Graphene Oxide and Oxidized Carbon Black as Catalyst for Crosslinking of Phenolic Resins
Abstract
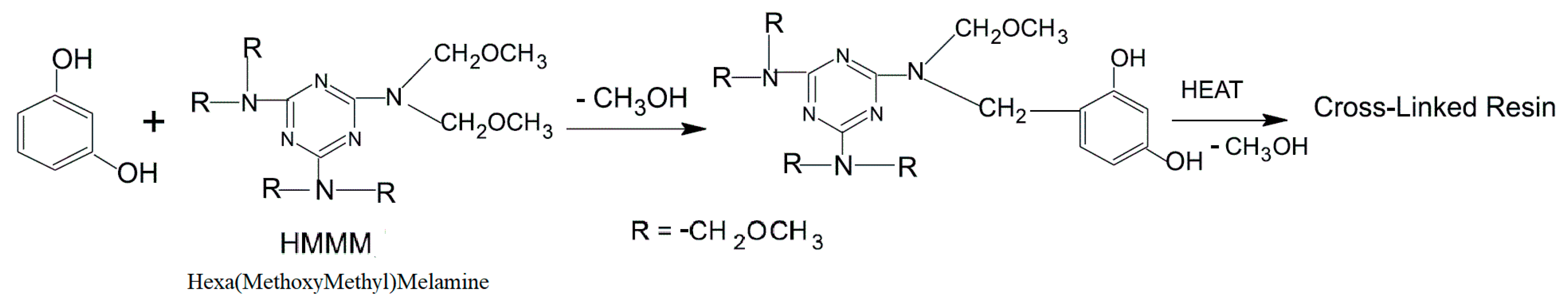
:1. Introduction
2. Experimental
2.1. Materials
2.2. Procedures
Preparation of GO and oCB Samples
2.3. Characterization Techniques
2.3.1. Elemental Analysis
2.3.2. Wide-Angle X-ray Diffraction
2.3.3. FTIR Spectra
2.3.4. Differential Scanning Calorimetry
3. Results
3.1. X-ray Diffraction and FTIR Characterizations of the Graphite-Based Nanofillers
3.2. DSC Study of Crosslinking of the Phenolic Resin
4. Conclusions
Author Contributions
Acknowledgments
Conflicts of Interest
References
- Li, J.; Vaisman, L.; Marom, G.; Kim, J.K. Br Treated Graphite Nanoplatelets for Improved Electrical Conductivity of Polymer Composites. Carbon 2007, 45, 744–750. [Google Scholar] [CrossRef]
- Terenzi, A.; Vedova, C.; Lelli, G.; Mijovic, J.; Torre, L.; Valentini, L.; Kenny, J.M. Chemorheological Behaviour of Double-Walled Carbon Nanotube-Epoxy Nanocomposites. Compos. Sci. Tech. 2008, 68, 1862–1868. [Google Scholar] [CrossRef]
- Yu, A.; Ramesh, P.; Sun, X.; Bekyarova, E.; Itkis, M.E.; Haddon, R.C. Enhanced Thermal Conductivity in A Hybrid Graphite Nanoplatelet-Carbon Nanotube Filler for Epoxy Composites. Adv. Mater. 2008, 20, 4740–4744. [Google Scholar] [CrossRef]
- Veca, L.M.; Meziani, M.J.; Wang, W.; Wang, X.; Lu, F.; Zhang, P.; Lin, Y.; Fee, R.; Connell, J.W.; Sun, Y.P. Carbon Nanosheets for Polymeric Nanocomposites with High Thermal Conductivity. Adv. Mater. 2009, 21, 2088–2092. [Google Scholar] [CrossRef]
- Liang, J.; Wang, Y.; Huang, Y.; Ma, Y.; Liu, Z.; Cai, J.; Zhang, C.; Gao, H.; Chen, Y. Electromagnetic Interference Shielding of Graphene/Epoxy Composites. Carbon 2009, 47, 922–925. [Google Scholar] [CrossRef]
- Zaman, I.; Phan, T.T.; Kuan, H.-C.; Meng, Q.; La, L.T.B.; Luong, L.; Youssf, O.; Ma, J. Epoxy/Graphene Platelets Nanocomposites with Two Levels of Interface Strength. Polymer 2011, 52, 1603–1611. [Google Scholar] [CrossRef]
- Steiner, S.; Busato, S.; Ermanni, P. Mechanical Properties and Morphology of Papers Prepared from Single-Walled Carbon Nanotubes Functionalized with Aromatic Amides. Carbon 2012, 50, 1713–1719. [Google Scholar] [CrossRef]
- Shahil, K.M.F.; Balandin, A.A. Graphene-Multilayer Graphene Nanocomposites as Highly Efficient Thermal Interface Materials. Nano Lett. 2012, 12, 861–867. [Google Scholar] [CrossRef]
- Longo, S.; Mauro, M.; Daniel, C.; Musto, P.; Guerra, G. Rayleigh Scattering by Graphene-Oxide in Syndiotactic Polystyrene Aerogels. Carbon 2014, 77, 896–905. [Google Scholar] [CrossRef]
- Guadagno, L.; Raimondo, M.; Vertuccio, L.; Mauro, M.; Guerra, G.; Lafdi, K.; Vivo, B.D.; Lamberti, P.; Spinelli, G.; Tucci, V. Optimization of Graphene-Based Materials Ouperforming Host Epoxy Matrices. Rsc Adv. 2015, 57, 36969–36978. [Google Scholar] [CrossRef]
- D’Urso, L.; Acocella, M.R.; Guerra, G.; Iozzino, V.; De Santis, F.; Pantani, R. PLA Melt Stabilization by High-Surface-Area Graphite and Carbon Black. Polymers 2018, 10, 139. [Google Scholar] [CrossRef] [PubMed]
- Bortz, D.R.; Heras, E.G.; Martin-Gullon, I. Impressive Fatigue Life and Fracture Toughness Improvements in Graphene Oxide/Epoxy Composites. Macromolecules 2012, 45, 238–245. [Google Scholar] [CrossRef]
- Qiu, S.L.; Wang, C.S.; Wang, Y.T.; Liu, C.G.; Chen, X.Y.; Xie, H.F.; Huang, Y.A.; Cheng, R.S. Effects of Graphene Oxides on the Cure Behaviors of a Tetrafunctional Epoxy Resin. Expr. Polym. Lett. 2011, 5, 809–818. [Google Scholar] [CrossRef]
- Liu, W.; Koh, K.L.; Lu, J.; Yang, L.; Phua, S.; Kong, J.; Chen, Z.; Lu, X. Simultaneous Catalyzing and Reinforcing Effects of Imidazole-Functionalized Graphene in Anhydride-Cured Epoxies. J. Mater. Chem. 2012, 22, 18395–18402. [Google Scholar] [CrossRef]
- Park, J.K.; Kim, D.S. Effects of An Aminosilane and A Tetra-Functional Epoxy on the Physical Properties of Di-Functional Epoxy/Graphene Nanoplatelets Nanocomposites. Polym. Eng. Sci. 2014, 54, 969–976. [Google Scholar] [CrossRef]
- Mauro, M.; Acocella, M.R.; Corcione, C.E.; Maffezzoli, A.; Guerra, G. Catalytic Activity of Graphite-Based Nanofillers on Cure Reaction of Epoxy Resins. Polymer 2014, 55, 5612–5615. [Google Scholar] [CrossRef]
- Acocella, M.R.; Corcione, C.E.; Giuri, A.; Maggio, M.; Maffezzoli, A.; Guerra, G. Graphene Oxide as A Catalyst for Ring Opening Reactions in Amine Crosslinking of Epoxy Resins. Rsc Adv. 2016, 6, 23858–23865. [Google Scholar] [CrossRef]
- Wang, X.; Jin, J.; Song, M.; Lin, Y. Effect of Graphene Oxide Sheet Size on the Curing Kinetics and Thermal Stability of Epoxy Resins. Mater. Res. Express 2016, 3, 105303. [Google Scholar] [CrossRef]
- Acocella, M.R.; Esposito Corcione, C.; Giuri, A.; Maggio, M.; Guerra, G.; Maffezzoli, A. Catalytic Activity of Oxidized Carbon Black and Graphene Oxide for the Crosslinking of Epoxy Resins. Polymers 2017, 9, 133. [Google Scholar] [CrossRef]
- Stasi, E.; Giuri, A.; La Villetta, M.; Cirillo, D.; Guerra, G.; Maffezzoli, A.; Ferraris, E.; Esposito Corcione, C. Catalytic Activity of Oxidized Carbon Waste Ashes for the Crosslinking of Epoxy Resins. Polymers 2019, 11, 1011. [Google Scholar] [CrossRef]
- Sarvari, M.H.; Sharghi, H. Solvent-Free Catalytic Friedel-Crafts Acylation of Aromatic Compounds with Carboxylic Acids by Using a Novel Heterogeneous Catalyst System: P-Toluenesulfonic Acid/Graphite. Helv. Chim. Acta 2005, 88, 2282–2287. [Google Scholar] [CrossRef]
- Dreyer, D.R.; Jarvis, K.A.; Ferreira, P.J.; Bielawski, C.W. Graphite Oxide as a Dehydrative Polymerization Catalyst: A One-Step Synthesis of Carbon-Reinforced Poly (phenylene methylene) Composites. Macromolecules 2011, 44, 7659–7667. [Google Scholar] [CrossRef]
- Verma, S.; Mungse, H.P.; Kumar, N.; Choudhary, S.; Jain, S.L.; Sain, B.; Khatri, O.P. Graphene Oxide: An Efficient and Reusable Carbocatalyst for Aza-Michael Addition of Amines to Activated Alkenes. Chem. Commun. 2011, 47, 12673–12675. [Google Scholar] [CrossRef]
- Dreyer, D.R.; Bielawski, C.W. Graphite Oxide as An Olefin Polymerization Carbocatalyst: Applications in Electrochemical Double Layer Capacitors. Adv. Funct. Mater. 2012, 22, 3247–3253. [Google Scholar] [CrossRef]
- Acocella, M.R.; Mauro, M.; Falivene, L.; Cavallo, L.; Guerra, G. Inverting the Diastereoselectivity of the Mukaiyama-Michael Addition with Graphite-Based Catalysts. ACS Catal. 2014, 4, 492–496. [Google Scholar] [CrossRef]
- Acocella, M.R.; Mauro, M.; Guerra, G. Regio- and Enantioselective Friedel-Crafts Reactions of Indoles to Epoxides Catalyzed by Graphene Oxide: A Green Approach. ChemSusChem 2014, 7, 3279–3283. [Google Scholar] [CrossRef]
- Navalon, S.; Dhakshinamoorthy, A.; Alvaro, M.; Antonietti, M.; Garcia, H. Active Sites on Graphene-Based Materials as Metal-Free Catalysts. Chem. Soc. Rev. 2017, 46, 4501–4529. [Google Scholar] [CrossRef]
- Villano, R.; Acocella, M.R.; Guerra, G. Oxidized Carbon Black as Catalysts for the Enamine Formation in Solvent-Free Conditions: A Green Strategy to Build the Benzodiazepine Scaffold. ChemistrySelect 2017, 2, 10559–10564. [Google Scholar] [CrossRef]
- Acocella, M.R.; Maggio, M.; Ambrosio, C.; Aprea, N.; Guerra, G. Oxidized Carbon Black as An Activator of Transesterification Reactions under Solvent-Free Conditions. Acs Omega 2017, 2, 7862–7867. [Google Scholar] [CrossRef]
- Navalón, S.; Herance, J.R.; Álvaro, M.; García, H. Covalently Modified Graphenes in Catalysis, Electrocatalysis and Photoresponsive Materials. Chem.-Eur.J. 2017, 23, 15233–15537. [Google Scholar] [CrossRef]
- Navalón, S.; Herance, J.R.; Álvaro, M.; García, H. General Aspects in the Use of Graphenes in Catalysis. Mater. Horiz. 2018, 5, 363–378. [Google Scholar] [CrossRef]
- Acocella, M.R.; Guerra, G. Graphene-Based Carbocatalysts for Thermoset Polymers and for Diastereoselective and Enantioselective Organic Synthesis. ChemCatChem 2018, 10, 2350–2359. [Google Scholar] [CrossRef]
- Singh, A.P.; Garg, P.; Alam, F.; Singh, K.; Mathur, R.B.; Tandon, R.P.; Chandra, A.; Dhawan, S.K. Phenolic Resin-Based Composite Sheets Filled with Mixtures of Reduced Graphene Oxide, γ-Fe2O3 and Carbon Fibers for Excellent Electromagnetic Interference Shielding in the X-band. Carbon 2012, 50, 3868–3875. [Google Scholar] [CrossRef]
- Si, J.; Li, J.; Wang, S.; Li, Y.; Jing, X. Enhanced Thermal Resistance of Phenolic Resin Composites at Low Loading of Graphene Oxide. Compos. Part. A: Appl. Sci. Manuf. 2013, 54, 166–172. [Google Scholar] [CrossRef]
- Qian, Y.; Ismail, I.M.; Stein, A. Ultralight, High-Surface-Area, Multifunctional Graphene-Based Aerogels from Self-Assembly of Graphene Oxide and Resol. Carbon 2014, 68, 221–231. [Google Scholar] [CrossRef]
- Yuan, F.Y.; Zhang, H.-B.; Li, X.; Ma, H.L.; Li, X.Z.; Yu, Z.Z. In situ Chemical Reduction and Functionalization of Graphene Oxide for Electrically Conductive Phenol Formaldehyde Composites. Carbon 2014, 68, 653–661. [Google Scholar] [CrossRef]
- Zhou, J.; Yao, Z.; Chen, Y.; Wei, D.; Xu, T. Fabrication and Mechanical Properties of Phenolic Foam Reinforced with Graphene Oxide. Polym. Compos. 2014, 35, 581–586. [Google Scholar] [CrossRef]
- Zhao, X.; Li, Y.; Wang, J.; Ouyang, Z.; Li, J.; Wei, G.; Su, Z. Interactive Oxidation–Reduction Reaction for the in Situ Synthesis of Graphene–Phenol Formaldehyde Composites with Enhanced Properties. Acs Appl. Mater. Interf. 2014, 6, 4254–4263. [Google Scholar] [CrossRef]
- Han, H.; Jiang, C.; Huo, L.; Gao, J. Mechanical and Thermal Properties of Cationic Ring-Opening o-Cresol Formaldehyde Epoxy/Polyurethane Acrylate Composites Enhanced by Reducing Graphene Oxide. Polym. Bull. 2016, 73, 2227–2244. [Google Scholar] [CrossRef]
- Park, G.W.; Jeon, S.K.; Yang, J.Y.; Choi, S.D.; Kim, G.J. Electrochemical Properties of Graphene Oxide/Resol Composites as Electrode Materials for Supercapacitor Applications. J. Nanosci. Nanotechnol. 2016, 16, 4320–4327. [Google Scholar] [CrossRef]
- Zheng, H.; Shao, Y.; Wang, Y.; Meng, G.; Liu, B. Reinforcing the Corrosion Protection Property of Epoxy Coating by Using Graphene Oxide-Poly (urea-formaldehyde) Composites. Corros. Sci. 2017, 123, 267–277. [Google Scholar] [CrossRef]
- Zeng, M.; Wang, J.; Li, R.; Liu, J.; Chen, W.; Xu, Q.; Gu, Y. The Curing Behavior and Thermal Property of Graphene Oxide/Benzoxazine Nanocomposites. Polymer 2013, 54, 3107–3116. [Google Scholar] [CrossRef]
- Hummers, W.S.; Offeman, R.E. Preparation of Graphitic Oxide. J. Am. Chem. Soc. 1958, 80, 1339. [Google Scholar] [CrossRef]
- Mauro, M.; Cipolletti, V.; Galimberti, M.; Longo, P.; Guerra, G. Chemically Reduced Graphite Oxide with Improved Shape Anisotropy. J. Phys. Chem. C 2012, 116, 24809–24813. [Google Scholar] [CrossRef]
- Maggio, M.; Acocella, M.R.; Guerra, G. Intercalation Compounds of Oxidized Carbon Black. Rsc Adv. 2016, 6, 105565–105572. [Google Scholar] [CrossRef]






| Sample | C (wt %) | H (wt %) | O (wt %) | S (wt %) | O/C |
|---|---|---|---|---|---|
| GO | 56.1 | 1.2 | 39.8 | 2.7 | 0.71 |
| eGO | 59.4 | 0.6 | 37.1 | 2.6 | 0.62 |
| oCB N234 | 60.3 | 1.7 | 35.0 | 2.8 | 0.58 |
| oCB N110 | 50.3 | 2.3 | 41.7 | 5.4 | 0.83 |
| Sample | Tpeak (°C) | ΔT (°C) | ΔHres (J/g) | α (%) |
|---|---|---|---|---|
| Neat Resin | 173 | - | 117 | 57 |
| oCB N110 0.2% | 173 | 0 | 108 | 60 |
| eGO 2% | 167 | 6 | 75 | 72 |
| oCB N110 1% | 150 | 23 | 40 | 85 |
| oCB N234 2% | 148 | 25 | 31 | 89 |
| oCB N110 2% | 141 | 32 | 7 | 97 |
© 2019 by the authors. Licensee MDPI, Basel, Switzerland. This article is an open access article distributed under the terms and conditions of the Creative Commons Attribution (CC BY) license (http://creativecommons.org/licenses/by/4.0/).
Share and Cite
Acocella, M.R.; Vittore, A.; Maggio, M.; Guerra, G.; Giannini, L.; Tadiello, L. Graphene Oxide and Oxidized Carbon Black as Catalyst for Crosslinking of Phenolic Resins. Polymers 2019, 11, 1330. https://doi.org/10.3390/polym11081330
Acocella MR, Vittore A, Maggio M, Guerra G, Giannini L, Tadiello L. Graphene Oxide and Oxidized Carbon Black as Catalyst for Crosslinking of Phenolic Resins. Polymers. 2019; 11(8):1330. https://doi.org/10.3390/polym11081330
Chicago/Turabian StyleAcocella, Maria Rosaria, Aniello Vittore, Mario Maggio, Gaetano Guerra, Luca Giannini, and Luciano Tadiello. 2019. "Graphene Oxide and Oxidized Carbon Black as Catalyst for Crosslinking of Phenolic Resins" Polymers 11, no. 8: 1330. https://doi.org/10.3390/polym11081330
APA StyleAcocella, M. R., Vittore, A., Maggio, M., Guerra, G., Giannini, L., & Tadiello, L. (2019). Graphene Oxide and Oxidized Carbon Black as Catalyst for Crosslinking of Phenolic Resins. Polymers, 11(8), 1330. https://doi.org/10.3390/polym11081330

