Quadratic Non-Linear Optical Properties of the poly(2,5-bis(but-2-ynyloxy) Benzoate Containing the 2-(ethyl(4-((4-nitrophenyl)buta-1,3-diynyl)phenyl)amino)ethanol) Chromophore
Abstract
1. Introduction
2. Results and Discussion
2.1. Synthesis of Polymer and Total Material Characterization
2.2. Morphological and Spectroscopic Film Characterizations
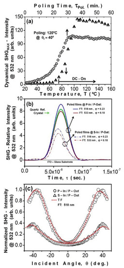
2.3. Quadratic SHG/NLO-Photophysical Characterizations
3. Experimental Section
3.1. Materials and Instrumentation
3.2. Synthesis and Characterization of the Monomer and then, the Polymer
3.2.1. 2-(ethyl(4-iodophenyl)amino)ethanol (2)
3.2.2. 2-(ethyl(4-((trimethylsilyl)ethynyl)phenyl)amino)ethanol (4)
3.2.3. 2-(ethyl(4-ethynylphenyl)amino)ethanol (5)
3.2.4. 2-(ethyl(4-((4-nitrophenyl)buta-1,3-diynyl)phenyl)amino)ethanol (7)
3.2.5. 2.,5-bis(prop-2-ynyloxy)benzoyl chloride (8)
3.2.6. 2-(ethyl(4-((4-nitrophenyl)buta-1,3-diynyl)phenyl)amino)ethyl-2,5-bis(but-2-ynyloxy)benzoate (9)
3.2.7. poly(2-(ethyl(4-((4-nitrophenyl)buta-1,3-diynyl)phenyl)amino)ethyl2,5-bis(but-2-ynyloxy) benzoate) (10)
3.3. Thin Film Deposition and Corona Poling Process
3.4. Morphological AFM-Film Inspections
3.5. NLO/SHG Measurements
3.6. EPR Spectroscopy
4. Conclusions
Author Contributions
Funding
Acknowledgments
Conflicts of Interest
References
- Williams, D. Nonlinear Optical Properties of Organic and Polymeric Materials; ACS Symposium Series; American Chemical Society: Washington, DC, USA, 1983; Volume 233. [Google Scholar]
- Yin, S.; Xu, H.; Shi, W.; Gao, Y.; Song, Y.; Lam, J.W.Y.; Tang, B.Z. Synthesis and optical properties of polyacetylenes containing nonlinear optical chromophores. Polymer 2005, 46, 7670–7677. [Google Scholar] [CrossRef]
- Tanphibal, P.; Tashiro, K.; Chirachancha, S. Constructing π-electron-conjugated diarylbutadiyne-based Polydiacetylene under molecular framework controlled by Hydrogen bond and side-chain substituent position. Macromol. Rapid Commun. 2016, 37, 685–690. [Google Scholar] [CrossRef] [PubMed]
- Diegelmann, S.R.; Tovar, J.D. Polydiacetylene-Peptide 1D nanomaterials. Macromol. Rapid Commun. 2013, 34, 1343–1350. [Google Scholar] [CrossRef] [PubMed]
- Sang, K.C.; Hyunwook, P.; Jaewon, Y.; Cheol, H.L.; Dong, J.A.; Jong-Man, K. Polydiacetylene supramolecules in electrospun microfibers: Fabrication, micropatterning, and sensor applications. Adv. Mater. 2007, 19, 521–524. [Google Scholar] [CrossRef]
- Hales, J.M.; Barlow, S.; Kim, H.; Mukhopadhyay, S.; Brédas, J.L.; Perry, J.W.; Marder, S.R. Design of organic chromophores for all-optical signal processing applications. Chem. Mater. 2013, 26, 549–560. [Google Scholar] [CrossRef]
- Marder, S.R.; Sohn, J.E. Materials for Nonlinear Optics Chemical Perspectives; Series 455; American Chemical Society: Washington, DC, USA, 1991. [Google Scholar]
- Jianzhao, L.; Lam-Jacky, W.Y.; Ben, Z.T. Acetylenic polymers: Syntheses, structures, and functions. Chem. Rev. 2009, 109, 5799–5867. [Google Scholar] [CrossRef]
- Chemla, D.S.; Zyss, J. Nonlinear Optical Properties of Organic Molecules and Crystals; Academic Press: Orlando, FL, USA, 1987. [Google Scholar]
- Muzikante, I.; Fonavs, E.; Brehmer, L.; Stiller, B. Photoinduced phenomena in corona poled polar organic films. Adv. Colloid Interface Sci. 2005, 116, 133–141. [Google Scholar] [CrossRef]
- Vijayakumar, T.; Joe, I.H.; Nair, C.R.; Jayakumar, V.S. Efficient π electrons delocalization in prospective push–pull non-linear optical chromophore 4-[N,N-dimethylamino]-4′-nitro stilbene (DANS): A vibrational spectroscopic study. Chem. Phys. 2008, 343, 83–99. [Google Scholar] [CrossRef]
- Glöckner, P.; National Paint and Coatings Association. Radiation Curing: Coatings and Printing Inks: Technical Basics, Applications and Trouble Shooting; Vicentz Network: Hannover, Germany, 2008. [Google Scholar]
- Wu, W.; Qin, J.; Li, Z. New design strategies for second-order nonlinear optical polymers and dendrimers. Polymer 2013, 54, 4351–4382. [Google Scholar] [CrossRef]
- Xiaowu, Y.; Yanhua, L.; Yan, D.; Qing, Y.; Gang, Z.; Qijin, Z. Synthesis and properties of thermally cross-linkable main-chain azobenzene polymers containing diacetylene moieties. Eur. Polym. J. 2008, 44, 881–888. [Google Scholar] [CrossRef]
- Paresch, C.R.; Puspendu, K.D. Influence of poling methods on the orientational dynamics of 2-metil-4-nitro-anilin in poly (methylmethacrylate) studied by second harmonic generation. Eur. Polym. J. 1996, 32, 51–55. [Google Scholar] [CrossRef]
- Badarau, C.; Wang, Z.Y. Synthesis and optical properties of thermally and photochemically cross-linkable Diacetylene-containing polymers. Macromolecules 2004, 37, 147–153. [Google Scholar] [CrossRef]
- Castañón-Alonso, S.L. Síntesis, Caracterización y Propiedades de Polímeros Hexa-2,4-Diinilen-1,6-Dioxi-Benzoatos, Dibenzoato y Dicinamato, que Contienen 4-Nitro 4′-Aminotolanos y 4-(Amino)-4′-Nitrodifenilbutadiinos en las Cadenas Laterales. Ph.D. Thesis, Facultad de Química, Universidad Nacional Autónoma de Mexico (UNAM), Ciudad de México, México, 2011. [Google Scholar]
- Sarkar, A.; Okada, S.; Nakanishi, H.; Matsuda, H. Polydiacetylenes from asymmetrically substituted Diacetylenes containing Heteroaryl side groups for third-order nonlinear optical properties. Macromolecules 1998, 31, 9174–9180. [Google Scholar] [CrossRef]
- Dehu, C.; Meyers, F.; Bredas, J.L. Donor-acceptor diphenylacetylenes: Geometric structure, electronic structure, and second-order nonlinear optical properties. J. Am. Chem. Soc. 1993, 115, 6198–6206. [Google Scholar] [CrossRef]
- Beckham, H.W.; Rubner, M.F. Synthesis and optical properties of a new class of polyamides containing reactive diacetylene groups. Macromolecules 1989, 22, 2130–2138. [Google Scholar] [CrossRef]
- Castañón, S.L.; Beristain, M.F.; Ortega, A.; Gómez-Sosa, G.; Muñoz, E.; Perez-Martínez, A.L.; Ogawa, T.; Halim, M.F.; Smith, F.; Walser, A.; et al. The synthesis, characterization and third-order nonlinear optical character of poly (2,5-dipropargyloxybenzoate) containing a polar aromatic diacetylene. Dyes Pigment. 2011, 88, 129–134. [Google Scholar] [CrossRef]
- Bai, R.; Zhang, G.; Yi, H.; Huang, Z.; Qi, X.; Liu, C.; Miller, J.T.; Kropf, A.J.; Bunel, E.E.; Lan, Y.; et al. Cu(II)–Cu(I) synergistic cooperation to lead the Alkyne C–H activation. Am. Chem. Soc. 2014, 136, 16760–16763. [Google Scholar] [CrossRef]
- Gainaru, C.; Hiller, W.; Böhmer, R.A. Dielectric study of Oligo- and Poly(propylene glycol). Macromolecules 2010, 43, 1907–1914. [Google Scholar] [CrossRef]
- Ding, Y.; Kisliuk, A.; Sokolov, A.P. When does a molecule become a polymer? Macromolecules 2004, 37, 161–166. [Google Scholar] [CrossRef]
- Jacobsson, P.; Börjesson, L.; Torell, L.M. When is a polymer a polymer? A light scattering study of crossover from viscous fluid-like behavior to chain constrained dynamics. J. Non Cryst. Solids 1991, 131–133, 104–108. [Google Scholar] [CrossRef]
- Kariyo, S.; Gainaru, C.; Schick, H.; Brodin, A.; Novikov, V.N.; Rössler, E.A. From a simple liquid to a polymer melt: NMR relaxometry study of Polybutadiene. Phys. Rev. Lett. 2006, 97, 207803. [Google Scholar] [CrossRef] [PubMed]
- Paluch, M.; Pawlus, S.; Sokolov, A.P.; Ngai, K.L. Sub-Rouse modes in polymers observed by dielectric spectroscopy. Macromolecules 2010, 43, 3103–3106. [Google Scholar] [CrossRef]
- Kwock, E.W.; Baird, T.; Miller, T.M. Synthesis and characterization of soluble, high-molecular-weight poly(aromatic diacetylenes). Macromolecules 1993, 26, 2935–2940. [Google Scholar] [CrossRef]
- Castañón-Alonso, S.L.; Morales-Saavedra, O.G.; Báez-Pimiento, S.; Ortega-Martínez, R.; Rodríguez Rosales, A.A.; Hernández-Rojas, M.E. Synthesis and overall nonlinear optical characterization of poly(hexa-2,4-diynylen-1,6-dioxydibenzoate) containing 2,2′-(4-((4-nitrophenyl)ethynyl)phenylazanediyl) diethanol. Mat. Chem. Phys. 2012, 133, 528–540. [Google Scholar] [CrossRef]
- Eich, M.; Sen, A.; Looser, H.; Bjorklund, G.C.; Swalen, J.D.; Twieg, R.; Yoon, D.Y. Corona poling and real-time second-harmonic generation study of a novel covalently functionalized amorphous nonlinear optical polymer. J. Appl. Phys. 1989, 66, 2559–2567. [Google Scholar] [CrossRef]
- Hao, J.; Han, M.J.; Guo, K.; Zhai, J.; Zhang, T.; Meng, X.; Liang, J.; Qiu, L.; Shen, Y. Synthesis and characterization of a cross-linkable nonlinear optical polymer functionalized with a thiophene- and tricyanovinyl-containing chromophore. React. Funct. Polym. 2007, 67, 758–768. [Google Scholar] [CrossRef]
- Huang, H.; Deng, G.; Liu, J.; Wu, J.; Si, P.; Xu, H.; Liu, X. A nunchaku-like nonlinear optical chromophore for improved temporal stability of guest–host electro-optic materials. Dyes Pigment. 2013, 99, 753–758. [Google Scholar] [CrossRef]
- Williams, D.J.; Prasad, P.J. Introduction to Nonlinear Optical Effects in Molecules and Polymers; Wiley-Interscience: New York, NY, USA, 1991. [Google Scholar]
- Boyd, R.W. Nonlinear Optics; Academic Press: San Diego, CA, USA, 2003. [Google Scholar]
- Nalwa, H.S.; Miyata, S. Nonlinear Optics of Organic Molecules and Polymers; Press Inc.: Boca Raton, FL, USA; CRS: New York, NY, USA, 1997. [Google Scholar]
- Cao, H.; Wu, J.Y.; Ong, H.C.; Dai, J.Y.; Chang, R.P.H. Second harmonic generation in laser ablated zinc oxide thin films. Appl. Phys. Lett. 1998, 73, 572–574. [Google Scholar] [CrossRef][Green Version]
- Liu, C.Y.; Zhang, B.P.; Binh, N.T.; Segawa, Y. Second harmonic generation in ZnO thin films fabricated by metalorganic chemical vapor deposition. Opt. Commun. 2004, 237, 65–70. [Google Scholar] [CrossRef]
- Zhang, L.Z.; Tang, G.Q. Preparation, characterization and optical properties of nanostructured ZnO thin films. Opt. Mater. 2004, 27, 217–220. [Google Scholar] [CrossRef]
- Hubbard, S.F.; Petschek, R.G.; Singer, K.D.; D’Sidocky, N.; Hudson, C.; Chien, L.C.; Henderson, C.C.; Cahill, P.A. Measurements of Kleinman-disallowed hyperpolarizability in conjugated chiral molecules. J. Opt. Soc. Am. B 1998, 15, 289–301. [Google Scholar] [CrossRef]
- Mills, D.L. Nonlinear Optics; Springer: Berlin/Heidelberg, Germany, 1991. [Google Scholar]
- Chen, M.; Yu, L.; Dalton, L.R.; Shi, Y.; Steier, W.H. New polymers with large and stable second-order nonlinear optical effects. Macromolecules 1991, 24, 5421–5428. [Google Scholar] [CrossRef]
- Kim, W.H.; Jiang, X.L.; Kumar, J.; Tripathy, S.K. Design of new polydiacetylenes as self-assembling second order nonlinear optical polymers. Pure Appl. Chem. 1995, 67, 2023–2030. [Google Scholar] [CrossRef]
- Hernández, S.; Ogawa, T.; Watanabe, T.; Miyata, S. Novel Diacetylene- and Chromophore-containing polymers and their second order nonlinear optical properties. Mol. Cryst. Liq. Cryst. 2002, 374, 503–512. [Google Scholar] [CrossRef]
- Ramirez, C.; Beristain, M.F.; Ogawa, T. Diacetylene-containing polymers. XV. Synthesis and characterization of poly(dipropargyloxybenzoates) containing Disperse Red 1. Des. Monomers Polym. 2004, 7, 85–99. [Google Scholar] [CrossRef]
- Hay, A.S. Communications-oxidative coupling of Acetylenes. J. Org. Chem. 1960, 25, 1275–1276. [Google Scholar] [CrossRef]
- Page, R.H.; Jurich, M.C.; Reck, B.; Sen, A.; Twieg, R.J.; Swalen, J.D.; Willson, C.G. Electrochromic and optical waveguide studies of corona-poled electro-optic polymer films. J. Opt. Soc. Am. B 1990, 7, 1239–1250. [Google Scholar] [CrossRef]









© 2020 by the authors. Licensee MDPI, Basel, Switzerland. This article is an open access article distributed under the terms and conditions of the Creative Commons Attribution (CC BY) license (http://creativecommons.org/licenses/by/4.0/).
Share and Cite
Castañón-Alonso, S.L.; Morales-Saavedra, O.G.; Almaraz-Girón, M.A.; Báez-Pimiento, S.; Islas-Jácome, A.; Rocha-Ramírez, L.M.; Domínguez-Ortiz, A.; Esparza-Schulz, M.; Romero-Galarza, A.; Hernández-Rojas, M.E. Quadratic Non-Linear Optical Properties of the poly(2,5-bis(but-2-ynyloxy) Benzoate Containing the 2-(ethyl(4-((4-nitrophenyl)buta-1,3-diynyl)phenyl)amino)ethanol) Chromophore. Polymers 2020, 12, 241. https://doi.org/10.3390/polym12010241
Castañón-Alonso SL, Morales-Saavedra OG, Almaraz-Girón MA, Báez-Pimiento S, Islas-Jácome A, Rocha-Ramírez LM, Domínguez-Ortiz A, Esparza-Schulz M, Romero-Galarza A, Hernández-Rojas ME. Quadratic Non-Linear Optical Properties of the poly(2,5-bis(but-2-ynyloxy) Benzoate Containing the 2-(ethyl(4-((4-nitrophenyl)buta-1,3-diynyl)phenyl)amino)ethanol) Chromophore. Polymers. 2020; 12(1):241. https://doi.org/10.3390/polym12010241
Chicago/Turabian StyleCastañón-Alonso, Sandra L., Omar G. Morales-Saavedra, Marco A. Almaraz-Girón, Sandro Báez-Pimiento, Alejandro Islas-Jácome, L. M. Rocha-Ramírez, Armando Domínguez-Ortiz, Marcos Esparza-Schulz, Adolfo Romero-Galarza, and María E. Hernández-Rojas. 2020. "Quadratic Non-Linear Optical Properties of the poly(2,5-bis(but-2-ynyloxy) Benzoate Containing the 2-(ethyl(4-((4-nitrophenyl)buta-1,3-diynyl)phenyl)amino)ethanol) Chromophore" Polymers 12, no. 1: 241. https://doi.org/10.3390/polym12010241
APA StyleCastañón-Alonso, S. L., Morales-Saavedra, O. G., Almaraz-Girón, M. A., Báez-Pimiento, S., Islas-Jácome, A., Rocha-Ramírez, L. M., Domínguez-Ortiz, A., Esparza-Schulz, M., Romero-Galarza, A., & Hernández-Rojas, M. E. (2020). Quadratic Non-Linear Optical Properties of the poly(2,5-bis(but-2-ynyloxy) Benzoate Containing the 2-(ethyl(4-((4-nitrophenyl)buta-1,3-diynyl)phenyl)amino)ethanol) Chromophore. Polymers, 12(1), 241. https://doi.org/10.3390/polym12010241

