Elastic Wave Characteristics of Graphene Reinforced Polymer Nanocomposite Curved Beams Including Thickness Stretching Effect
Abstract
1. Introduction
2. Mathematical Formulation
2.1. Effective Material Properties for Graphene Reinforced Nanocomposites
2.2. Constitutive Relations
3. Solution Procedure
4. Numerical Examples
4.1. Comparison Study
4.2. Parametric Studies
5. Conclusions
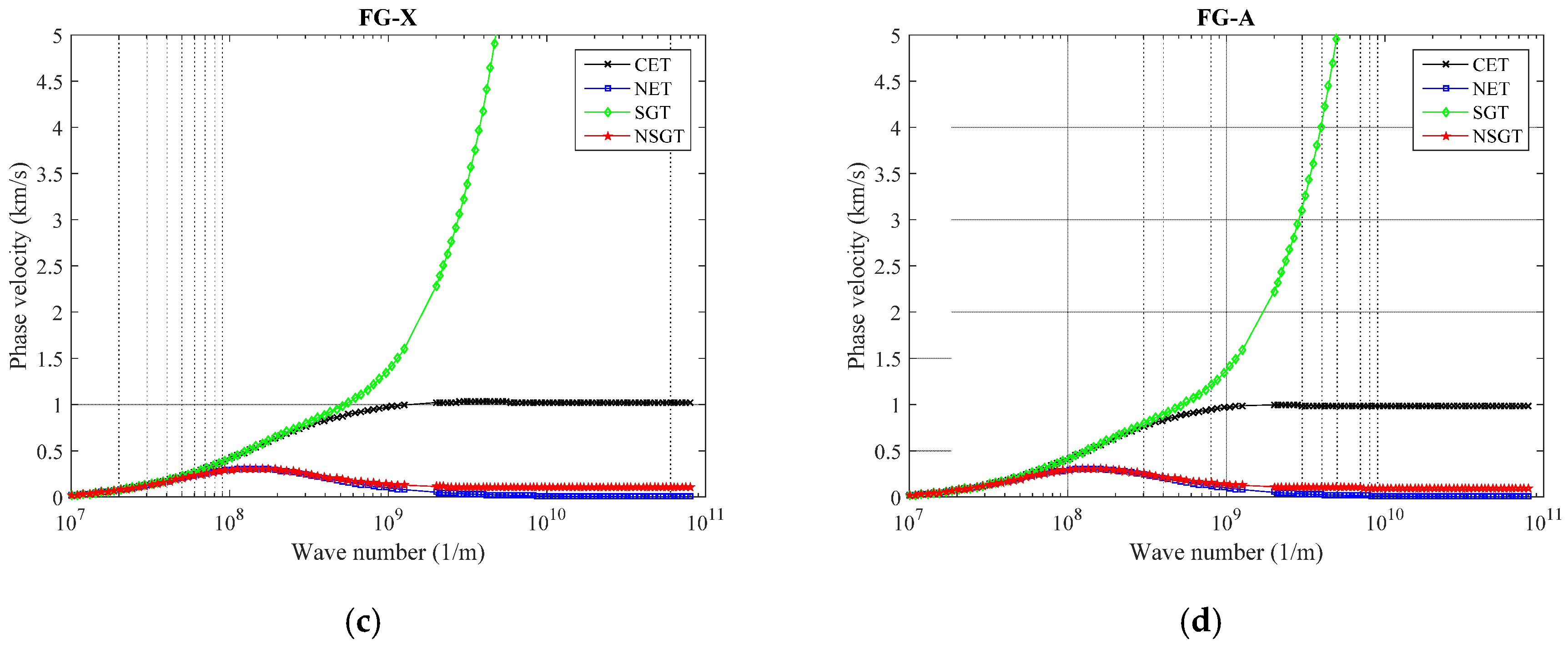
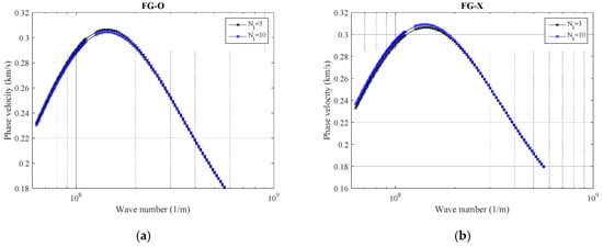
- As wave number increases, the phase velocity obtained by non-classical theories is increased until a unique value for the wave number (around 1 × 108 (1/m)), and afterwards, a sharp decrease in phase velocity is a result of an increase in the wave number.
- With the increment in the nonlocal parameter (strain gradient parameter), the phase velocity of the curved nanobeam are decreased (increased).
- In the case of high wave numbers, the role of the opening angle on the wave characteristics is not significant; while at low wave numbers, as the opening angle increases, the results declined.
- To determine the GNP efficiently, the maximum phase velocity belongs to FG-X reinforcement model of polymeric nanocomposite curved beam, followed by UD, FG-A, and FG-O models, independent to the number of layers.
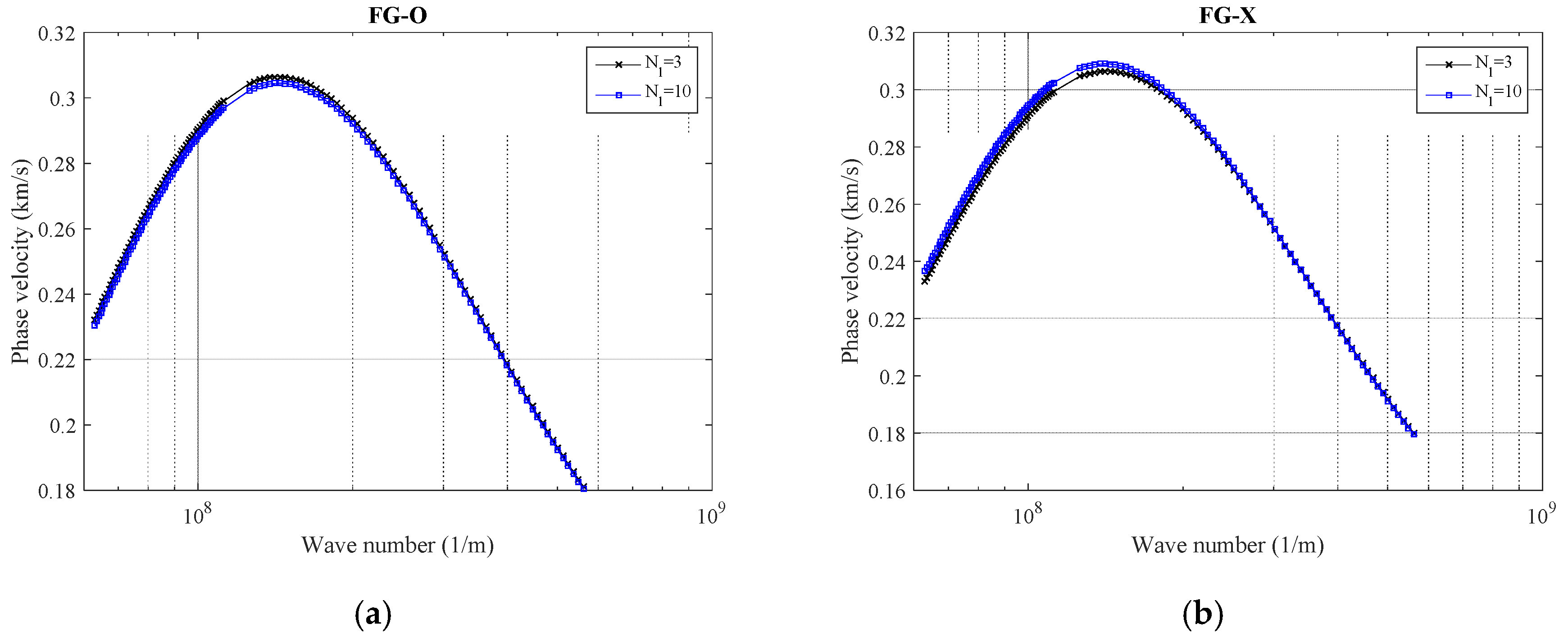
- As number of layers increases, the phase velocity gap between different GNP types is increased.
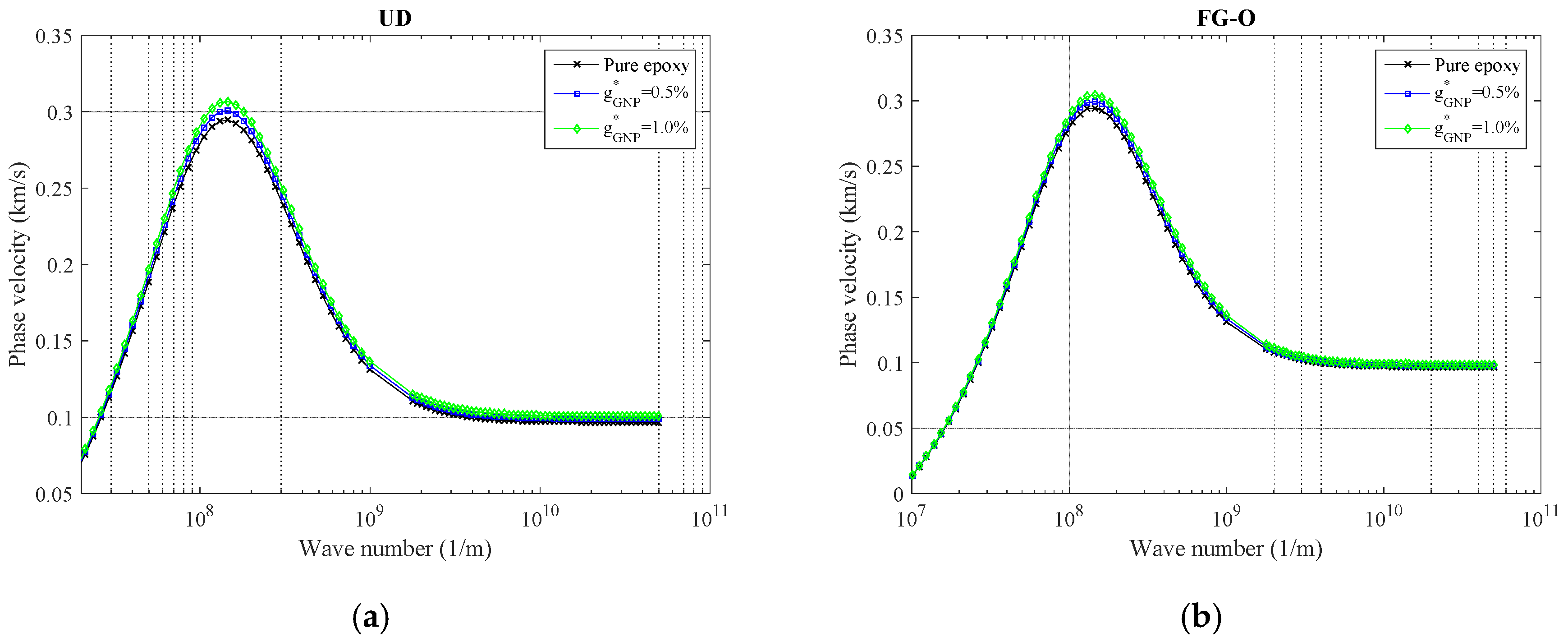
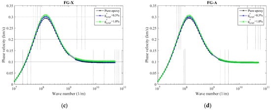
- Regardless of GNPs scheme, an increment in GNPs weight fraction, the curved nanobeam becomes harder and consequently its phase velocity is decreased.
Author Contributions
Funding
Conflicts of Interest
References
- Mallick, P.K. Fiber-Reinforced Composites: Materials, Manufacturing, and Design; CRC Press: Boca Raton, FL, USA, 2007. [Google Scholar]
- Caminero, M.Á.; Chacón, J.M.; García-Plaza, E.; Núñez, P.J.; Reverte, J.M.; Becar, J.P. Additive manufacturing of PLA-based composites using fused filament fabrication: Effect of graphene nanoplatelet reinforcement on mechanical properties, dimensional accuracy and texture. Polymers 2019, 11, 799. [Google Scholar] [CrossRef]
- Bagotia, N.; Choudhary, V.; Sharma, D. A review on the mechanical, electrical and EMI shielding properties of carbon nanotubes and graphene reinforced polycarbonate nanocomposites. Polym. Adv. Technol. 2018, 29, 1547–1567. [Google Scholar] [CrossRef]
- Ha, J.-H.; Hong, S.-K.; Ryu, J.-K.; Bae, J.; Park, S.-H. Development of Multi-Functional Graphene Polymer Composites Having Electromagnetic Interference Shielding and De-Icing Properties. Polymers 2019, 11, 2101. [Google Scholar] [CrossRef]
- Rollo, G.; Ronca, A.; Cerruti, P.; Gan, X.P.; Fei, G.; Xia, H.; Gorokhov, G.; Bychanok, D.; Kuzhir, P.; Lavorgna, M. On the Synergistic Effect of Multi-Walled Carbon Nanotubes and Graphene Nanoplatelets to Enhance the Functional Properties of SLS 3D-Printed Elastomeric Structures. Polymers 2020, 12, 1841. [Google Scholar] [CrossRef]
- Liu, X.; Han, Y.; Jing, H.; Wei, J.; Xu, L. Effect of graphene nanosheets reinforcement on the performance of Sn-Ag-Cu lead-free solder. Mater. Sci. Eng. A 2013, 562, 25–32. [Google Scholar] [CrossRef]
- Atif, R.; Shyha, I.; Inam, F. Mechanical, thermal, and electrical properties of graphene-epoxy nanocomposites—A review. Polymers 2016, 8, 281. [Google Scholar] [CrossRef]
- Huang, X.; Qi, X.; Boey, F.; Zhang, H. Graphene-based composites. Chem. Soc. Rev. 2012, 41, 666–686. [Google Scholar] [CrossRef]
- King, J.A.; Klimek, D.R.; Miskioglu, I.; Odegard, G.M. Mechanical properties of graphene nanoplatelet/epoxy composites. J. Compos. Mater. 2015, 49, 659–668. [Google Scholar] [CrossRef]
- Shi, G.; Araby, S.; Gibson, C.T.; Meng, Q.; Zhu, S.; Ma, J. Graphene platelets and their polymer composites: Fabrication, structure, properties, and applications. Adv. Funct. Mater. 2018, 28, 1706705. [Google Scholar] [CrossRef]
- Rafiee, M.A.; Rafiee, J.; Wang, Z.; Song, H.; Yu, Z.-Z.; Koratkar, N. Enhanced mechanical properties of nanocomposites at low graphene content. ACS Nano 2009, 3, 3884–3890. [Google Scholar] [CrossRef]
- Wang, A.; Chen, H.; Hao, Y.; Zhang, W. Vibration and bending behavior of functionally graded nanocomposite doubly-curved shallow shells reinforced by graphene nanoplatelets. Results Phys. 2018, 9, 550–559. [Google Scholar] [CrossRef]
- Feng, C.; Kitipornchai, S.; Yang, J. Nonlinear free vibration of functionally graded polymer composite beams reinforced with graphene nanoplatelets (GPLs). Eng. Struct. 2017, 140, 110–119. [Google Scholar] [CrossRef]
- Ebrahimi, F.; Mohammadi, K.; Barouti, M.M.; Habibi, M. Wave propagation analysis of a spinning porous graphene nanoplatelet-reinforced nanoshell. Waves Random Complex Media 2019, 1–27. [Google Scholar] [CrossRef]
- Eyvazian, A.; Shahsavari, D.; Karami, B. On the dynamic of graphene reinforced nanocomposite cylindrical shells subjected to a moving harmonic load. Int. J. Eng. Sci. 2020, 154, 103339. [Google Scholar] [CrossRef]
- Karami, B.; Shahsavari, D. On the forced resonant vibration analysis of functionally graded polymer composite doubly-curved nanoshells reinforced with graphene-nanoplatelets. Comput. Methods Appl. Mech. Eng. 2020, 359, 112767. [Google Scholar] [CrossRef]
- Issa, M.; Nasr, M.; Naiem, M. Free vibrations of curved Timoshenko beams on Pasternak foundations. Int. J. Solids Struct. 1990, 26, 1243–1252. [Google Scholar] [CrossRef]
- Lim, C.; Wang, C.; Kitipornchai, S. Timoshenko curved beam bending solutions in terms of Euler-Bernoulli solutions. Arch. Appl. Mech. 1997, 67, 179–190. [Google Scholar] [CrossRef]
- Zhang, G.; Alberdi, R.; Khandelwal, K. Analysis of three-dimensional curved beams using isogeometric approach. Eng. Struct. 2016, 117, 560–574. [Google Scholar] [CrossRef]
- Liu, D.; Wu, J.; Guo, S. The generation of three-dimensional curved beams based on holographic metasurface. Optics Express 2018, 26, 22348–22355. [Google Scholar] [CrossRef]
- Fard, K.M. Higher order free vibration of sandwich curved beams with a functionally graded core. Struct. Eng. Mech. 2014, 49, 537–554. [Google Scholar] [CrossRef]
- Sobhy, M. Differential quadrature method for magneto-hygrothermal bending of functionally graded graphene/Al sandwich-curved beams with honeycomb core via a new higher-order theory. J. Sandw. Struct. Mater. 2020, 1099636219900668. [Google Scholar] [CrossRef]
- Arefi, M.; Zenkour, A.M. Influence of magneto-electric environments on size-dependent bending results of three-layer piezomagnetic curved nanobeam based on sinusoidal shear deformation theory. J. Sandw. Struct. Mater. 2019, 21, 2751–2778. [Google Scholar] [CrossRef]
- Sayyad, A.S.; Ghugal, Y.M. A sinusoidal beam theory for functionally graded sandwich curved beams. Compos. Struct. 2019, 226, 111246. [Google Scholar] [CrossRef]
- Anirudh, B.; Ganapathi, M.; Anant, C.; Polit, O. A comprehensive analysis of porous graphene-reinforced curved beams by finite element approach using higher-order structural theory: Bending, vibration and buckling. Compos. Struct. 2019, 222, 110899. [Google Scholar] [CrossRef]
- Ganapathi, M.; Polit, O. Dynamic characteristics of curved nanobeams using nonlocal higher-order curved beam theory. Phys. E Low Dimens. Syst. Nanostruct. 2017, 91, 190–202. [Google Scholar] [CrossRef]
- Ebrahimi, F.; Barati, M.R.; Haghi, P. Wave propagation analysis of size-dependent rotating inhomogeneous nanobeams based on nonlocal elasticity theory. J. Vib. Control 2018, 24, 3809–3818. [Google Scholar] [CrossRef]
- Lata, P. Reflection and refraction of plane waves in layered nonlocal elastic and anisotropic thermoelastic medium. Struct. Eng. Mech. 2018, 66, 113–124. [Google Scholar]
- Mokhtar, Y.; Heireche, H.; Bousahla, A.A.; Houari, M.S.A.; Tounsi, A.; Mahmoud, S. A novel shear deformation theory for buckling analysis of single layer graphene sheet based on nonlocal elasticity theory. Smart Struct. Syst. 2018, 21, 397–405. [Google Scholar]
- Karami, B.; Janghorban, M. Effect of magnetic field on the wave propagation in nanoplates based on strain gradient theory with one parameter and two-variable refined plate theory. Mod. Phys. Lett. B 2016, 30, 1650421. [Google Scholar] [CrossRef]
- Nami, M.R.; Janghorban, M. Static analysis of rectangular nanoplates using exponential shear deformation theory based on strain gradient elasticity theory. Iran. J. Mater. Form. 2014, 1, 1–13. [Google Scholar]
- Janghorban, M.; Nami, M. Wave propagation in rectangular nanoplates based on a new strain gradient elasticity theory with considering in-plane magnetic field. Iran. J. Mater. Form. 2015, 2, 35–43. [Google Scholar]
- Nami, M.R.; Janghorban, M. Free vibration analysis of rectangular nanoplates based on two-variable refined plate theory using a new strain gradient elasticity theory. J. Braz. Soc. Mech. Sci. Eng. 2015, 37, 313–324. [Google Scholar] [CrossRef]
- Nami, M.R.; Janghorban, M. Resonance behavior of FG rectangular micro/nano plate based on nonlocal elasticity theory and strain gradient theory with one gradient constant. Compos. Struct. 2014, 111, 349–353. [Google Scholar] [CrossRef]
- Zhang, B.; He, Y.; Liu, D.; Gan, Z.; Shen, L. A novel size-dependent functionally graded curved mircobeam model based on the strain gradient elasticity theory. Compos. Struct. 2013, 106, 374–392. [Google Scholar] [CrossRef]
- Karami, B.; Shahsavari, D.; Janghorban, M.; Li, L. Influence of homogenization schemes on vibration of functionally graded curved microbeams. Compos. Struct. 2019, 216, 67–79. [Google Scholar] [CrossRef]
- Merzouki, T.; Ganapathi, M.; Polit, O. A nonlocal higher-order curved beam finite model including thickness stretching effect for bending analysis of curved nanobeams. Mech. Adv. Mater. Struct. 2019, 26, 614–630. [Google Scholar] [CrossRef]
- Ganapathi, M.; Polit, O. A nonlocal higher-order model including thickness stretching effect for bending and buckling of curved nanobeams. Appl. Math. Model. 2018, 57, 121–141. [Google Scholar] [CrossRef]
- Polit, O.; Anant, C.; Anirudh, B.; Ganapathi, M. Functionally graded graphene reinforced porous nanocomposite curved beams: Bending and elastic stability using a higher-order model with thickness stretch effect. Compos. Part B 2019, 166, 310–327. [Google Scholar] [CrossRef]
- Mehar, K.; Panda, S.K. Multiscale modeling approach for thermal buckling analysis of nanocomposite curved structure. Adv. Nano Res. 2019, 7, 181. [Google Scholar]
- Karami, B.; Janghorban, M. On the mechanics of functionally graded nanoshells. Int. J. Eng. Sci. 2020, 153, 103309. [Google Scholar] [CrossRef]
- Karami, B.; Janghorban, M.; Tounsi, A. Novel study on functionally graded anisotropic doubly curved nanoshells. Eur. Phys. J. Plus 2020, 135, 103. [Google Scholar] [CrossRef]
- Arefi, M.; Bidgoli, E.M.-R.; Dimitri, R.; Bacciocchi, M.; Tornabene, F. Nonlocal bending analysis of curved nanobeams reinforced by graphene nanoplatelets. Compos. Part B. 2019, 166, 1–12. [Google Scholar] [CrossRef]
- Sobhy, M. Buckling and vibration of FG graphene platelets/aluminum sandwich curved nanobeams considering the thickness stretching effect and exposed to a magnetic field. Results Phys. 2020, 16, 102865. [Google Scholar] [CrossRef]
- Lee, S.-K.; Mace, B.; Brennan, M. Wave propagation, reflection and transmission in curved beams. J. Sound Vib. 2007, 306, 636–656. [Google Scholar] [CrossRef]
- Shaogang, L.; Shidan, L.; Haisheng, S.; Weiyuan, W.; Dongyan, S.; Liqiang, D.; Hang, L.; Wei, L. Research on the elastic wave band gaps of curved beam of phononic crystals. Phys. B 2015, 457, 82–91. [Google Scholar] [CrossRef]
- Aminipour, H.; Janghorban, M.; Li, L. A new model for wave propagation in functionally graded anisotropic doubly-curved shells. Compos. Struct. 2018, 190, 91–111. [Google Scholar] [CrossRef]
- Barati, M.R. On wave propagation in nanoporous materials. Int. J. Eng. Sci. 2017, 116, 1–11. [Google Scholar] [CrossRef]
- Bisheh, H.K.; Wu, N. Wave propagation in smart laminated composite cylindrical shells reinforced with carbon nanotubes in hygrothermal environments. Compos. Part B 2019, 162, 219–241. [Google Scholar] [CrossRef]
- Ebrahimi, F.; Barati, M.R.; Dabbagh, A. A nonlocal strain gradient theory for wave propagation analysis in temperature-dependent inhomogeneous nanoplates. Int. J. Eng. Sci. 2016, 107, 169–182. [Google Scholar] [CrossRef]
- She, G.-L.; Yan, K.-M.; Zhang, Y.-L.; Liu, H.-B.; Ren, Y.-R. Wave propagation of functionally graded porous nanobeams based on non-local strain gradient theory. Eur. Phys. J. Plus 2018, 133, 368. [Google Scholar] [CrossRef]
- Karami, B.; Shahsavari, D.; Janghorban, M.; Li, L. Wave dispersion of nanobeams incorporating stretching effect. Waves Random Complex Media 2019, 1–21. [Google Scholar] [CrossRef]
- Karami, B.; Gheisari, P.; Nazemosadat, S.M.R.; Akbari, P.; Shahsavari, D.; Naghizadeh, M. Elastic wave characteristics of graphene nanoplatelets reinforced composite nanoplates. Struct. Eng. Mech. 2020, 74, 809–819. [Google Scholar]
- Affdl, J.H.; Kardos, J. The Halpin-Tsai equations: A review. Polym. Eng. Sci. 1976, 16, 344–352. [Google Scholar] [CrossRef]
- Yang, J.; Wu, H.; Kitipornchai, S. Buckling and postbuckling of functionally graded multilayer graphene platelet-reinforced composite beams. Compos. Struct. 2017, 161, 111–118. [Google Scholar] [CrossRef]
- Feng, C.; Kitipornchai, S.; Yang, J. Nonlinear bending of polymer nanocomposite beams reinforced with non-uniformly distributed graphene platelets (GPLs). Compos. Part B 2017, 110, 132–140. [Google Scholar] [CrossRef]
- Song, M.; Yang, J.; Kitipornchai, S. Bending and buckling analyses of functionally graded polymer composite plates reinforced with graphene nanoplatelets. Compos. Part B 2018, 134, 106–113. [Google Scholar] [CrossRef]
- Polit, O.; Vidal, P.; d’Ottavio, M. Robust C0 high-order plate finite element for thin to very thick structures: Mechanical and thermo-mechanical analysis. Int. J. Numer. Methods Eng. 2012, 90, 429–451. [Google Scholar] [CrossRef]
- Polit, O.; d’Ottavio, M.; Vidal, P. High-order plate finite elements for smart structure analysis. Compos. Struct. 2016, 151, 81–90. [Google Scholar] [CrossRef][Green Version]
- Askes, H.; Aifantis, E.C. Gradient elasticity and flexural wave dispersion in carbon nanotubes. Phys. Rev. B 2009, 80, 195412. [Google Scholar] [CrossRef]
- Karami, B.; Shahsavari, D.; Janghorban, M.; Tounsi, A. Resonance behavior of functionally graded polymer composite nanoplates reinforced with graphene nanoplatelets. Int. J. Mech. Sci. 2019, 156, 94–105. [Google Scholar] [CrossRef]










| α = π/6 | α = π/3 | α = π/2 | α = 2π/3 | |||||
|---|---|---|---|---|---|---|---|---|
| Model | μ2= 0 | μ2= 2 | μ2= 0 | μ2= 2 | μ2= 0 | μ2= 2 | μ2= 0 | μ2= 2 |
| CLT [26] | 9.4253 | 8.6134 | 8.2864 | 7.5726 | 6.5913 | 6.0235 | 4.5424 | 4.1511 |
| FSDT [26] | 9.3276 | 8.5242 | 8.2004 | 7.4941 | 6.5228 | 5.9609 | 4.4951 | 4.1079 |
| HSDT [26] | 9.3142 | 8.5119 | 8.1888 | 7.4834 | 6.5131 | 5.9521 | 4.4873 | 4.1008 |
| Present (εz ≠ 0) | 9.31419 | 8.81191 | 8.18879 | 7.48344 | 6.51307 | 5.95206 | 4.48727 | 4.10076 |
© 2020 by the authors. Licensee MDPI, Basel, Switzerland. This article is an open access article distributed under the terms and conditions of the Creative Commons Attribution (CC BY) license (http://creativecommons.org/licenses/by/4.0/).
Share and Cite
Talebizadehsardari, P.; Eyvazian, A.; Musharavati, F.; Mahani, R.B.; Sebaey, T.A. Elastic Wave Characteristics of Graphene Reinforced Polymer Nanocomposite Curved Beams Including Thickness Stretching Effect. Polymers 2020, 12, 2194. https://doi.org/10.3390/polym12102194
Talebizadehsardari P, Eyvazian A, Musharavati F, Mahani RB, Sebaey TA. Elastic Wave Characteristics of Graphene Reinforced Polymer Nanocomposite Curved Beams Including Thickness Stretching Effect. Polymers. 2020; 12(10):2194. https://doi.org/10.3390/polym12102194
Chicago/Turabian StyleTalebizadehsardari, Pouyan, Arameh Eyvazian, Farayi Musharavati, Roohollah Babaei Mahani, and Tamer A. Sebaey. 2020. "Elastic Wave Characteristics of Graphene Reinforced Polymer Nanocomposite Curved Beams Including Thickness Stretching Effect" Polymers 12, no. 10: 2194. https://doi.org/10.3390/polym12102194
APA StyleTalebizadehsardari, P., Eyvazian, A., Musharavati, F., Mahani, R. B., & Sebaey, T. A. (2020). Elastic Wave Characteristics of Graphene Reinforced Polymer Nanocomposite Curved Beams Including Thickness Stretching Effect. Polymers, 12(10), 2194. https://doi.org/10.3390/polym12102194

