Improvement of Foaming Ability of Surfactant Solutions by Water-Soluble Polymers: Experiment and Molecular Dynamics Simulation
Abstract
1. Introduction
2. Materials and Methods
2.1. Experimental Details
2.1.1. Materials
2.1.2. Foaming Ability Measurements
2.2. Simulation Details
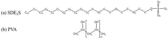
2.2.1. Molecular Structures and Force Field
2.2.2. Simulation Model
2.2.3. Computational Details
3. Experimental Results and Discussion
4. Simulation Results and Discussion
4.1. Density Profiles
4.2. Surfactant Orientation at the Air–Water Interface
4.3. Hydration Structures of Surfactant Oxygen Atoms
4.4. Hydrogen Bonds
5. Conclusions
Author Contributions
Funding
Conflicts of Interest
References
- Wolde-Rufael, Y. Coal consumption and economic growth revisited. Appl. Energy 2010, 87, 160–167. [Google Scholar] [CrossRef]
- Wang, H.; Du, Y.; Wang, D.; Qin, B. Recent Progress in Polymer-Containing Soft Matters for Safe Mining of Coal. Polymers 2019, 11, 1706. [Google Scholar] [CrossRef] [PubMed]
- Li, H.; Shi, S.; Lin, B.; Lu, J.; Ye, Q.; Lu, Y.; Wang, Z.; Hong, Y.; Zhu, X. Effects of microwave-assisted pyrolysis on the microstructure of bituminous coals. Energy 2019, 187, 115986. [Google Scholar] [CrossRef]
- Li, H.; Zheng, C.; Lu, J.; Tian, L.; Lu, Y.; Ye, Q.; Luo, W.; Zhu, X. Drying kinetics of coal under microwave irradiation based on a coupled electromagnetic, heat transfer and multiphase porous media model. Fuel 2019, 256, 115966. [Google Scholar] [CrossRef]
- British Petroleum. Statistical Review of World Energy; BP Statistical Review: London, UK, August 2018. [Google Scholar]
- Zhu, Y.; Wang, D.; Shao, Z.; Xu, C.; Zhu, X.; Qi, X.; Liu, F. A statistical analysis of coalmine fires and explosions in China. Process Saf. Environ. Prot. 2019, 121, 357–366. [Google Scholar] [CrossRef]
- Liu, Z.; Wang, W.; Yang, H.; Yu, S.; Xin, L. Experimental Study on the fractal pattern of a coal body pore structure around a water injection bore. J. Energ. Resour.-ASME 2020, 142, 012302. [Google Scholar] [CrossRef]
- Ji, H.; Mao, Y.; Su, H. Effects of organic micromolecules in bituminous coal on its microscopic pore characteristics. Fuel 2020, 262, 116529. [Google Scholar] [CrossRef]
- Li, Y.; Wang, P.; Liu, R.; Jiang, Y.; Han, H. Determination of the optimal axial-to-radial flow ratio of the wall-mounted swirling ventilation in fully mechanized excavation face. Powder Technol. 2020, 360, 890–910. [Google Scholar] [CrossRef]
- Zhou, Q.; Qin, B.; Wang, F.; Wang, H. Experimental investigation on the performance of a novel magnetized apparatus used to improve the dust suppression ability of surfactant-magnetized water. Powder Technol. 2019, 354, 149–157. [Google Scholar] [CrossRef]
- Lu, Y.; Shi, S.; Wang, H.; Tian, Z.; Ye, Q.; Niu, H. Thermal characteristics of cement microparticle-stabilized aqueous foam for sealing high-temperature mining fractures. Int. J. Heat Mass Transf. 2019, 131, 594–603. [Google Scholar] [CrossRef]
- Wang, P.; Zhang, K.; Liu, R. Influence of air supply pressure on atomization characteristics and dust-suppression efficiency of internal-mixing air-assisted atomizing nozzle. Powder Technol. 2019, 355, 393–407. [Google Scholar] [CrossRef]
- Yin, W.; Zhou, G.; Gao, D. Simulation analysis and engineering application of distribution characteristics about multi-stage atomization field for cutting dust in fully mechanized mining face. Adv. Powder Technol. 2019, 30, 2600–2615. [Google Scholar] [CrossRef]
- Li, S.; Zhou, G.; Wang, Y.; Jing, B.; Qu, Y. Synthesis and characteristics of fire extinguishing gel with high water absorption for coal mines. Process Saf. Environ. Prot. 2019, 125, 207–218. [Google Scholar] [CrossRef]
- Xi, Z.; Zhou, S.; Jin, L. Experimental investigation of self-hardening foam-sol for controlling diffusion of static coal dust. Powder Technol. 2019, 345, 274–282. [Google Scholar] [CrossRef]
- Shao, Z.; Jia, X.; Zhong, X.; Wang, D.; Wei, J.; Wang, Y.; Chen, L. Detection, extinguishing, and monitoring of a coal fire in Xinjiang, China. Environ. Sci. Pollut. Res. 2018, 25, 26603–26616. [Google Scholar] [CrossRef] [PubMed]
- Ren, X.; Hu, X.; Xue, D.; Li, Y.; Shao, Z.; Dong, H.; Cheng, W.; Zhao, Y.; Xin, L.; Lu, W. Novel sodium silicate/polymer composite gels for the prevention of spontaneous combustion of coal. J. Hazard. Mater. 2019, 371, 643–654. [Google Scholar] [CrossRef] [PubMed]
- Yin, S.; Nie, W.; Liu, Q.; Hua, Y. Transient CFD modelling of space-time evolution of dust pollutants and air-curtain generator position during tunneling. J. Clean. Prod. 2019, 239, 117924. [Google Scholar] [CrossRef]
- Peng, H.; Nie, W.; Yu, H.; Cheng, W.; Bai, P.; Liu, Q.; Liu, Z.; Yang, S.; Xu, C.; Hua, Y.; et al. Research on mine dust suppression by spraying: Development of an air-assisted PM10 control device based on CFD technology. Adv. Powder Technol. 2019, 30, 2588–2599. [Google Scholar] [CrossRef]
- Zhou, W.; Wang, H.; Wang, D.; Zhang, K.; Du, Y.; Yang, H. The effect of geometries and cutting parameters of conical pick on the characteristics of dust generation: Experimental investigation and theoretical exploration. Fuel Process. Technol. 2020, 198, 106243. [Google Scholar] [CrossRef]
- Zhou, W.; Wang, H.; Wang, D.; Du, Y.; Zhang, K.; Zhang, J. The influence of pore structure of coal on characteristics of dust generation during the process of conical pick cutting. Powder Technol. 2020, 363, 559–568. [Google Scholar] [CrossRef]
- Lu, X.; Wang, D.; Qin, B.; Tian, F.; Shi, G.; Dong, S. Novel approach for extinguishing large-scale coal fires using gas–liquid foams in open pit mines. Environ. Sci. Pollut. Res. 2015, 22, 18363–18371. [Google Scholar] [CrossRef] [PubMed]
- Lu, X.; Zhu, H.; Wang, D.; Hu, C.; Zhao, H.; Huo, Y. Flow characteristic investigation of inhibition foam used for fire extinguishment in the underground goaf. Process Saf. Environ. Prot. 2018, 116, 159–168. [Google Scholar] [CrossRef]
- Wang, H.; Chen, X.; Xie, Y.; Wei, X.; Liu, W.V. Experimental study on improving performance of dust-suppression foam by magnetization. Colloids Surf. A 2019, 577, 370–377. [Google Scholar] [CrossRef]
- Wang, H.; Wei, X.; Du, Y.; Wang, D. Experimental investigation on the dilatational interfacial rheology of dust-suppressing foam and its effect on foam performance. Process Saf. Environ. Prot. 2019, 123, 351–357. [Google Scholar] [CrossRef]
- Han, F.; Zhang, J.; Zhao, Y.; Han, J. Experimental investigation on the interaction process between coal particles and foam. AIP Adv. 2019, 9, 015023. [Google Scholar] [CrossRef]
- Lu, X.; Wang, D.; Shen, W.; Wang, H.; Zhu, C.; Liu, J. Experimental investigation of the pressure gradient of a new spiral mesh foam generator. Process Saf. Environ. Prot. 2015, 94, 44–54. [Google Scholar] [CrossRef]
- Lu, X.; Zhu, H.; Hu, C.; Zhao, H. Investigation on the performance and application of a new design of foam generator used for fire extinguishment in underground coal mines. Combust. Sci. Technol. 2018, 190, 2003–2017. [Google Scholar] [CrossRef]
- Sheng, Y.; Lu, S.; Xu, M.; Wu, X.; Li, C. Effect of Xanthan Gum on the Performance of Aqueous Film-Forming Foam. J. Disper. Sci. Technol. 2016, 37, 1664–1670. [Google Scholar] [CrossRef]
- Guo, Q.; Ren, W.; Shi, J. Foam for coal dust suppression during underground coal mine tunneling. Tunn. Undergr. Space Technol. 2019, 89, 170–178. [Google Scholar] [CrossRef]
- Reed, W.R.; Beck, T.W.; Zheng, Y.; Klima, S.; Driscoll, J. Foam property tests to evaluate the potential for longwall shield dust control. Min. Eng. 2018, 70, 35–41. [Google Scholar] [CrossRef][Green Version]
- Bureiko, A.; Trybala, A.; Kovalchuk, N.; Starov, V. Current applications of foams formed from mixed surfactant–polymer solutions. Adv. Colloid Interface Sci. 2015, 222, 670–677. [Google Scholar] [CrossRef] [PubMed]
- Xu, L.; Xu, G.; Gong, H.; Dong, M.; Li, Y.; Zhou, Y. Foam properties and stabilizing mechanism of sodium fatty alcohol polyoxyethylene ether sulfate-welan gum composite systems. Colloids Surf. A Physicochem. Eng. Asp. 2014, 456, 176–183. [Google Scholar] [CrossRef]
- Deng, Q.; Li, H.; Sun, H.; Sun, Y.; Li, Y. Hyperbranched exopolysaccharide-enhanced foam properties of sodium fatty alcohol polyoxyethylene ether sulfate. Colloids Surf. B Biointerface 2016, 141, 206–212. [Google Scholar] [CrossRef] [PubMed]
- Zhang, H.; Xu, G.; Liu, T.; Xu, L.; Zhou, Y. Foam and interfacial properties of Tween 20–bovine serum albumin systems. Colloids Surf. A Physicochem. Eng. Asp. 2013, 416, 23–31. [Google Scholar] [CrossRef]
- Ahmed, S.; Elraies, K.A.; Tan, I.M.; Hashmet, M.R. Experimental investigation of associative polymer performance for CO2 foam enhanced oil recovery. J. Petrol. Sci. Eng. 2017, 157, 971–979. [Google Scholar] [CrossRef]
- Azdarpour, A.; Rahmani, O.; Mohammadian, E.; Parak, M.; Daud, A.R.M.; Junin, R. The effects of polymer and surfactant on polymer enhanced foam stability. In Proceedings of the 2013 IEEE Business Engineering and Industrial Applications Colloquium (BEIAC), Langkawi, Malaysia, 4–6 April 2013; pp. 97–102. [Google Scholar]
- Xu, C.; Wang, D.; Wang, H.; Hu, J.; Zhu, X.; Zhang, Y. Effect of partially hydrolyzed polyacrylamide on the solution and foam properties of sodium alcohol ether sulfate. Colloids Surf. A 2018, 556, 51–60. [Google Scholar] [CrossRef]
- Chen, S.; Hou, Q.; Zhu, Y.; Wang, D.; Li, W. On the Origin of Foam Stability: Understanding from Viscoelasticity of Foaming Solutions and Liquid Films. J. Dispers. Sci. Technol. 2014, 35, 1214–1221. [Google Scholar] [CrossRef]
- Wang, Q.; Wang, D.; Shen, Y.; Wang, H.; Xu, C. Influence of polymers on dust-related foam properties of sodium dodecyl benzene sulfonate with Foamscan. J. Dispers. Sci. Technol. 2017, 38, 1726–1731. [Google Scholar] [CrossRef]
- Wang, H.; Wei, X.; Du, Y.; Wang, D. Effect of water-soluble polymers on the performance of dust-suppression foams: Wettability, surface viscosity and stability. Colloids Surf. A 2019, 568, 92–98. [Google Scholar] [CrossRef]
- Mafi, A.; Hu, D.; Chou, K.C. Complex formations between surfactants and polyelectrolytes of the same charge on a water surface. Langmuir 2017, 33, 7940–7946. [Google Scholar] [CrossRef]
- Darvas, M.; Gilányi, T.; Jedlovszky, P. Competitive adsorption of surfactants and polymers at the free water surface. A computer simulation study of the sodium dodecyl sulfate-poly(ethylene oxide) system. J. Phys. Chem. B 2011, 115, 933–944. [Google Scholar] [CrossRef] [PubMed]
- Wang, H.; Zhang, H.; Yuan, S.; Xu, Z.; Liu, C. Molecular dynamics study of the structure of an oppositely charged polyelectrolyte and an ionic surfactant at the air/water interface. Colloids Surf. A Physicochem. Eng. Asp. 2014, 454, 104–112. [Google Scholar] [CrossRef]
- Wu, G.; Zhu, Q.; Yuan, C.; Wang, H.; Li, C.; Sun, S.; Hu, S. Molecular dynamics simulation of the influence of polyacrylamide on the stability of sodium dodecyl sulfate foam. Chem. Eng. Sci. 2017, 166, 313–319. [Google Scholar] [CrossRef]
- Berendsen, H.J.C.; van der Spoel, D.; van Drunen, R. GROMACS: A message-passing parallel molecular dynamics implementation. Comput. Phys. Commun. 1995, 91, 43–56. [Google Scholar] [CrossRef]
- Fuchs, P.F.J.; Hansen, H.S.; Hünenberger, P.H.; Horta, B.A.C. A GROMOS parameter set for vicinal diether functions: Properties of polyethyleneoxide and poly-ethyleneglycol. J. Chem. Theory Comput. 2012, 8, 3943–3963. [Google Scholar] [CrossRef]
- Horta, B.A.C.; Fuchs, P.F.J.; van Gunsteren, W.F.; Hünenberger, P.H. New interaction parameters for oxygen compounds in the GROMOS force field: Improved pure-liquid solvation properties for alcohols, ethers, aldehydes, ketones, carboxylic acids, and esters. J. Chem. Theory Comput. 2011, 7, 1016–1031. [Google Scholar] [CrossRef]
- Schüttelkopf, A.W.; van Aalten, D.M.F. PRODRG: A tool for high-throughput crystallography of protein-ligand complexes. Acta Crystallogr. Sect. D Biol. Crystallogr. 2004, 60, 1355–1363. [Google Scholar] [CrossRef]
- Xu, C.; Mandal, T.; Larson, R.G.; Wang, D.; Wang, H. A molecular dynamics simulation of the structure of sodium lauryl ether sulfate and poly(vinyl alcohol) at the air/water interface. Colloids Surf. A 2019, 563, 84–94. [Google Scholar] [CrossRef]
- Li, C.; Li, Y.; Yuan, R.; Lv, W. Study of the Microcharacter of Ultrastable Aqueous Foam Stabilized by a Kind of Flexible Connecting Bipolar-Headed Surfactant with Existence of Magnesium Ion. Langmuir 2013, 29, 5418–5427. [Google Scholar] [CrossRef]
- Martínez, L.; Andrade, R.; Birgin, E.G.; Martínez, J.M. Software news and update Packmol: A package for building initial configurations for molecular dynamics simulations. J. Comput. Chem. 2009, 30, 2157–2164. [Google Scholar] [CrossRef]
- Xu, H.; Penfold, J.; Thomas, R.K.; Petkov, J.T.; Tucker, I.; Webster, J.P.R. The Formation of Surface Multilayers at the Air-Water Interface from Sodium Polyethylene Glycol Monoalkyl Ether Sulfate/AlCl3 Solutions: The Role of the Size of the Polyethylene Oxide Group. Langmuir 2013, 29, 11656–11666. [Google Scholar] [CrossRef] [PubMed]
- Bussi, G.; Donadio, D.; Parrinello, M. Canonical sampling through velocity rescaling. J. Chem. Phys. 2007, 126, 014101. [Google Scholar] [CrossRef] [PubMed]
- Hockney, R.W. The potential calculation and some applications. Methods Comput. Phys. 1970, 9, 136. [Google Scholar]
- Hess, B.; Bekker, H.; Berendsen, H.J.C.; Fraaije, J.G.E.M. LINCS: A Linear Constraint Solver for Molecular Simulations. J. Comput. Chem. 1997, 18, 1463–1472. [Google Scholar] [CrossRef]
- Essmann, U.; Perera, L.; Berkowitz, M.L. A smooth particle mesh Ewald method. J. Chem. Phys. 1995, 103, 8577–8593. [Google Scholar] [CrossRef]
- Berendsen, H.J.C.; Postma, J.P.M.; van Gunsteren, W.F.; Hermans, J. Intermolecular Forces; Springer-Science + Business Media: Dordrecht, The Netherlands, 1981; pp. 331–338. [Google Scholar]
- Humphrey, W.; Dalke, A.; Schulten, K. VMD: Visual Molecular Dynamics. J. Mol. Graph. 1996, 14, 33–38. [Google Scholar] [CrossRef]
- Xu, C.; Wang, D.; Wang, H.; Zhang, Y.; Dou, G.; Wang, Q. Influence of gas flow rate and sodium carboxymethylcellulose on foam properties of fatty alcohol sodium polyoxyethylene ether sulfate solution. J. Disper. Sci. Technol. 2017, 38, 961–966. [Google Scholar] [CrossRef]
- Stubenrauch, C.; Shrestha, L.K.; Varade, D.; Johansson, I.; Olanya, G.; Aramaki, K.; Claesson, P. Aqueous foams stabilized by n-dodecyl-b-D-maltoside, hexaethyleneglycol monododecyl ether, and their 1:1 mixture. Soft Matter 2009, 5, 3070–3080. [Google Scholar] [CrossRef]
- Tang, X.; Huston, K.J.; Larson, R.G. Molecular Dynamics Simulations of Structure-Property Relationships of Tween 80 Surfactants in Water and at Interfaces. J. Phys. Chem. B 2014, 118, 12907–12918. [Google Scholar] [CrossRef]



















| SDES Concentration 0.01 wt % | PVA Concentration | ||||
|---|---|---|---|---|---|
| 0 wt % | 0.01 wt % | 0.05 wt % | 0.1 wt % | 0.15 wt % | |
| Vtotal gas (mL) | 209.17 | 200 | 192.5 | 186.67 | 180.83 |
| Videal gas (mL) | 190.92 | 187.29 | 184.4 | 181.37 | 178.3 |
| ΔV (mL) | 18.25 | 12.71 | 8.1 | 5.3 | 2.53 |
| SDES Concentration 0.05 wt % | PVA Concentration | ||||
|---|---|---|---|---|---|
| 0 wt % | 0.01 wt % | 0.05 wt % | 0.1 wt % | 0.15 wt % | |
| Vtotal gas (mL) | 203.33 | 190 | 180 | 177.5 | 174.17 |
| Videal gas (mL) | 184.84 | 178.18 | 175.34 | 173.8 | 171.72 |
| ΔV (mL) | 18.49 | 11.82 | 4.66 | 3.7 | 2.45 |
© 2020 by the authors. Licensee MDPI, Basel, Switzerland. This article is an open access article distributed under the terms and conditions of the Creative Commons Attribution (CC BY) license (http://creativecommons.org/licenses/by/4.0/).
Share and Cite
Xu, C.; Wang, H.; Wang, D.; Zhu, X.; Zhu, Y.; Bai, X.; Yang, Q. Improvement of Foaming Ability of Surfactant Solutions by Water-Soluble Polymers: Experiment and Molecular Dynamics Simulation. Polymers 2020, 12, 571. https://doi.org/10.3390/polym12030571
Xu C, Wang H, Wang D, Zhu X, Zhu Y, Bai X, Yang Q. Improvement of Foaming Ability of Surfactant Solutions by Water-Soluble Polymers: Experiment and Molecular Dynamics Simulation. Polymers. 2020; 12(3):571. https://doi.org/10.3390/polym12030571
Chicago/Turabian StyleXu, Chaohang, Hetang Wang, Deming Wang, Xiaolong Zhu, Yunfei Zhu, Xing Bai, and Quanlin Yang. 2020. "Improvement of Foaming Ability of Surfactant Solutions by Water-Soluble Polymers: Experiment and Molecular Dynamics Simulation" Polymers 12, no. 3: 571. https://doi.org/10.3390/polym12030571
APA StyleXu, C., Wang, H., Wang, D., Zhu, X., Zhu, Y., Bai, X., & Yang, Q. (2020). Improvement of Foaming Ability of Surfactant Solutions by Water-Soluble Polymers: Experiment and Molecular Dynamics Simulation. Polymers, 12(3), 571. https://doi.org/10.3390/polym12030571

