Synthesis of Well-Defined Alternating Copolymer Composed of Ethylmaleimide and Hydroxy-Functionalized Vinyl Ether by RAFT Polymerization and Their Thermoresponsive Properties
Abstract
1. Introduction
2. Materials and Methods
2.1. Chemicals and Reagents
2.2. Methods
2.3. Copolymerization of DEGV and EtMI under RAFT Polymerization Conditions
3. Results and Discussion
3.1. Copolymerization of DEGV and EtMI under RAFT Polymerization Conditions
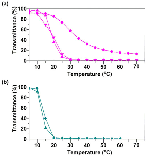
3.2. Thermoresponsive Behavior of Poly(DEGV-alt-EtMI) in an Aqueous Medium
4. Conclusions
Author Contributions
Funding
Acknowledgments
Conflicts of Interest
References
- Hsieh, H.L.; Quirk, R.P. Anionic Polymerization: Principles and Practical Applications; Marcel Dekker: New York, NY, USA, 1996; Chapter 14; pp. 369–392. [Google Scholar]
- Iha, R.K.; Wooley, K.L.; Nyström, A.M.; Burke, D.J.; Kade, M.J.; Hawker, C.J. Applications of Orthogonal “Click” Chemistries in the Synthesis of Functional Soft Materials. Chem. Rev. 2009, 109, 5620–5686. [Google Scholar] [CrossRef] [PubMed]
- Feng, C.; Li, Y.; Yang, D.; Hu, J.; Zhang, X.; Huang, X. Well-defined graft copolymers: From controlled synthesis to multipurpose applications. Chem. Soc. Rev. 2011, 40, 1282–1295. [Google Scholar] [CrossRef] [PubMed]
- Polymeropoulos, G.; Zapsas, G.; Ntetsikas, K.; Bilalis, P.; Gnanou, Y.; Hadjichristidis, N. 50th Anniversary Perspective: Polymers with Complex Architectures. Macromolecules 2017, 50, 1253–1290. [Google Scholar] [CrossRef]
- Badi, N.; Lutz, J.F. Sequence control in polymer synthesis. Chem. Soc. Rev. 2009, 38, 3383–3390. [Google Scholar] [CrossRef] [PubMed]
- Ouchi, M.; Badi, N.; Lutz, J.; Sawamoto, M. Single-chain technology using discrete synthetic macromolecules. Nature Chem. 2011, 3, 917–924. [Google Scholar] [CrossRef]
- Lutz, J.F.; Ouchi, M.; Liu, D.R.; Sawamoto, M. Sequence-Controlled Polymers. Science 2013, 341, 1238149. [Google Scholar] [CrossRef]
- Lutz, J.F. Sequence-Controlled Polymers; Wiley-VCH: Weinheim, Germany, 2018. [Google Scholar]
- Otsubo, T.; Tanaka, T.; Motoyanagi, J.; Minoda, M. An Alternating Glycopolymer Composed of Carbohydrate-carrying Maleimide and OH-functionalized Vinyl Ether—A New Synthetic Strategy for Glycosaminoglycan Mimics—. Chem. Lett. 2019, 48, 465–467. [Google Scholar] [CrossRef]
- Minoda, M.; Otsubo, T.; Yamamoto, Y.; Zhao, J.; Honda, Y.; Tanaka, T.; Motoyanagi, J. The First Synthesis of Periodic and Alternating Glycopolymers by RAFT Polymerization: A Novel Synthetic Pathway for Glycosaminoglycan Mimics. Polymers 2019, 11, 70. [Google Scholar] [CrossRef]
- Ouchi, M.; Nakano, M.; Nakanishi, T.; Sawamoto, M. Alternating Sequence Control for Carboxylic Acid and Hydroxy Pendant Groups by Controlled Radical Cyclopolymerization of a Divinyl Monomer Carrying a Cleavable Spacer. Angew. Chem. Int. Ed. 2016, 55, 14584–14589. [Google Scholar] [CrossRef]
- Kametani, Y.; Sawamoto, M.; Ouchi, M. Control of the Alternating Sequence for N-Isopropylacrylamide (NIPAM) and Methacrylic Acid Units in a Copolymer by Cyclopolymerization and Transformation of the Cyclopendant Group. Angew. Chem. Int. Ed. 2018, 57, 10905–10909. [Google Scholar] [CrossRef]
- Nishimori, K.; Ouchi, M. AB-alternating copolymers via chain-growth polymerization: Synthesis, characterization, self-assembly, and functions. Chem. Commun. 2020, 56, 3473–3483. [Google Scholar] [CrossRef] [PubMed]
- Deller, R.C.; Vatish, M.; Mitchell, D.A.; Gibson, M.I. Synthetic polymers enable non-vitreous cellular cryopreservation by reducing ice crystal growth during thawing. Nat. Commun. 2014, 5, 3244. [Google Scholar] [CrossRef] [PubMed]
- Wichterle, O.; Lim, D. Hydrophilic Gels for Biological Use. Nature 1960, 185, 117–118. [Google Scholar] [CrossRef]
- Weaver, J.V.M.; Bannister, I.; Robinson, K.L.; Bories-Azeau, X.; Armes, S.P.; Smallridge, M.; McKenna, P. Stimulus-Responsive Water-Soluble Polymers Based on 2-Hydroxyethyl Methacrylate. Macromolecules 2004, 37, 2395–2403. [Google Scholar] [CrossRef]
- Stuart, M.A.C.; Huck, W.T.S.; Genzer, J.; Müller, M.; Ober, C.; Stamm, M.; Sukhorukov, G.B.; Szleifer, I.; Tsukruk, V.V.; Urban, M.; et al. Emerging applications of stimuli-responsive polymer materials. Nat. Mater. 2010, 9, 101–113. [Google Scholar] [CrossRef]
- Roy, D.; Brooks, W.L.A.; Sumerlin, B.S. New directions in thermoresponsive polymers. Chem. Soc. Rev. 2013, 42, 7214–7243. [Google Scholar] [CrossRef]
- Alarcón, C.d.l.H.; Pennadam, S.; Alexander, C. Stimuli responsive polymers for biomedical applications. Chem. Soc. Rev. 2005, 34, 276–285. [Google Scholar] [CrossRef]
- Sugihara, S.; Yoshida, A.; Fujita, S.; Maeda, Y. Design of Hydroxy-Functionalized Thermoresponsive Copolymers: Improved Direct Radical Polymerization of Hydroxy-Functional Vinyl Ethers. Macromolecules 2017, 50, 8346–8356. [Google Scholar] [CrossRef]
- Nishimori, K.; Cazares-Cortes, E.; Guigner, J.-M.; Tournilhac, F.; Ouchi, M. Physical gelation of AB-alternating copolymers made of vinyl phenol and maleimide units: Cooperation between precisely incorporated phenol and long alkyl pendant groups. Polym. Chem. 2019, 10, 2327–2336. [Google Scholar] [CrossRef]
- Sugihara, S.; Yoshida, A.; Kono, T.; Takayama, T.; Maeda, Y. Controlled Radical Homopolymerization of Representative Cationically Polymerizable Vinyl Ethers. J. Am. Chem. Soc. 2019, 141, 13954–13961. [Google Scholar] [CrossRef]
- Alberti, A.; Benaglia, M.; Laus, M.; Sparnacci, K. A New Facile Synthesis of Tertiary Dithioesters. J. Org. Chem. 2002, 67, 7911–7914. [Google Scholar] [CrossRef] [PubMed]
- Moad, G.; Rizzardo, E.; Thang, S.H. Living Radical Polymerization by the RAFT Process—A First Update. Aust. J. Chem. 2006, 59, 669–692. [Google Scholar] [CrossRef]
- Moad, G.; Rizzardo, E.; Thang, S.H. Living Radical Polymerization by the RAFT Process—A Second Update. Aust. J. Chem. 2009, 62, 1402–1472. [Google Scholar] [CrossRef]
- Moad, G.; Rizzardo, E.; Thang, S.H. Living Radical Polymerization by the RAFT Process—A Third Update. Aust. J. Chem. 2012, 65, 985–1076. [Google Scholar] [CrossRef]
- Rudin, A.; Choi, P. The Elements of Polymer Science & Engineering, 3rd ed.; Elsevier: New York, NY, USA, 2013; pp. 341–389. [Google Scholar]
- Heuts, J.P.A.; Davis, T.P.; Russell, G.T. Comparison of the Mayo and Chain Length Distribution Procedures for the Measurement of Chain Transfer Constants. Macromolecules 1999, 32, 6019–6030. [Google Scholar] [CrossRef]
- Matsuoto, A.; Kubota, T.; Otsu, T. Radical polymerization of N-(alkyl-substituted phenyl)maleimides: Synthesis of thermally stable polymers soluble in nonpolar solvents. Macromolecules 1990, 23, 4508–4513. [Google Scholar] [CrossRef]
- Nakayama, Y.; Smets, G. Radical and anionic homopolymerization of maleimide and N-n-butylmaleimide. J. Polym. Sci. A Polym. Chem. 1967, 5, 1619–1633. [Google Scholar] [CrossRef]
- Xia, Y.; Yin, X.; Burke, N.A.D.; Stöver, H.D.H. Thermal Response of Narrow-Disperse Poly(N-isopropylacrylamide) Prepared by Atom Transfer Radical Polymerization. Macromolecules 2005, 38, 5937–5943. [Google Scholar] [CrossRef]
- Furyk, S.; Zhang, Y.; Ortiz–Acosta, D.; Cremer, P.S.; Bergbreiter, D.E. Effects of end group polarity and molecular weight on the lower critical solution temperature of poly(N-isopropylacrylamide). J. Polym. Sci. A Polym. Chem. 2006, 44, 1492–1501. [Google Scholar] [CrossRef]






| Reaction Time (h) | Conversion (%) 2 | Mn3 | Mw/Mn3 | Composition Ratio (%) 2 | Composition Ratio (%) 4 | |||
|---|---|---|---|---|---|---|---|---|
| DEGV | EtMI | DEGV | EtMI | DEGV | EtMI | |||
| 1 | 13 | 10 | 1400 | 1.20 | 45 | 55 | 40 | 60 |
| 2 | 27 | 29 | 3300 | 1.28 | 46 | 54 | 37 | 63 |
| 4 | 53 | 56 | 6100 | 1.30 | 43 | 57 | 42 | 58 |
| 6 | 65 | 72 | 7800 | 1.34 | 44 | 56 | 44 | 56 |
| 8 | 75 | 79 | 8500 | 1.41 | 49 | 51 | 44 | 56 |
| Entry | Mn1 | Mw/Mn1 | Tcp (°C) |
|---|---|---|---|
| 1 2 | 3300 | 1.28 | 33 |
| 2 2 | 6100 | 1.30 | 21 |
| 3 2 | 8500 | 1.41 | 21 |
| 4 3 | 3400 | 1.92 | 15 |
| 5 4 | 8900 | 2.04 | 14 |
© 2020 by the authors. Licensee MDPI, Basel, Switzerland. This article is an open access article distributed under the terms and conditions of the Creative Commons Attribution (CC BY) license (http://creativecommons.org/licenses/by/4.0/).
Share and Cite
Motoyanagi, J.; Oguri, A.; Minoda, M. Synthesis of Well-Defined Alternating Copolymer Composed of Ethylmaleimide and Hydroxy-Functionalized Vinyl Ether by RAFT Polymerization and Their Thermoresponsive Properties. Polymers 2020, 12, 2255. https://doi.org/10.3390/polym12102255
Motoyanagi J, Oguri A, Minoda M. Synthesis of Well-Defined Alternating Copolymer Composed of Ethylmaleimide and Hydroxy-Functionalized Vinyl Ether by RAFT Polymerization and Their Thermoresponsive Properties. Polymers. 2020; 12(10):2255. https://doi.org/10.3390/polym12102255
Chicago/Turabian StyleMotoyanagi, Jin, Ayaha Oguri, and Masahiko Minoda. 2020. "Synthesis of Well-Defined Alternating Copolymer Composed of Ethylmaleimide and Hydroxy-Functionalized Vinyl Ether by RAFT Polymerization and Their Thermoresponsive Properties" Polymers 12, no. 10: 2255. https://doi.org/10.3390/polym12102255
APA StyleMotoyanagi, J., Oguri, A., & Minoda, M. (2020). Synthesis of Well-Defined Alternating Copolymer Composed of Ethylmaleimide and Hydroxy-Functionalized Vinyl Ether by RAFT Polymerization and Their Thermoresponsive Properties. Polymers, 12(10), 2255. https://doi.org/10.3390/polym12102255

