Kinetic Study of Depolymerization of Lactic and Glycolic Acid Oligomers in the Presence of Oxide Catalysts
Abstract
1. Introduction
2. Materials and Methods
2.1. Materials
2.2. Synthesis of GAO and LAO
2.3. Depolymerization of GAO:LAO Mixtures
2.4. Characterization of Catalysts
2.5. Characterization of GAO, LAO, and Their Depolymerization Products
2.6. Study of Kinetic of GAO:LAO Depolymerization
2.6.1. Preparation of the Samples
2.6.2. Kinetic Analysis Methods
3. Results and Discussion
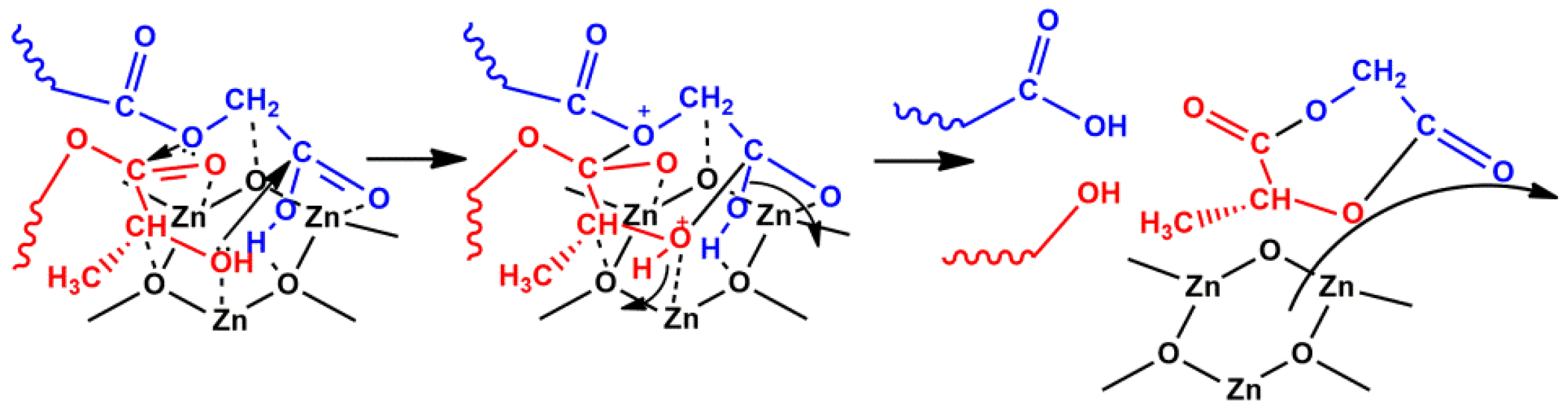
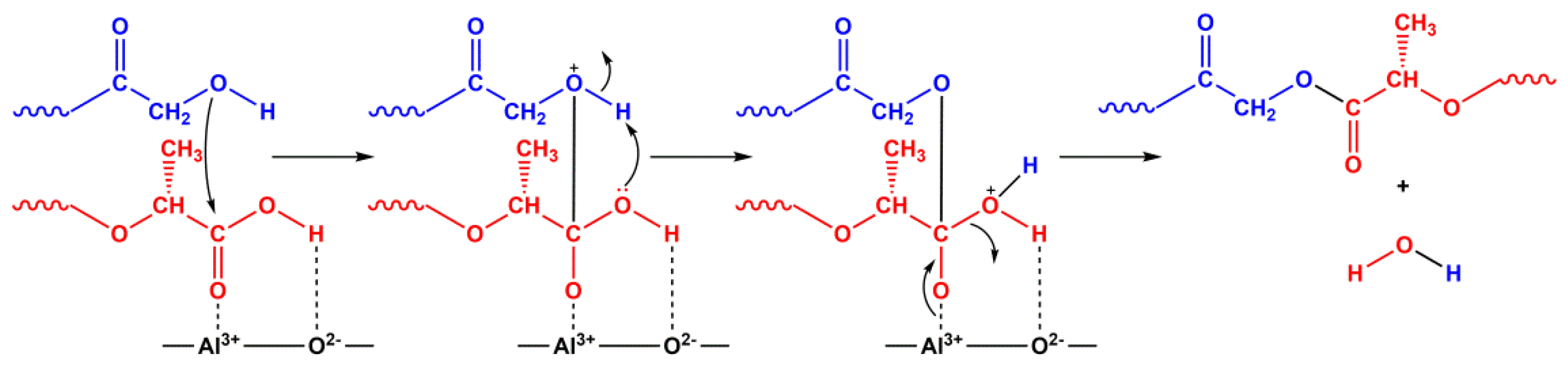
3.1. Depolymerization of GAO and LAO Mixtures in the Presence of ZnO, γ-Al2O3, and Without Catalyst
3.2. Isoconversional Kinetic Study of Depolymerization of GAO and LAO
4. Conclusions
Supplementary Materials
Author Contributions
Funding
Acknowledgments
Conflicts of Interest
References
- Grumezescu, A.M.; Holban, A.M. Handbook of Bioengineering: Biopolymers for Food Design; Academic Press: London, UK, 2018; Volume 20, p. 431. [Google Scholar] [CrossRef]
- Kim, H.; Kim, B.H.; Huh, B.K.; Yoo, Y.C.; Heo, C.Y.; Choy, Y.B.; Park, J. Surgical suture releasing macrophage-targeted drug-loaded nanoparticles for an enhanced anti-inflammatory effect. Biomater. Sci. 2017, 5, 1670–1677. [Google Scholar] [CrossRef] [PubMed]
- Turnbull, G.; Clarke, J.; Picard, F.; Riches, P.; Jia, L.; Han, F.; Li, B.; Shu, W. 3D bioactive composite scaffolds for bone tissue engineering. Bioact. Materials 2018, 3, 278–314. [Google Scholar] [CrossRef] [PubMed]
- Mir, M.; Ahmed, N.; Rehman, A. Recent applications of PLGA based nanostructures in drug delivery. Colloids Surf. B 2017, 159, 217–231. [Google Scholar] [CrossRef]
- Khlusov, I.A.; Kibler, E.V.; Kudriavtseva, V.L.; Tverdokhlebov, S.I.; Bolbasov, E.N.; Botvin, V.V.; Latypov, A.D.; Gazatova, N.D.; Litvinova, L.S.; Buznik, V.M.; et al. Electrospray Preparation of Biocompatible Lactide-Glycolide Copolymer Capsules with Incorporation of Interferon. Dokl. Chem. 2019, 484, 74–78. [Google Scholar] [CrossRef]
- Ngo, T.D.; Kashani, A.; Imbalzano, G.; Nguyen, K.; Hui, D. Additive manufacturing (3D printing): A review of materials, methods, applications and challenges. Compos. Part B 2018, 143, 172–196. [Google Scholar] [CrossRef]
- Dechy-Cabaret, O.; Martin-Vaca, B.; Bourissou, D. Controlled Ring-Opening Polymerization of Lactide and Glycolide. Chem. Rev. 2004, 104, 6147–6176. [Google Scholar] [CrossRef]
- Inkinen, S.; Hakkarainen, M.; Albertsson, A.-C.; Sodergard, A. From Lactic Acid to Poly(lactic acid) (PLA): Characterization and Analysis of PLA and Its Precursors. Biomacromolecules 2011, 12, 523–532. [Google Scholar] [CrossRef]
- Nishida, H. Depolymerization Properties of Bio-Based Polymers. In Handbook of Sustainable Polymers. Structure and Chemistry; Thakur, V.K., Thakur, M.K., Eds.; Taylor & Francis Group, Pan Stanford Publishing Pte. Ltd.: Boca Raton, FL, USA, 2016; pp. 289–329. [Google Scholar]
- Lizundia, E.; Ruiz-Rubio, L.; Vilas, J.L.; Leon, L.M. Towards the development of eco-friendly disposable polymers: ZnO-initiated thermal and hydrolytic degradation in poly(L-lactide)/ZnO nanocomposites. RSC Adv. 2016, 6, 15660–15669. [Google Scholar] [CrossRef]
- Chiang, M.-F.; Chu, M.-Z.; Wu, T.-M. Effect of layered double hydroxides on the thermal degradation behavior of biodegradable poly(L-lactide) nanocomposites. Polym. Degrad. Stab. 2011, 96, 60–66. [Google Scholar] [CrossRef]
- Huang, W.; Qi, Y.; Cheng, N.; Zong, T.; Jiang, W.; Li, H.; Zhang, Q. Green synthesis of enantiomerically pure L-lactide and D-lactide using biogenic creatinine catalyst. Polym. Degrad. Stab. 2014, 101, 18–23. [Google Scholar] [CrossRef]
- Jiang, B.; Tantai, X.; Hao, L.; Zhang, L.; Sun, Y.; Deng, L.; Shi, Z. Synthesis of chlorostannate (II) ionic liquids and their novel application in the preparation of highquality L-lactide. RSC Adv. 2015, 5, 50747–50755. [Google Scholar] [CrossRef]
- Zhou, Q.; Xanthos, M. Nanosize and microsize clay effects on the kinetics of the thermal degradation of polylactides. Polym. Degrad. Stab. 2009, 94, 327–338. [Google Scholar] [CrossRef]
- Carrasco, F.; Gámez-Pérez, J.; Santana, O.O.; Maspoch, M.L. Processing of poly (L-lactic acid)/organomontmorillonite nanocomposites: Microstructure, thermal stability and kinetics of the thermal decomposition. Chem. Eng. J. 2011, 178, 451–460. [Google Scholar] [CrossRef]
- Hao, Y.-H.; Huang, Z.; Wang, J.-W.; Yang, X.-Y.; Fan, X.-Y.; Li, Y.-I.; Peng, Y.-W. Improved thermal stability of poly (L-lactide) with the incorporation of zeolite ZSM-5. Polym. Test. 2016, 49, 46–56. [Google Scholar] [CrossRef]
- Yuzay, I.E.; Auras, R.; Soto-Valdez, H.; Selke, S. Effects of synthetic and natural zeolites on morphology and thermal degradation of poly (lactic acid) composites. Polym. Degrad. Stab. 2010, 95, 1769–1777. [Google Scholar] [CrossRef]
- Carrasco, F.; Gámez-Pérez, J.; Santana, O.O.; Maspoch, M.L. Enhanced general analytical equation for the kinetics of the thermal degradation of poly (lactic acid)/montmorillonite nanocomposites driven by random scission. Polym. Degrad. Stab. 2014, 101, 52–59. [Google Scholar] [CrossRef]
- Ye, Q.-Q.; Huang, Z.; Hao, Y.-H.; Wang, J.-W.; Yang, X.-Y.; Fan, X.-Y. Kinetic study of thermal degradation of poly(L-lactide) filled with b-zeolite. J. Therm. Anal. Calorim. 2016, 124, 1471–1484. [Google Scholar] [CrossRef]
- Feng, L.; Feng, S.; Bian, X.; Li, G.; Chen, X. Pyrolysis mechanism of Poly (lactic acid) for giving lactide under the catalysis of tin. Polym. Degrad. Stab. 2018, 157, 212–223. [Google Scholar] [CrossRef]
- Wang, X.J.; Huang, Z.; Wei, M.; Lu, T.; Nong, D.; Zhao, J.; Gao, X.; Teng, L. Catalytic effect of nanosized ZnO and TiO2 on thermal degradation of poly (lactic acid) and isoconversional kinetic analysis. Thermochim. Acta 2019, 672, 14–24. [Google Scholar] [CrossRef]
- Khawam, A.; Flanagan, D.R. Solid-State Kinetic Models: Basics and Mathematical Fundamentals. J. Phys. Chem. B 2006, 110, 17315–17328. [Google Scholar] [CrossRef]
- Kameno, N.; Yamada, S.; Amimoto, T.; Amimoto, K.; Ikeda, H.; Koga, N. Thermal degradation of poly (lactic acid) oligomer: Reaction mechanism and multistep kinetic behavior. Polym. Degrad. Stab. 2016, 134, 284–295. [Google Scholar] [CrossRef]
- Botvin, V.; Pozdniakov, M.; Filimoshkin, A. Intermolecular “zipper” type depolymerization of oligomeric molecules of lactic and glycolic acids prepacked as paired associates. Polym. Degrad. Stab. 2017, 146, 126–131. [Google Scholar] [CrossRef]
- Kurzina, I.A.; Pukhova, I.V.; Botvin, V.V.; Davydova, D.V.; Filimoshkin, A.G.; Savkin, K.P.; Oskomov, K.V.; Oks, E.M. New materials based on polylactide modified with silver and carbon ions. AIP Conf. Proc. 2015, 1688, 030033. [Google Scholar] [CrossRef]
- Botvin, V.; Latypov, A.; Ponarin, N.; Filimoshkin, A. Synthesis of glycolide by catalytic depolymerization of glycolic acid oligomers modified by polyhydric alcohols. J. Phys. Conf. Ser. 2019, 1145, 012019. [Google Scholar] [CrossRef]
- Ozawa, T. A new method of analyzing thermogravimetric data. Bull. Chem. Soc. Jpn. 1965, 38, 1881–1886. [Google Scholar] [CrossRef]
- Flynn, J.H.; Wall, L.A. A quick, direct method for the determination of activation energy from thermogravimetric data. J. Polym. Sci. B Polym. Lett. 1965, 4, 323–328. [Google Scholar] [CrossRef]
- Coats, A.W.; Redfern, J.P. Kinetic parameters from thermogravimetric data. Nature 1964, 201, 68–69. [Google Scholar] [CrossRef]
- Friedman, H.L. Kinetics and gaseous products of thermal decomposition of polymers. J. Macromol. Sci. Part A Pure Appl. Chem. 1967, 41, 57–79. [Google Scholar] [CrossRef]
- Vyazovkin, S. Isoconversional Kinetics. In The Handbook of Thermal Analysis & Calorimetry: Recent Advances, Techniques and Applications; Brown, M.E., Gallagher, P.K., Eds.; Elsevier: Amsterdam, The Netherlands, 2008; Volume 5, pp. 503–538. [Google Scholar] [CrossRef]
- Yoo, D.; Kim, K.D.; Doo, S.L. Synthesis of Lactide from Oligomeric PLA: Effects of Temperature, Pressure, and Catalyst. Macromol. Res. 2006, 14, 510–516. [Google Scholar] [CrossRef]
- Paukshtis, E.A.; Karakchiev, L.G.; Kotsarenko, N.S. Investigation of proton-acceptor properties of oxide surfaces by IR spectroscopy of hydrogen-bonded complexes. React. Kinet. Catal. Lett. 1979, 12, 315–319. [Google Scholar] [CrossRef]
- Velthoen, M.E.Z.; Nab, S.; Weckhuysen, B.M. Probing acid sites in solid catalysts with pyridine UV-Vis spectroscopy. Phys. Chem. Chem. Phys. 2018, 20, 21647–21659. [Google Scholar] [CrossRef]
- Lee, S.; Hongo, C.; Nishino, T. Crystal Modulus of Poly (glycolic acid) and Its Temperature Dependence. Macromolecules 2017, 50, 5074–5079. [Google Scholar] [CrossRef]
- Wasanasuk, K.; Tashiro, K.; Hanesaka, M.; Ohhara, T.; Kurihara, K.; Kuroki, R.; Tamada, T.; Ozeki, T.; Kanamoto, T. Crystal Structure Analysis of Poly (l-lactic Acid) α Form On the basis of the 2-Dimensional Wide-Angle Synchrotron X-ray and Neutron Diffraction Measurements. Macromolecules 2011, 44, 6441–6452. [Google Scholar] [CrossRef]
- Vyazovkin, S.; Burnham, A.K.; Criado, J.M.; Pérez-Maqueda, L.A.; Popescu, C.; Sbirrazzuoli, N. ICTAC Kinetics Committee recommendations for performing kinetic computations on thermal analysis data. Thermochim. Acta 2011, 520, 1–19. [Google Scholar] [CrossRef]
- Achmad, F.; Yamane, K.; Quan, S.; Kokugan, T. Synthesis of polylactic acid by direct polycondensation under vacuum without catalysts, solvents and initiators. Chem. Eng. J. 2009, 151, 342–350. [Google Scholar] [CrossRef]
- Baick, I.H.; Luciani, C.V.; Park, S.Y.; Lim, T.; Choi, K.Y. Kinetics of Reversible Oligomerization of L-Lactic Acid with a SnCl2·2H2O/p-Toluenesulfonic Acid Catalyst. Ind. Eng. Chem. Res. 2012, 51, 16617–16625. [Google Scholar] [CrossRef]













| No. | Reaction Model | Code | f(α) | g(α) |
|---|---|---|---|---|
| 1 | Avrami–Erofeyev | A2 | ||
| 2 | First order | F1 | ||
| 3 | Second order | F2 | ||
| 4 | 1-D diffusion | D1 | ||
| 5 | 2-D diffusion | D2 | ||
| 6 | 3-D diffusion (Jander) | D3 | ||
| 7 | 3-D diffusion (Zhuravlev, Lesokin, Tempelman) | D5 | ||
| 8 | Contracting cylinder | R2 | ||
| 9 | Contracting sphere | R3 |
| Type of Oligomer | Mw | Mn | D |
|---|---|---|---|
| LAO | 1400 | 1000 | 1.4 |
| GAO | 1100 | 600 | 1.8 |
| Catalyst | GAO:LAO | τ, min a | Yield b, % | Content of Depolymerization Products, wt.% | ||||||
|---|---|---|---|---|---|---|---|---|---|---|
| 1 c | 2 | 3 | 4 | 5 | 6 | 7 | ||||
| ZnO [24] | 3:1 | 50 | 90.2 | 47.45 | 29.58 | 3.35 | 12.52 | 1.58 | 0.23 | 5.29 |
| 1:1 | 46 | 92.6 | 25.41 | 38.42 | 3.68 | 25.29 | 3.10 | 0.25 | 3.85 | |
| 1:3 | 45 | 91.3 | 8.26 | 36.21 | 0.37 | 38.53 | 6.80 | 0.62 | 9.21 | |
| γ-Al2O3 | 3:1 | 165 | 42.6 | 21.46 | 24.58 | 11.45 | 32.30 | 6.15 | 1.96 | 2.10 |
| 1:1 | 170 | 74.2 | 14.58 | 30.34 | 10.37 | 34.31 | 7.02 | 0.88 | 2.50 | |
| 1:3 | 167 | 55.6 | 4.97 | 22.09 | 7.48 | 48.03 | 12.46 | 2.27 | 2.71 | |
| – | 3:1 | 215 | 40.8 | 27.62 | 20.58 | 16.24 | 21.08 | 7.67 | 3.36 | 3.45 |
| 1:1 | 220 | 36.2 | 9.31 | 18.94 | 13.53 | 32.35 | 13.31 | 6.25 | 6.31 | |
| 1:3 | 222 | 41.0 | 2.34 | 12.41 | 7.46 | 45.10 | 18.87 | 9.22 | 4.60 | |
| Catalyst | |||
|---|---|---|---|
| ZnO | 123.3/120.1/130.9 (0.1–0.9) | – | 123.3/120.1/130.9 |
| γ-Al2O3 | 96.1/91.7/115.1 (0.1–0.4) | 141.9/139.0/155.6 (0.45–0.9) | 123.0/119.5/139.0 |
| – | 86.9/81.9/113.6 (0.1–0.4) | 136.5/133.8/153.1 (0.45–0.9) | 116.1/112.4/136.8 |
| Catalyst | 5 K/min | 10 K/min | 15 K/min | 20 K/min | ||||
|---|---|---|---|---|---|---|---|---|
| a | b | a | b | a | b | a | b | |
| ZnO | 0.215 | −2.851 | 0.212 | −2.171 | 0.208 | −1.751 | 0.205 | −1.481 |
| γ-Al2O3 | 0.207/0.217 | −3.465/−4.590 | 0.203/0.212 | −2.685/−3.754 | 0.200/0.208 | −2.226/−3.247 | 0.197/0.205 | −1.853/−2.801 |
| – | 0.205/0.214 | −3.527/−4.673 | 0.200/0.209 | −2.666/−3.905 | 0.197/0.206 | −2.2792/−3.5615 | 0.194/0.202 | −1.754/−2.936 |
Publisher’s Note: MDPI stays neutral with regard to jurisdictional claims in published maps and institutional affiliations. |
© 2020 by the authors. Licensee MDPI, Basel, Switzerland. This article is an open access article distributed under the terms and conditions of the Creative Commons Attribution (CC BY) license (http://creativecommons.org/licenses/by/4.0/).
Share and Cite
Botvin, V.; Karaseva, S.; Khasanov, V.; Filimoshkin, A. Kinetic Study of Depolymerization of Lactic and Glycolic Acid Oligomers in the Presence of Oxide Catalysts. Polymers 2020, 12, 2395. https://doi.org/10.3390/polym12102395
Botvin V, Karaseva S, Khasanov V, Filimoshkin A. Kinetic Study of Depolymerization of Lactic and Glycolic Acid Oligomers in the Presence of Oxide Catalysts. Polymers. 2020; 12(10):2395. https://doi.org/10.3390/polym12102395
Chicago/Turabian StyleBotvin, Vladimir, Svetlana Karaseva, Victor Khasanov, and Anatoly Filimoshkin. 2020. "Kinetic Study of Depolymerization of Lactic and Glycolic Acid Oligomers in the Presence of Oxide Catalysts" Polymers 12, no. 10: 2395. https://doi.org/10.3390/polym12102395
APA StyleBotvin, V., Karaseva, S., Khasanov, V., & Filimoshkin, A. (2020). Kinetic Study of Depolymerization of Lactic and Glycolic Acid Oligomers in the Presence of Oxide Catalysts. Polymers, 12(10), 2395. https://doi.org/10.3390/polym12102395

