2SO4 (20% free SO3), conc. H2SO4, conc. HNO3, 20 °C, 20–30 °C, 3 h;
- iii)
- 2-(tributylstannyl)thiophene, anhydrous toluene, PdCl2(PPh3)2, 115 °C, 24 h;
- iv)
- Anhydrous SnCl2, HCl (35%), ethanol, 30 °C, 24 h, NaOH (25%);
- v)
- PhNSO, TMSCl, anhydrous pyridine, 3 h, RT, HCl (1.0 N);
- vi)
- Dimethyl acetylenedicarboxylate, anhydrous xylene, reflux 24 h;
- vii)
- Aqueous NaOH, ethanol, reflux 24 h, HCl (35%);
- viii)
- Anhydrous Ac2O, anhydrous xylene, 130 °C, 6 h; ix) dichloromethane (DCM), PPh3, NBS, RT, 90 min;
- ix)
- Potassium phthalimide, anhydrous DMF, 90 °C, 17 h, KOH;
- x)
- Hydrazine hydrate (51%), methanol, reflux, HCl (5.0 M), reflux, 1 h;
- xi)
- HOAc (100%), 100 °C overnight, Ac2O, 100 °C, 6 h;
- xii)
- NBS, THF, RT, overnight.
2. Experimental Methodology
2.1. Materials
2.2. Measurements
2.3. Monomers and Polymers Synthesis
2.3.1. Synthesis of 2,5-dibromothiophene (1)
2.3.2. Synthesis of 2,5-dibromo-3,4-dinitrothiophene (2)
2.3.3. Synthesis of 3′,4′-dinitro-2,2′:5′,2″-terthiophene (3)
2.3.4. Synthesis of 3′,4′-diamino-2,2′:5,2″-terthiophene (4)
2.3.5. Synthesis of 4,6-bis(2-thienyl)-thieno[3,4-c][1,2,5]-thiadiazole (5)
2.3.6. Synthesis of 4,7-di(thien-2-yl)-2,1,3-benzothiadiazole-5,6-dimethyl ester (6)
2.3.7. Synthesis of 4,7-di(thien-2-yl)-2,1,3-benzothiadiazole-5,6-dicarboxylic acid (7)
2.3.8. Synthesis of 4,7-di(thien-2-yl)-2,1,3-benzothiadiazole-5,6-dicarboxylic anhydride (8)
2.3.9. Synthesis of 3,7-dimethyloctyl bromide (9)
2.3.10. Synthesis of N-(3,7-dimethyloctyl) phthalimide (10)
2.3.11. Synthesis of 3,7-dimethyl-1-octanamine (11)
2.3.12. Synthesis of 4,7-di(thien-2-yl)-2,1,3-benzothiadiazole-5,6-N-(3,7-dimethyloctyl)dicarboxylic imide (12)
2.3.13. Synthesis of 4,7-di(thien-2-yl)-2,1,3-benzothiadiazole-5,6-N-octyl-dicarboxylic imide (13)
2.3.14. Synthesis of 4,7-di(5-bromo-thien-2-yl)-2,1,3-benzothiadiazole-5,6-N-(3,7-dimethyloctyl)dicarboxylic imide (M1)
2.3.15. Synthesis of 4,7-di(5-bromo-thien-2-yl)-2,1,3-benzothiadiazole-5,6-N-octyl-dicarboxylic imide (M2)
2.3.16. Poly[9,10-bis(4-(dodecyloxy)phenyl)-2,6-anthracene-alt-5,5-(4′,7′-bis(2-thienyl)-2′,1′,3′-benzothiadiazole-N-5,6-(3,7-dimethyloctyl)dicarboxylic imide)] (PPADTBTDI-DMO)
2.3.17. Poly[9,10-bis(4-(dodecyloxy)phenyl)-2,6-anthracene-alt-5,5-(4′,7′-bis(2-thienyl)-2′,1′,3′-benzothiadiazole-5,6-N-octyl-dicarboxylic imide)] (PPADTBTDI-8)
3. Results and Discussion
3.1. Molecular Weights and Yield
3.2. Optical Properties
3.3. Electrochemical Properties
3.4. Thermal Properties
3.5. Powder X-Ray Diffraction (XRD)
4. Conclusions
Author Contributions
Funding
Acknowledgments
Conflicts of Interest
References
- Murad, A.R.; Iraqi, A.; Aziz, S.B.; Abdullah, S.N.; Brza, M.A. Conducting Polymers for Optoelectronic Devices and Organic Solar Cells: A Review. Polymers 2020, 12, 2627. [Google Scholar] [CrossRef]
- Wang, H.; Liu, Q.; Liu, D.; Su, R.; Liu, J.; Li, Y. Computational Prediction of Electronic and Photovoltaic Properties of Anthracene-Based Organic Dyes for Dye-Sensitized Solar Cells. Int. J. Photoenergy 2018, 2018, 4764830. [Google Scholar] [CrossRef]
- Allard, S.; Forster, M.; Souharce, B.; Thiem, H.; Scherf, U. Organic Semiconductors for Solution-Processable Field-Effect Transistors (OFETs). Angew. Chem. Int. Ed. 2008, 47, 4070–4098. [Google Scholar] [CrossRef] [PubMed]
- Marinov, O.; Deen, M.J.; Zschieschang, U.; Klauk, H. Organic Thin-Film Transistors: Part I—Compact DC Modeling. IEEE Trans. Electron. Dev. 2009, 56, 2952–2961. [Google Scholar] [CrossRef]
- Kraft, A.; Grimsdale, A.C.; Holmes, A.B. Electroluminescent Conjugated Polymers—Seeing Polymers in a New Light. Angew. Chem. Int. Ed. 1998, 37, 402–428. [Google Scholar] [CrossRef]
- Burroughes, J.H.; Bradley, D.D.C.; Brown, A.R.; Marks, R.N.; Mackay, K.; Friend, R.H.; Burns, P.L.; Holmes, A.B. Light-emitting diodes based on conjugated polymers. Nature 1990, 347, 539–541. [Google Scholar] [CrossRef]
- Brabec, C.J.; Gowrisanker, S.; Halls, J.J.M.; Laird, D.; Jia, S.; Williams, S.P. Polymer-Fullerene Bulk-Heterojunction Solar Cells. Adv. Mater. 2010, 22, 3839–3856. [Google Scholar] [CrossRef]
- Pope, M.; Kallmann, H.P.; Magnante, P.C. Electroluminescence in Organic Crystals. J. Chem. Phys. 1963, 38, 2042–2043. [Google Scholar] [CrossRef]
- Chien, C.-T.; Lin, C.-C.; Watanabe, M.; Lin, Y.-D.; Chao, T.-H.; Chiang, T.-C.; Huang, X.-H.; Wen, Y.-S.; Tu, C.-H.; Sun, C.-H.; et al. Tetracene-based field-effect transistors using solution processes. J. Mater. Chem. 2012, 22, 13070–13075. [Google Scholar] [CrossRef]
- Kim, H.; Lee, D.Y.; Lee, S.G.; Cho, K. High-Mobility Organic Single-Crystal Microtubes of Soluble Pentacene Semiconductors with Hollow Tetragonal Structures. Chem. Mater. 2012, 24, 2752. [Google Scholar] [CrossRef]
- Clemente, R.; Chica, E.; Peñuela, G.A. Photovoltaic array for powering advanced oxidation processes: Sizing, application and investment costs for the degradation of a mixture of anthracene and benzo[a]pyrene in natural water by the UV/H2O2 system. J. Environ. Chem. Eng. 2018, 6, 2751–2761. [Google Scholar] [CrossRef]
- Gong, X.; Li, C.; Lu, Z.; Li, G.; Mei, Q.; Fang, T.; Bo, Z. Anthracene-Containing Wide-Band-Gap Conjugated Polymers for High-Open-Circuit-Voltage Polymer Solar Cells. Macromol. Rapid Commun. 2013, 34, 1163–1168. [Google Scholar] [CrossRef] [PubMed]
- Jung, J.W.; Liu, F.; Russell, T.P.; Jo, W.H. Anthracene-Based Medium Bandgap Conjugated Polymers for High Performance Polymer Solar Cells Exceeding 8% PCE without Additive and Annealing Process. Adv. Energy Mater. 2015, 5, 11. [Google Scholar] [CrossRef]
- Zhou, H.; Yang, L.; Stoneking, S.; You, W. A weak donor−strong acceptor strategy to design ideal polymers for organic solar cells. ACS Appl. Mater. Interface 2010, 2, 1377–1383. [Google Scholar] [CrossRef]
- Feng, H.; Yi, Y.Q.Q.; Ke, X.; Yan, J.; Zhang, Y.; Wan, X.; Li, C.; Zheng, N.; Xie, Z.; Chen, Y. New Anthracene-Fused Nonfullerene Acceptors for High Efficiency Organic Solar Cells: Energy Level Modulations Enabling Match of Donor and Acceptor. Adv. Energy Mater. 2019, 9, 1803541. [Google Scholar] [CrossRef]
- Chung, S.; Lee, D.H.; Cho, N.S.; Park, C.E. New anthracene-thiophene-based copolymers that absorb across the entire UV-vis spectrum for application in organic solar cells. Chem. Commun. 2010, 46, 1863–1865. [Google Scholar]
- Chen, H.-Y.; Chen, C.-T.; Chen, C.-T. Synthesis and characterization of a new series of blue fluorescent 2, 6-linked 9, 10-diphenylanthrylenephenylene copolymers and their application for polymer light-emitting diodes. Macromolecules 2010, 43, 3613–3623. [Google Scholar] [CrossRef]
- Back, J.Y.; An, T.K.; Cheon, Y.R.; Cha, H.; Jang, J.; Kim, Y.; Baek, Y.; Chung, D.S.; Kwon, S.-K.; Park, C.E. Alkyl Chain Length Dependence of the Field-Effect Mobility in Novel Anthracene Derivatives. ACS Appl. Mater. Interfaces 2015, 7, 351–358. [Google Scholar] [CrossRef]
- Liu, C.; Cai, W.; Guan, X.; Duan, C.; Xue, Q.; Ying, L.; Huang, F.; Cao, Y. Synthesis of donor–acceptor copolymers based on anthracene derivatives for polymer solar cells. Polym. Chem. 2013, 4, 3949–3958. [Google Scholar] [CrossRef]
- Sonar, P.; Singh, S.P.; Williams, E.L.; Li, Y.; Soh, M.S.; Dodabalapur, A. Furan containing diketopyrrolopyrrole copolymers: Synthesis, characterization, organic field effect transistor performance and photovoltaic properties. J. Mater. Chem. 2012, 22, 4425–4435. [Google Scholar] [CrossRef]
- Almeataq, M.S.; Yi, H.; Al-Faifi, S.; Alghamdi, A.A.B.; Iraqi, A.; Scarratt, N.W.; Wang, T.; Lidzey, D.G. Anthracene-based donor–acceptor low band gap polymers for application in solar cells. Chem. Commun. 2013, 49, 2252–2254. [Google Scholar] [CrossRef]
- Cartwright, L.; Taylor, L.J.; Yi, H.; Iraqi, A.; Zhang, Y.; Scarratt, N.W.; Wang, T.; Lidzey, D.G. Triisopropylsilylacetylene-functionalised anthracene-alt-benzothiadiazole copolymers for application in bulk heterojunction solar cells. RSC Adv. 2015, 5, 101607–101615. [Google Scholar] [CrossRef]
- Jung, J.W.; Jo, W.H. A low band-gap copolymer composed of thienyl substituted anthracene and diketopyrrolopyrrole compatible with multiple electron acceptors for high efficiency polymer solar cells. Polym. Chem. 2015, 6, 4013–4019. [Google Scholar] [CrossRef]
- Ponomarenko, S.; Muzafarov, A.; Borshchev, O.; Vodopyanov, E.; Demchenko, N.; Myakushev, V. Synthesis of bithiophenesilane dendrimer of the first generation. Russ. Chem. Bull. 2005, 54, 684–690. [Google Scholar] [CrossRef]
- Wen, L.; Rasmussen, S.C. Synthesis and structural characterization of 2,5-dihalo-3,4-dinitrothiophenes. J. Chem. Crystallogr. 2007, 37, 387–398. [Google Scholar] [CrossRef]
- Kenning, D.; Mitchell, K.A.; Calhoun, T.R.; Funfar, M.R.; Sattler, D.J.; Rasmussen, S.C. Thieno [3,4-b] pyrazines: Synthesis, structure, and reactivity. J. Org. Chem. 2002, 67, 9073–9076. [Google Scholar] [CrossRef]
- McNamara, L.E.; Liyanage, N.; Peddapuram, A.; Murphy, J.S.; Delcamp, J.H.; Hammer, N.I. Donor–Acceptor–Donor Thienopyrazines via Pd-Catalyzed C–H Activation as NIR Fluorescent Materials. J. Org. Chem. 2016, 81, 32–42. [Google Scholar] [CrossRef]
- Schwiderski, R.L.; Rasmussen, S.C. Synthesis and Characterization of Thieno [3,4-b] pyrazine-Based Terthienyls: Tunable Precursors for Low Band Gap Conjugated Materials. J. Org. Chem. 2013, 78, 5453–5462. [Google Scholar] [CrossRef]
- Hailu, H.; Atsbeha, B.; Admassie, S.; Mammo, W.; Raju, V.; Chebude, Y. Variable denticity of a multidentate terthiophene derivative towards Ni (II) and Zn (II)–structural studies. Bull. Chem. Soc. Ethiop. 2011, 25, 221–231. [Google Scholar] [CrossRef]
- Delgado, M.R.; Hernandez, V.; Navarrete, J.L.; Tanaka, S.; Yamashita, Y. Combined spectroscopic and theoretical study of narrow band gap heterocyclic co-oligomers containing alternating aromatic donor and o-quinoid acceptor units. J. Phys. Chem. 2004, 108, 2516–2526. [Google Scholar] [CrossRef]
- Wang, L.; Cai, D.; Zheng, Q.; Tang, C.; Chen, S.-C.; Yin, Z. Low Band Gap Polymers Incorporating a Dicarboxylic Imide-Derived Acceptor Moiety for Efficient Polymer Solar Cells. ACS Macro Lett. 2013, 2, 605–608. [Google Scholar] [CrossRef]
- Nielsen, C.B.; Ashraf, R.S.; Treat, N.D.; Schroeder, B.C.; Donaghey, J.E.; White, A.J.; Stingelin, N.; McCulloch, I. 2,1,3-Benzothiadiazole-5,6-Dicarboxylic Imide–A Versatile Building Block for Additive-and Annealing-Free Processing of Organic Solar Cells with Efficiencies Exceeding 8%. Adv. Mater. 2015, 27, 948–953. [Google Scholar] [CrossRef] [PubMed]
- Lan, L.; Chen, Z.; Li, Y.; Ying, L.; Huang, F.; Cao, Y. Donor–acceptor conjugated polymers based on cyclic imide substituted quinoxaline or dibenzo[a,c]phenazine for polymer solar cells. Polym. Chem. 2015, 6, 7558–7569. [Google Scholar] [CrossRef]
- Matsueda, Y.; Xu, S.; Negishi, E.-i. A novel highly enantio-and diastereoselective synthesis of vitamin E side-chain. Tetrahedron Lett. 2015, 56, 3346–3348. [Google Scholar] [CrossRef]
- Thomson, A.; O’Connor, S.; Knuckley, B.; Causey, C.P. Design, synthesis, and in vitro evaluation of an activity-based protein profiling (ABPP) probe targeting agmatinedeiminases. Bioorg. Med. Chem. 2014, 22, 4602–4608. [Google Scholar] [CrossRef]
- Yue, W.; Zhao, Y.; Shao, S.; Tian, H.; Xie, Z.; Geng, Y.; Wang, F. Novel NIR-absorbing conjugated polymers for efficient polymer solar cells: Effect of alkyl chain length on device performance. J. Mater. Chem. 2009, 19, 2199–2206. [Google Scholar] [CrossRef]
- Yi, H.; Al-Faifi, S.; Iraqi, A.; Watters, D.C.; Kingsley, J.; Lidzey, D.G. Carbazole and thienyl benzo [1,2,5] thiadiazole based polymers with improved open circuit voltages and processability for application in solar cells. J. Mater. Chem. 2011, 21, 13649–13656. [Google Scholar] [CrossRef]
- Murad, R.; Iraqi, A.; Aziz, S.B.; Abdullah, S.N.; Abdulwahid, R.T.; Hussen, S.A. Optical, Electrochemical, Thermal, and Structural Properties of Synthesized Fluorene/Dibenzosilole-Benzothiadiazole Dicarboxylic Imide Alternating Organic Copolymers for Photovoltaic Applications. Coatings 2020, 10, 1147. [Google Scholar] [CrossRef]
- Murad, R.; Iraqi, A.; Aziz, S.B.; Hi, H.; Abdullah, S.N.; Brza, M.A.; Abdulwahid, R.T. Influence of Fluorine Substitution on the Optical, Thermal, Electrochemical and Structural Properties of Carbazole-Benzothiadiazole Dicarboxylic Imide Alternate Copolymers. Polymers 2020, 12, 2910. [Google Scholar] [CrossRef]
- Li, Y.; Zou, Y. Conjugated polymer photovoltaic materials with broad absorption band and high charge carrier mobility. Adv. Mater. 2008, 20, 2952–2958. [Google Scholar] [CrossRef]
- Cartwright, L.; Neal, T.J.; Rutland, N.J.; Iraqi, A. Anthracene-thieno[3,4-c]pyrrole-4,6-dione based donor–acceptor conjugated copolymers for applications in optoelectronic devices. Polym. Adv. Technol. 2016, 27, 525–531. [Google Scholar] [CrossRef]
- Cartwright, L.; Iraqi, A.; Zhang, Y.; Wang, T.; Lidzey, D.G. Impact of fluorine substitution upon the photovoltaic properties of benzothiadiazole-fluorene alternate copolymers. RSC Adv. 2015, 5, 46386–46394. [Google Scholar] [CrossRef]
- Cartwright, L.; Yi, H.; Iraqi, A. Effect of fluorination pattern and extent on the properties of PCDTBT derivatives. New J. Chem. 2016, 40, 1655–1662. [Google Scholar] [CrossRef]
- Murad, R.; Iraqi, A.; Aziz, S.B.; Abdullah, S.N.; Abdulwahid, R.T. Synthesis, Optical, Thermal and Structural Characteristics of Novel Thermocleavable Polymers Based on Phthalate Esters. Polymers 2020, 12, 2791. [Google Scholar] [CrossRef] [PubMed]








| Polymer | % Yield | Toluene Fraction | Chloroform Fraction | ||||
|---|---|---|---|---|---|---|---|
| Mn (g mol−1) | Mw (g mol−1) | Poly Dispersity Index (PDI) | Mn (g mol−1) | Mw (g mol−1) | PDI | ||
| PPADTBTDI-DMO | 97 | 6700 | 12,600 | 1.8 | 12,700 | 22,400 | 1.7 |
| PPADTBTDI-8 | 97 | 6000 | 11,000 | 1.8 | 12,500 | 27,400 | 2.1 |
| Polymer | ε (M−1 cm−1) | Solution | Film | ||
|---|---|---|---|---|---|
| λmax (nm) | λmax (nm) | λonset (nm) | Eg (eV) | ||
| PPADTBTDI-DMO | 24,300 | 540 | 545 | 744 | 1.66 |
| PPADTBTDI-8 | 34,000 | 535 | 546 | 744 | 1.66 |
| Polymer | Td (°C) | Eox 0 (V) | HOMO (eV) | Ered 0 (V) | LUMO (eV) | Eg (elec) (eV) |
|---|---|---|---|---|---|---|
| PPADTBTDI-DMO | 354 | 0.79 | −5.51 | −1.15 | −3.56 | 1.95 |
| PPADTBTDI-8 | 313 | 0.81 | −5.53 | −1.15 | −3.56 | 1.97 |
| Symbols | Physical Significances |
|---|---|
| Eg | Energy gap in eV |
| HOMO | Highest occupied molecular orbital level in eV |
| LUMO | Lowest unoccupied molecular orbital in eV |
| FET | Field effect transistor |
| BHJ | Bulk heterojunction |
| Voc | Open-circuit voltage in volts |
| Jsc | Short-circuit current in ampere |
| PC | Power conversion |
| λ | Lambda in nm |
| Td | Degradation temperature in °C (5% weight loss) |
| D-A | Donor-acceptor |
| NBS | N-bromosuccinimide |
| DMF | N,N-dimethylformamide |
| DCM | Dichloromethane |
| BT | 2,1,3-Benzothiadiazole |
| BTDI | Benzothiadiazole dicarboxylic imide |
| THF | Tetrahydrofuran |
| PPADTBTDI-DMO | Poly[9,10-bis(4-(dodecyloxy)phenyl)-2,6-anthracene-alt-5,5-(4′,7′-bis(2-thienyl)-2′,1′,3′-benzothiadiazole-N-5,6-(3,7-dimethyloctyl)dicarboxylic imide)] |
| PPADTBTDI-8 | Poly[9,10-bis(4-(dodecyloxy)phenyl)-2,6-anthracene-alt-5,5-(4′,7′-bis(2-thienyl)-2′,1′,3′-benzothiadiazole-5,6-N-octyl-dicarboxylic imide)] |
| XRD | Powder X-ray diffraction |
| PSC | Polymer solar cell |
| PDPP-FAF | Poly[3,6-difuran-2-yl-2,5-di(2-octyldodecyl)-pyrrolo[3,4-c]pyrrole-1,4-dione-alt-anthracene] |
| PPATBT | Poly(9,10-bis(4-(dodecyloxy)phenyl)-anthracene-2,6-diyl-alt-(4,7-dithiophen-2-yl)-2′,1′,3′-benzothiadiazole-5,5-diyl] |
| PPATBT-8 | Poly(9,10-bis(4-(dodecyloxy)phenyl)-anthracene-2,6-diyl-alt-(5,6-bis(octyloxy)-4,7-di(thiophen-2-yl)benzo[c][1,2,5]thiadiazole-5,5-diyl] |
| PPAT2BT-8 | Poly(9,10-bis(4-(dodecyloxy)phenyl)-anthracene-2,6-diyl-alt-(5,6-bis(octyloxy)-4,7-di(2,2′-bithiophen-5-yl)benzo[c][1,2,5] thiadiazole)-5,5-diyl] |
| PTATffBT | Poly[9,10-bis(triisopropylsilylacetylene)-anthracene-2,6-diyl-alt-(4,7-dithiophen-2-yl)-5,6-difluorobenzo[c][1,2,5]thiadiazole-5-5-diyl] |
| PhNSO | N-thionyl aniline |
| TMSCl | Trimethylsilyl chloride |
| M1 | 4,7-Di(5-bromo-thien-2-yl)-2,1,3-benzothiadiazole-5,6-N-(3,7-dimethyloctyl)dicarboxylic imide |
| M2 | 4,7-Di(5-bromo-thien-2-yl)-2,1,3-benzothiadiazole-5,6-N-octyl-dicarboxylic imide |
| GPC | Gel permeation chromatography |
| PTATBT-8 | Poly[9,10-bis(triisopropylsilylacetylene)-anthracene-2,6-diylalt-(5,6-bis(octyloxy)-4,7-di(thiophene-2-yl)benzo[c]thiadiazole-5,5-diyl] |
Publisher’s Note: MDPI stays neutral with regard to jurisdictional claims in published maps and institutional affiliations. |
© 2020 by the authors. Licensee MDPI, Basel, Switzerland. This article is an open access article distributed under the terms and conditions of the Creative Commons Attribution (CC BY) license (http://creativecommons.org/licenses/by/4.0/).
Share and Cite
Murad, A.R.; Iraqi, A.; Aziz, S.B.; Almeataq, M.S.; Abdullah, S.N.; Brza, M.A. Characteristics of Low Band Gap Copolymers Containing Anthracene-Benzothiadiazole Dicarboxylic Imide: Synthesis, Optical, Electrochemical, Thermal and Structural Studies. Polymers 2021, 13, 62. https://doi.org/10.3390/polym13010062
Murad AR, Iraqi A, Aziz SB, Almeataq MS, Abdullah SN, Brza MA. Characteristics of Low Band Gap Copolymers Containing Anthracene-Benzothiadiazole Dicarboxylic Imide: Synthesis, Optical, Electrochemical, Thermal and Structural Studies. Polymers. 2021; 13(1):62. https://doi.org/10.3390/polym13010062
Chicago/Turabian StyleMurad, Ary R., Ahmed Iraqi, Shujahadeen B. Aziz, Mohammed S. Almeataq, Sozan N. Abdullah, and Mohamad A. Brza. 2021. "Characteristics of Low Band Gap Copolymers Containing Anthracene-Benzothiadiazole Dicarboxylic Imide: Synthesis, Optical, Electrochemical, Thermal and Structural Studies" Polymers 13, no. 1: 62. https://doi.org/10.3390/polym13010062
APA StyleMurad, A. R., Iraqi, A., Aziz, S. B., Almeataq, M. S., Abdullah, S. N., & Brza, M. A. (2021). Characteristics of Low Band Gap Copolymers Containing Anthracene-Benzothiadiazole Dicarboxylic Imide: Synthesis, Optical, Electrochemical, Thermal and Structural Studies. Polymers, 13(1), 62. https://doi.org/10.3390/polym13010062

